A longitudinal assessment of major mouthwashes used in alleviating pain and xerostomia among advanced nasopharyngeal carcinoma patients receiving chemoradiotherapy.

IF 0.9 4区 医学 Q4 ONCOLOGY
Journal of Oncology Pharmacy Practice Pub Date : 2025-09-01 Epub Date: 2024-08-02 DOI:10.1177/10781552241265933
Rhubain Mageswaran, Zen Yang Ang
{"title":"A longitudinal assessment of major mouthwashes used in alleviating pain and xerostomia among advanced nasopharyngeal carcinoma patients receiving chemoradiotherapy.","authors":"Rhubain Mageswaran, Zen Yang Ang","doi":"10.1177/10781552241265933","DOIUrl":null,"url":null,"abstract":"<p><p>ObjectiveThis longitudinal study aimed to evaluate the overall efficacy of mouthwashes in oral mucositis pain and mucositis xerostomia in advanced nasopharyngeal carcinoma (NPC) patients undergoing concurrent chemoradiotherapy (CCRT) at different phases throughout treatment.MethodsA longitudinal study enrolled 79 advanced NPC subjects receiving CCRT. The subjects were interviewed prospectively three times over 7 weeks for pain and xerostomia scores based on the various types of mouthwash used. The median pain score difference and median xerostomia score difference were utilised to determine mouthwash superiority.ResultsParticipants completed three interviews, during which 480 instances of mouthwash use were observed throughout different phases of the treatment period. The results showed that the median pain scores between mouthwashes differed significantly, <i>H</i>-Stat(3) = 30.0, 25.7 and 26.0, respectively, with <i>p</i> < 0.001 for all three interviews. The pain score reductions of lidocaine mouthwash (median = 2, interquartile range (IQR) = 3, 2 and 2.75 over the three interviews, respectively) were significantly higher than those of benzydamine and sodium bicarbonate mouthwashes. There were no significant differences between the studied mouthwashes in their xerostomia score reductions.ConclusionsLidocaine mouthwash was superior in managing oral mucositis pain at all phases throughout the entire chemoradiotherapy treatment for advanced NPC patients. There was insufficient evidence to determine the preferred mouthwash for treating oral mucositis xerostomia.</p>","PeriodicalId":16637,"journal":{"name":"Journal of Oncology Pharmacy Practice","volume":" ","pages":"910-920"},"PeriodicalIF":0.9000,"publicationDate":"2025-09-01","publicationTypes":"Journal Article","fieldsOfStudy":null,"isOpenAccess":false,"openAccessPdf":"https://www.ncbi.nlm.nih.gov/pmc/articles/PMC12290227/pdf/","citationCount":"0","resultStr":null,"platform":"Semanticscholar","paperid":null,"PeriodicalName":"Journal of Oncology Pharmacy Practice","FirstCategoryId":"3","ListUrlMain":"https://doi.org/10.1177/10781552241265933","RegionNum":4,"RegionCategory":"医学","ArticlePicture":[],"TitleCN":null,"AbstractTextCN":null,"PMCID":null,"EPubDate":"2024/8/2 0:00:00","PubModel":"Epub","JCR":"Q4","JCRName":"ONCOLOGY","Score":null,"Total":0}
引用次数: 0

Abstract

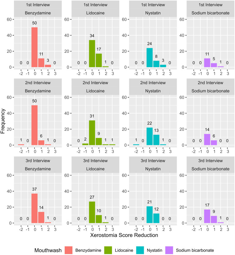
ObjectiveThis longitudinal study aimed to evaluate the overall efficacy of mouthwashes in oral mucositis pain and mucositis xerostomia in advanced nasopharyngeal carcinoma (NPC) patients undergoing concurrent chemoradiotherapy (CCRT) at different phases throughout treatment.MethodsA longitudinal study enrolled 79 advanced NPC subjects receiving CCRT. The subjects were interviewed prospectively three times over 7 weeks for pain and xerostomia scores based on the various types of mouthwash used. The median pain score difference and median xerostomia score difference were utilised to determine mouthwash superiority.ResultsParticipants completed three interviews, during which 480 instances of mouthwash use were observed throughout different phases of the treatment period. The results showed that the median pain scores between mouthwashes differed significantly, H-Stat(3) = 30.0, 25.7 and 26.0, respectively, with p < 0.001 for all three interviews. The pain score reductions of lidocaine mouthwash (median = 2, interquartile range (IQR) = 3, 2 and 2.75 over the three interviews, respectively) were significantly higher than those of benzydamine and sodium bicarbonate mouthwashes. There were no significant differences between the studied mouthwashes in their xerostomia score reductions.ConclusionsLidocaine mouthwash was superior in managing oral mucositis pain at all phases throughout the entire chemoradiotherapy treatment for advanced NPC patients. There was insufficient evidence to determine the preferred mouthwash for treating oral mucositis xerostomia.

Abstract Image

Abstract Image

Abstract Image

对用于缓解接受放化疗的晚期鼻咽癌患者疼痛和口腔干燥症的主要漱口水进行纵向评估。
研究目的这项纵向研究旨在评估漱口水对接受同期化放疗(CCRT)的晚期鼻咽癌(NPC)患者在整个治疗过程中不同阶段的口腔黏膜炎疼痛和黏膜炎性口腔干燥症的总体疗效:一项纵向研究纳入了79名接受CCRT治疗的晚期鼻咽癌患者。研究人员在 7 周内对受试者进行了三次前瞻性访谈,根据他们使用的各种漱口水对疼痛和口腔异味进行评分。根据疼痛评分差异中位数和口腔异味评分差异中位数来确定漱口水的优劣:参与者完成了三次访谈,在整个治疗期间的不同阶段观察到 480 次使用漱口水的情况。结果显示,不同漱口水的疼痛评分中位数差异显著,H-Stat(3) = 30.0、25.7 和 26.0,P 为结论:利多卡因漱口水在晚期鼻咽癌患者整个化放疗过程的各个阶段都能更好地控制口腔黏膜炎疼痛。目前还没有足够的证据来确定治疗口腔黏膜炎口腔异物感的首选漱口水。
本文章由计算机程序翻译,如有差异,请以英文原文为准。
求助全文
约1分钟内获得全文 求助全文
来源期刊
CiteScore
2.70
自引率
7.70%
发文量
276
期刊介绍: Journal of Oncology Pharmacy Practice is a peer-reviewed scholarly journal dedicated to educating health professionals about providing pharmaceutical care to patients with cancer. It is the official publication of the International Society for Oncology Pharmacy Practitioners (ISOPP). Publishing pertinent case reports and consensus guidelines...
×
引用
GB/T 7714-2015
复制
MLA
复制
APA
复制
导出至
BibTeX EndNote RefMan NoteFirst NoteExpress
×
提示
您的信息不完整,为了账户安全,请先补充。
现在去补充
×
提示
您因"违规操作"
具体请查看互助需知
我知道了
×
提示
确定
请完成安全验证×
copy
已复制链接
快去分享给好友吧!
我知道了
右上角分享
点击右上角分享
0
联系我们:info@booksci.cn Book学术提供免费学术资源搜索服务,方便国内外学者检索中英文文献。致力于提供最便捷和优质的服务体验。 Copyright © 2023 布克学术 All rights reserved.
京ICP备2023020795号-1
ghs 京公网安备 11010802042870号
Book学术文献互助
Book学术文献互助群
群 号:604180095
Book学术官方微信