Impact of Extracellular Matrix-Related Genes on the Tumor Microenvironment and Prognostic Indicators in Esophageal Cancer: A Comprehensive Analytical Study.

IF 2.1 4区 生物学 Q4 GENETICS & HEREDITY
Genetics research Pub Date : 2024-07-25 eCollection Date: 2024-01-01 DOI:10.1155/2024/3577395
Yinghong Wu, Wenjie Hu, Zhihong Jia, Qiying Zhu, Jinghui Xu, Liang Peng, Renjie Wang
{"title":"Impact of Extracellular Matrix-Related Genes on the Tumor Microenvironment and Prognostic Indicators in Esophageal Cancer: A Comprehensive Analytical Study.","authors":"Yinghong Wu, Wenjie Hu, Zhihong Jia, Qiying Zhu, Jinghui Xu, Liang Peng, Renjie Wang","doi":"10.1155/2024/3577395","DOIUrl":null,"url":null,"abstract":"<p><p>Esophageal cancer is a major global health challenge with a poor prognosis. Recent studies underscore the extracellular matrix (ECM) role in cancer progression, but the full impact of ECM-related genes on patient outcomes remains unclear. Our study utilized next-generation sequencing and clinical data from esophageal cancer patients provided by The Cancer Genome Atlas, employing the R package in RStudio for computational analysis. This analysis identified significant associations between patient survival and various ECM-related genes, including IBSP, LINGO4, COL26A1, MMP12, KLK4, RTBDN, TENM1, GDF15, and RUNX1. Consequently, we developed a prognostic model to predict patient outcomes, which demonstrated clear survival differences between high-risk and low-risk patient groups. Our comprehensive review encompassed clinical correlations, biological pathways, and variations in immune response among these risk categories. We also constructed a nomogram integrating clinical information with risk assessment. Focusing on the TENM1 gene, we found it significantly impacts immune response, showing a positive correlation with T helper cells, NK cells, and CD8+ T cells, but a negative correlation with neutrophils and Th17 cells. Gene Set Enrichment Analysis revealed enhanced pathways related to pancreatic beta cells, spermatogenesis, apical junctions, and muscle formation in patients with high TENM1 expression. This research provides new insights into the role of ECM genes in esophageal cancer and informs future research directions.</p>","PeriodicalId":12778,"journal":{"name":"Genetics research","volume":"2024 ","pages":"3577395"},"PeriodicalIF":2.1000,"publicationDate":"2024-07-25","publicationTypes":"Journal Article","fieldsOfStudy":null,"isOpenAccess":false,"openAccessPdf":"https://www.ncbi.nlm.nih.gov/pmc/articles/PMC11300105/pdf/","citationCount":"0","resultStr":null,"platform":"Semanticscholar","paperid":null,"PeriodicalName":"Genetics research","FirstCategoryId":"99","ListUrlMain":"https://doi.org/10.1155/2024/3577395","RegionNum":4,"RegionCategory":"生物学","ArticlePicture":[],"TitleCN":null,"AbstractTextCN":null,"PMCID":null,"EPubDate":"2024/1/1 0:00:00","PubModel":"eCollection","JCR":"Q4","JCRName":"GENETICS & HEREDITY","Score":null,"Total":0}
引用次数: 0

Abstract

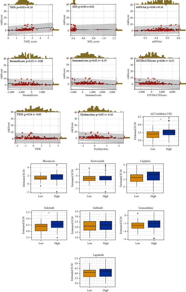
Esophageal cancer is a major global health challenge with a poor prognosis. Recent studies underscore the extracellular matrix (ECM) role in cancer progression, but the full impact of ECM-related genes on patient outcomes remains unclear. Our study utilized next-generation sequencing and clinical data from esophageal cancer patients provided by The Cancer Genome Atlas, employing the R package in RStudio for computational analysis. This analysis identified significant associations between patient survival and various ECM-related genes, including IBSP, LINGO4, COL26A1, MMP12, KLK4, RTBDN, TENM1, GDF15, and RUNX1. Consequently, we developed a prognostic model to predict patient outcomes, which demonstrated clear survival differences between high-risk and low-risk patient groups. Our comprehensive review encompassed clinical correlations, biological pathways, and variations in immune response among these risk categories. We also constructed a nomogram integrating clinical information with risk assessment. Focusing on the TENM1 gene, we found it significantly impacts immune response, showing a positive correlation with T helper cells, NK cells, and CD8+ T cells, but a negative correlation with neutrophils and Th17 cells. Gene Set Enrichment Analysis revealed enhanced pathways related to pancreatic beta cells, spermatogenesis, apical junctions, and muscle formation in patients with high TENM1 expression. This research provides new insights into the role of ECM genes in esophageal cancer and informs future research directions.

