CER818: A Highly Specific and Sensitive HPV L1 High-Risk Serological Lateral Flow Rapid Test for Early Detection of Cervical Cancer and Its Precursor Lesions.

Q2 Medicine
Infectious Diseases in Obstetrics and Gynecology Pub Date : 2024-07-30 eCollection Date: 2024-01-01 DOI:10.1155/2024/6651272
Karen Bräutigam, Stefanie Meier, Frank Köster, Achim Rody, Ralf Hilfrich
{"title":"CER818: A Highly Specific and Sensitive HPV L1 High-Risk Serological Lateral Flow Rapid Test for Early Detection of Cervical Cancer and Its Precursor Lesions.","authors":"Karen Bräutigam, Stefanie Meier, Frank Köster, Achim Rody, Ralf Hilfrich","doi":"10.1155/2024/6651272","DOIUrl":null,"url":null,"abstract":"<p><p><b>Objective:</b> The objective of the study is to validate a new human papillomavirus (HPV) L1 high-risk specific serological assay in a case-control study. <b>Methods:</b> Serum samples of 138 patients (cervical intraepithelial neoplasia (CIN) 1, 2, and 3 and cervical cancer), 21 vaccinees, and 246 female controls were tested for the presence of HPV L1 high-risk specific antibodies. <b>Results:</b> HPV L1 high-risk antibodies were detected in 100% of the CIN1 and 2, 86.6% of the CIN3 and 82.4% of the cervical cancer cases, 100% of the vaccinees, and 3.9% of the female controls. Area under the curve (AUC) was calculated with 0.91 for controls versus CIN2+, 0.923 for controls versus CIN1+, and 0.968 for controls versus CIN1/2. <b>Conclusion:</b> The HPV L1 high-risk specific serological lateral flow rapid test shows promising data in the field of early detection of HPV high-risk induced cervical cancer and its precursor lesions. This easy-to-use, robust, and affordable approach could offer a chance to reach women in low- or middle-income countries (LMICs) that could not be reached by HPV molecular testing-based cervical cancer screening programs.</p>","PeriodicalId":13546,"journal":{"name":"Infectious Diseases in Obstetrics and Gynecology","volume":"2024 ","pages":"6651272"},"PeriodicalIF":0.0000,"publicationDate":"2024-07-30","publicationTypes":"Journal Article","fieldsOfStudy":null,"isOpenAccess":false,"openAccessPdf":"https://www.ncbi.nlm.nih.gov/pmc/articles/PMC11303054/pdf/","citationCount":"0","resultStr":null,"platform":"Semanticscholar","paperid":null,"PeriodicalName":"Infectious Diseases in Obstetrics and Gynecology","FirstCategoryId":"1085","ListUrlMain":"https://doi.org/10.1155/2024/6651272","RegionNum":0,"RegionCategory":null,"ArticlePicture":[],"TitleCN":null,"AbstractTextCN":null,"PMCID":null,"EPubDate":"2024/1/1 0:00:00","PubModel":"eCollection","JCR":"Q2","JCRName":"Medicine","Score":null,"Total":0}
引用次数: 0

Abstract

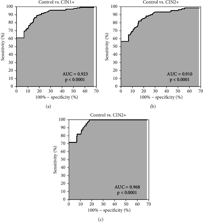
Objective: The objective of the study is to validate a new human papillomavirus (HPV) L1 high-risk specific serological assay in a case-control study. Methods: Serum samples of 138 patients (cervical intraepithelial neoplasia (CIN) 1, 2, and 3 and cervical cancer), 21 vaccinees, and 246 female controls were tested for the presence of HPV L1 high-risk specific antibodies. Results: HPV L1 high-risk antibodies were detected in 100% of the CIN1 and 2, 86.6% of the CIN3 and 82.4% of the cervical cancer cases, 100% of the vaccinees, and 3.9% of the female controls. Area under the curve (AUC) was calculated with 0.91 for controls versus CIN2+, 0.923 for controls versus CIN1+, and 0.968 for controls versus CIN1/2. Conclusion: The HPV L1 high-risk specific serological lateral flow rapid test shows promising data in the field of early detection of HPV high-risk induced cervical cancer and its precursor lesions. This easy-to-use, robust, and affordable approach could offer a chance to reach women in low- or middle-income countries (LMICs) that could not be reached by HPV molecular testing-based cervical cancer screening programs.

Abstract Image

CER818:用于早期检测宫颈癌及其前驱病变的高特异性、高灵敏度 HPV L1 高危血清学侧流快速检测试剂盒。
研究目的本研究的目的是在一项病例对照研究中验证一种新型人类乳头瘤病毒(HPV)L1高危特异性血清学检测方法。方法:检测 138 名患者(宫颈上皮内瘤变(CIN)1、2、3 和宫颈癌)、21 名接种者和 246 名女性对照者的血清样本中是否存在 HPV L1 高危特异性抗体。结果显示100% 的 CIN1 和 2、86.6% 的 CIN3 和 82.4% 的宫颈癌病例、100% 的接种者和 3.9% 的女性对照组都检测到了 HPV L1 高危抗体。曲线下面积(AUC)的计算结果为:对照组与 CIN2+ 的曲线下面积为 0.91,对照组与 CIN1+ 的曲线下面积为 0.923,对照组与 CIN1/2 的曲线下面积为 0.968。结论HPV L1 高危特异性血清学侧流快速检测在早期检测 HPV 高危诱发的宫颈癌及其前驱病变方面显示出良好的数据前景。这种简便易用、功能强大且经济实惠的方法可为中低收入国家(LMICs)的妇女提供一个机会,因为基于 HPV 分子检测的宫颈癌筛查项目无法惠及这些国家的妇女。
本文章由计算机程序翻译,如有差异,请以英文原文为准。
求助全文
约1分钟内获得全文 求助全文
来源期刊
Infectious Diseases in Obstetrics and Gynecology
Infectious Diseases in Obstetrics and Gynecology Medicine-Obstetrics and Gynecology
CiteScore
3.80
自引率
0.00%
发文量
17
审稿时长
12 weeks
期刊介绍: Infectious Diseases in Obstetrics and Gynecology aims to disseminate new and important information to clinicians and other health care providers, scientists, and researchers involved in the study or treatment of infectious diseases, especially those affecting the female patient. Its ultimate aim is to advance knowledge and encourage research, thereby improving the prevention or diagnosis and treatment of patients affected by such diseases.
×
引用
GB/T 7714-2015
复制
MLA
复制
APA
复制
导出至
BibTeX EndNote RefMan NoteFirst NoteExpress
×
提示
您的信息不完整,为了账户安全,请先补充。
现在去补充
×
提示
您因"违规操作"
具体请查看互助需知
我知道了
×
提示
确定
请完成安全验证×
copy
已复制链接
快去分享给好友吧!
我知道了
右上角分享
点击右上角分享
0
联系我们:info@booksci.cn Book学术提供免费学术资源搜索服务,方便国内外学者检索中英文文献。致力于提供最便捷和优质的服务体验。 Copyright © 2023 布克学术 All rights reserved.
京ICP备2023020795号-1
ghs 京公网安备 11010802042870号
Book学术文献互助
Book学术文献互助群
群 号:604180095
Book学术官方微信