A Comparative Analysis of the Effects of Haloperidol and Dexmedetomidine on QTc Interval Prolongation during Delirium Treatment in Intensive Care Units.

IF 1.7 Q4 CRITICAL CARE MEDICINE
Journal of Critical Care Medicine Pub Date : 2024-07-31 eCollection Date: 2024-07-01 DOI:10.2478/jccm-2024-0027
Ali Haspolat, Fuat Polat, Ali Şefik Köprülü
{"title":"A Comparative Analysis of the Effects of Haloperidol and Dexmedetomidine on QTc Interval Prolongation during Delirium Treatment in Intensive Care Units.","authors":"Ali Haspolat, Fuat Polat, Ali Şefik Köprülü","doi":"10.2478/jccm-2024-0027","DOIUrl":null,"url":null,"abstract":"<p><strong>Background: </strong>Haloperidol and dexmedetomidine are used to treat delirium in the intensive care unit (ICU). The effects of these drugs on the corrected QT (QTc) interval have not been compared before. It was aimed to compare the effects of haloperidol and dexmedetomidine treatment on QTc intervals in patients who developed delirium during ICU follow-up.</p><p><strong>Method: </strong>The study is single-center, randomized, and prospective. Half of the patients diagnosed with delirium in the ICU were treated with haloperidol and the other half with dexmedetomidine. The QTc interval was measured in the treatment groups before and after drug treatment. The study's primary endpoints were maximal QT and QTc interval changes after drug administration.</p><p><strong>Results: </strong>90 patients were included in the study, the mean age was 75.2±12.9 years, and half were women. The mean time to delirium was 142+173.8 hours, and 53.3% of the patients died during their ICU follow-up. The most common reason for hospitalization in the ICU was sepsis (%37.8.). There was no significant change in QT and QTc interval after dexmedetomidine treatment (QT: 360.5±81.7, 352.0±67.0, p= 0.491; QTc: 409.4±63.1, 409.8±49.7, p=0.974). There was a significant increase in both QT and QTc interval after haloperidol treatment (QT: 363.2±51.1, 384.6±59.2, p=0.028; QTc: 409.4±50.9, 427.3±45.9, p=0.020).</p><p><strong>Conclusions: </strong>Based on the results obtained from the study, it can be concluded that the administration of haloperidol was associated with a significant increase in QT and QTc interval. In contrast, the administration of dexmedetomidine did not cause a significant change in QT and QTc interval.</p>","PeriodicalId":44227,"journal":{"name":"Journal of Critical Care Medicine","volume":"10 3","pages":"222-231"},"PeriodicalIF":1.7000,"publicationDate":"2024-07-31","publicationTypes":"Journal Article","fieldsOfStudy":null,"isOpenAccess":false,"openAccessPdf":"https://www.ncbi.nlm.nih.gov/pmc/articles/PMC11294981/pdf/","citationCount":"0","resultStr":null,"platform":"Semanticscholar","paperid":null,"PeriodicalName":"Journal of Critical Care Medicine","FirstCategoryId":"1085","ListUrlMain":"https://doi.org/10.2478/jccm-2024-0027","RegionNum":0,"RegionCategory":null,"ArticlePicture":[],"TitleCN":null,"AbstractTextCN":null,"PMCID":null,"EPubDate":"2024/7/1 0:00:00","PubModel":"eCollection","JCR":"Q4","JCRName":"CRITICAL CARE MEDICINE","Score":null,"Total":0}
引用次数: 0

Abstract

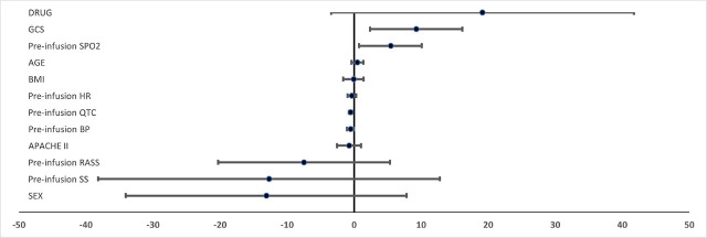
Background: Haloperidol and dexmedetomidine are used to treat delirium in the intensive care unit (ICU). The effects of these drugs on the corrected QT (QTc) interval have not been compared before. It was aimed to compare the effects of haloperidol and dexmedetomidine treatment on QTc intervals in patients who developed delirium during ICU follow-up.