Abstract Image

Abstract Image

Abstract Image

细胞外基质相关基因对食管癌肿瘤微环境和预后指标的影响:综合分析研究》。
食管癌是全球健康的一大挑战,预后较差。最近的研究强调了细胞外基质(ECM)在癌症进展中的作用,但 ECM 相关基因对患者预后的全面影响仍不清楚。我们的研究利用了癌症基因组图谱提供的食管癌患者的新一代测序和临床数据,并使用 RStudio 中的 R 软件包进行了计算分析。该分析确定了患者生存期与各种 ECM 相关基因(包括 IBSP、LINGO4、COL26A1、MMP12、KLK4、RTBDN、TENM1、GDF15 和 RUNX1)之间的重要关联。因此,我们建立了一个预测患者预后的模型,该模型显示了高危和低危患者组之间明显的生存差异。我们对这些风险类别之间的临床相关性、生物通路和免疫反应差异进行了全面回顾。我们还构建了一个将临床信息与风险评估相结合的提名图。以 TENM1 基因为重点,我们发现它对免疫反应有显著影响,与 T 辅助细胞、NK 细胞和 CD8+ T 细胞呈正相关,但与中性粒细胞和 Th17 细胞呈负相关。基因组富集分析(Gene Set Enrichment Analysis)显示,在TENM1高表达的患者中,与胰腺β细胞、精子发生、顶端连接和肌肉形成相关的通路得到了增强。这项研究为了解 ECM 基因在食管癌中的作用提供了新的视角,并为未来的研究方向提供了参考。
本文章由计算机程序翻译,如有差异,请以英文原文为准。
求助全文
约1分钟内获得全文 求助全文
来源期刊
Genetics research
Genetics research 生物-遗传学
自引率
6.70%
发文量
74
审稿时长
>12 weeks
期刊介绍: Genetics Research is a key forum for original research on all aspects of human and animal genetics, reporting key findings on genomes, genes, mutations and molecular interactions, extending out to developmental, evolutionary, and population genetics as well as ethical, legal and social aspects. Our aim is to lead to a better understanding of genetic processes in health and disease. The journal focuses on the use of new technologies, such as next generation sequencing together with bioinformatics analysis, to produce increasingly detailed views of how genes function in tissues and how these genes perform, individually or collectively, in normal development and disease aetiology. The journal publishes original work, review articles, short papers, computational studies, and novel methods and techniques in research covering humans and well-established genetic organisms. Key subject areas include medical genetics, genomics, human evolutionary and population genetics, bioinformatics, genetics of complex traits, molecular and developmental genetics, Evo-Devo, quantitative and statistical genetics, behavioural genetics and environmental genetics. The breadth and quality of research make the journal an invaluable resource for medical geneticists, molecular biologists, bioinformaticians and researchers involved in genetic basis of diseases, evolutionary and developmental studies.
×
引用
GB/T 7714-2015
复制
MLA
复制
APA
复制
导出至
BibTeX EndNote RefMan NoteFirst NoteExpress
×
提示
您的信息不完整,为了账户安全,请先补充。
现在去补充
×
提示
您因"违规操作"
具体请查看互助需知
我知道了
×
提示
确定
请完成安全验证×
copy
已复制链接
快去分享给好友吧!
我知道了
右上角分享
点击右上角分享
0
联系我们:info@booksci.cn Book学术提供免费学术资源搜索服务,方便国内外学者检索中英文文献。致力于提供最便捷和优质的服务体验。 Copyright © 2023 布克学术 All rights reserved.
京ICP备2023020795号-1
ghs 京公网安备 11010802042870号
Book学术文献互助
Book学术文献互助群
群 号:604180095
Book学术官方微信