Method: The study is single-center, randomized, and prospective. Half of the patients diagnosed with delirium in the ICU were treated with haloperidol and the other half with dexmedetomidine. The QTc interval was measured in the treatment groups before and after drug treatment. The study's primary endpoints were maximal QT and QTc interval changes after drug administration.

Results: 90 patients were included in the study, the mean age was 75.2±12.9 years, and half were women. The mean time to delirium was 142+173.8 hours, and 53.3% of the patients died during their ICU follow-up. The most common reason for hospitalization in the ICU was sepsis (%37.8.). There was no significant change in QT and QTc interval after dexmedetomidine treatment (QT: 360.5±81.7, 352.0±67.0, p= 0.491; QTc: 409.4±63.1, 409.8±49.7, p=0.974). There was a significant increase in both QT and QTc interval after haloperidol treatment (QT: 363.2±51.1, 384.6±59.2, p=0.028; QTc: 409.4±50.9, 427.3±45.9, p=0.020).

Conclusions: Based on the results obtained from the study, it can be concluded that the administration of haloperidol was associated with a significant increase in QT and QTc interval. In contrast, the administration of dexmedetomidine did not cause a significant change in QT and QTc interval.

Abstract Image

Abstract Image

Abstract Image

重症监护病房谵妄治疗期间氟哌啶醇和右美托咪定对 QTc 间期延长影响的比较分析
背景:氟哌啶醇和右美托咪定用于治疗重症监护室(ICU)中的谵妄。以前从未比较过这些药物对校正 QT(QTc)间期的影响。本研究旨在比较氟哌啶醇和右美托咪定治疗对重症监护室随访期间出现谵妄的患者QTc间期的影响:研究为单中心、随机、前瞻性研究。一半在重症监护室确诊为谵妄的患者接受氟哌啶醇治疗,另一半接受右美托咪定治疗。在药物治疗前后测量了治疗组的 QTc 间期。研究的主要终点是用药后最大 QT 和 QTc 间期的变化:研究共纳入 90 名患者,平均年龄为(75.2±12.9)岁,半数为女性。出现谵妄的平均时间为 142+173.8 小时,53.3% 的患者在重症监护室随访期间死亡。在重症监护室住院的最常见原因是败血症(37.8%)。右美托咪定治疗后 QT 和 QTc 间期无明显变化(QT:360.5±81.7,352.0±67.0,p= 0.491;QTc:409.4±63.1,409.8±49.7,p=0.974)。氟哌啶醇治疗后QT和QTc间期均明显增加(QT:363.2±51.1,384.6±59.2,p=0.028;QTc:409.4±50.9,427.3±45.9,p=0.020):根据研究结果,可以得出结论:服用氟哌啶醇会导致 QT 和 QTc 间期显著延长。相比之下,使用右美托咪定不会导致 QT 和 QTc 间期发生显著变化。
本文章由计算机程序翻译,如有差异,请以英文原文为准。
求助全文
约1分钟内获得全文 求助全文
来源期刊
Journal of Critical Care Medicine
Journal of Critical Care Medicine CRITICAL CARE MEDICINE-
CiteScore
2.00
自引率
9.10%
发文量
21
审稿时长
11 weeks
×
引用
GB/T 7714-2015
复制
MLA
复制
APA
复制
导出至
BibTeX EndNote RefMan NoteFirst NoteExpress
×
提示
您的信息不完整,为了账户安全,请先补充。
现在去补充
×
提示
您因"违规操作"
具体请查看互助需知
我知道了
×
提示
确定
请完成安全验证×
copy
已复制链接
快去分享给好友吧!
我知道了
右上角分享
点击右上角分享
0
联系我们:info@booksci.cn Book学术提供免费学术资源搜索服务,方便国内外学者检索中英文文献。致力于提供最便捷和优质的服务体验。 Copyright © 2023 布克学术 All rights reserved.
京ICP备2023020795号-1
ghs 京公网安备 11010802042870号
Book学术文献互助
Book学术文献互助群
群 号:604180095
Book学术官方微信