Evaluation of score-based tertiary triage policies during the COVID-19 pandemic: simulation study with real-world intensive care data.

IF 1.5 4区 医学 Q2 MEDICINE, GENERAL & INTERNAL
Christina C Bartenschlager, Jens O Brunner, Michael Kubiciel, Axel R Heller
{"title":"Evaluation of score-based tertiary triage policies during the COVID-19 pandemic: simulation study with real-world intensive care data.","authors":"Christina C Bartenschlager, Jens O Brunner, Michael Kubiciel, Axel R Heller","doi":"10.1007/s00063-024-01162-8","DOIUrl":null,"url":null,"abstract":"<p><strong>Objective: </strong>The explicit prohibition of discontinuing intensive care unit (ICU) treatment that has already begun by the newly established German Triage Act in favor of new patients with better prognoses (tertiary triage) under crisis conditions may prevent saving as many patients as possible and therefore may violate the international well-accepted premise of undertaking the \"best for the most\" patients. During the COVID-19 pandemic, authorities set up lockdown measures and infection-prevention strategies to avoid an overburdened health-care system. In cases of situational overload of ICU resources, when transporting options are exhausted, the question of a tertiary triage of patients arises.</p><p><strong>Methods: </strong>We provide data-driven analyses of score- and non-score-based tertiary triage policies using simulation and real-world electronic health record data in a COVID-19 setting. Ten different triage policies, for example, based on the Simplified Acute Physiology Score (SAPS II), are compared based on the resulting mortality in the ICU and inferential statistics.</p><p><strong>Results: </strong>Our study shows that score-based tertiary triage policies outperform non-score-based tertiary triage policies including compliance with the German Triage Act. Based on our simulation model, a SAPS II score-based tertiary triage policy reduces mortality in the ICU by up to 18 percentage points. The longer the queue of critical care patients waiting for ICU treatment and the larger the maximum number of patients subject to tertiary triage, the greater the effect on the reduction of mortality in the ICU.</p><p><strong>Conclusion: </strong>A SAPS II score-based tertiary triage policy was superior in our simulation model. Random allocation or \"first come, first served\" policies yield the lowest survival rates, as will adherence to the new German Triage Act. An interdisciplinary discussion including an ethical and legal perspective is important for the social interpretation of our data-driven results.</p>","PeriodicalId":49019,"journal":{"name":"Medizinische Klinik-Intensivmedizin Und Notfallmedizin","volume":" ","pages":"307-315"},"PeriodicalIF":1.5000,"publicationDate":"2025-05-01","publicationTypes":"Journal Article","fieldsOfStudy":null,"isOpenAccess":false,"openAccessPdf":"https://www.ncbi.nlm.nih.gov/pmc/articles/PMC12041167/pdf/","citationCount":"0","resultStr":null,"platform":"Semanticscholar","paperid":null,"PeriodicalName":"Medizinische Klinik-Intensivmedizin Und Notfallmedizin","FirstCategoryId":"3","ListUrlMain":"https://doi.org/10.1007/s00063-024-01162-8","RegionNum":4,"RegionCategory":"医学","ArticlePicture":[],"TitleCN":null,"AbstractTextCN":null,"PMCID":null,"EPubDate":"2024/8/2 0:00:00","PubModel":"Epub","JCR":"Q2","JCRName":"MEDICINE, GENERAL & INTERNAL","Score":null,"Total":0}
引用次数: 0

Abstract

Objective: The explicit prohibition of discontinuing intensive care unit (ICU) treatment that has already begun by the newly established German Triage Act in favor of new patients with better prognoses (tertiary triage) under crisis conditions may prevent saving as many patients as possible and therefore may violate the international well-accepted premise of undertaking the "best for the most" patients. During the COVID-19 pandemic, authorities set up lockdown measures and infection-prevention strategies to avoid an overburdened health-care system. In cases of situational overload of ICU resources, when transporting options are exhausted, the question of a tertiary triage of patients arises.

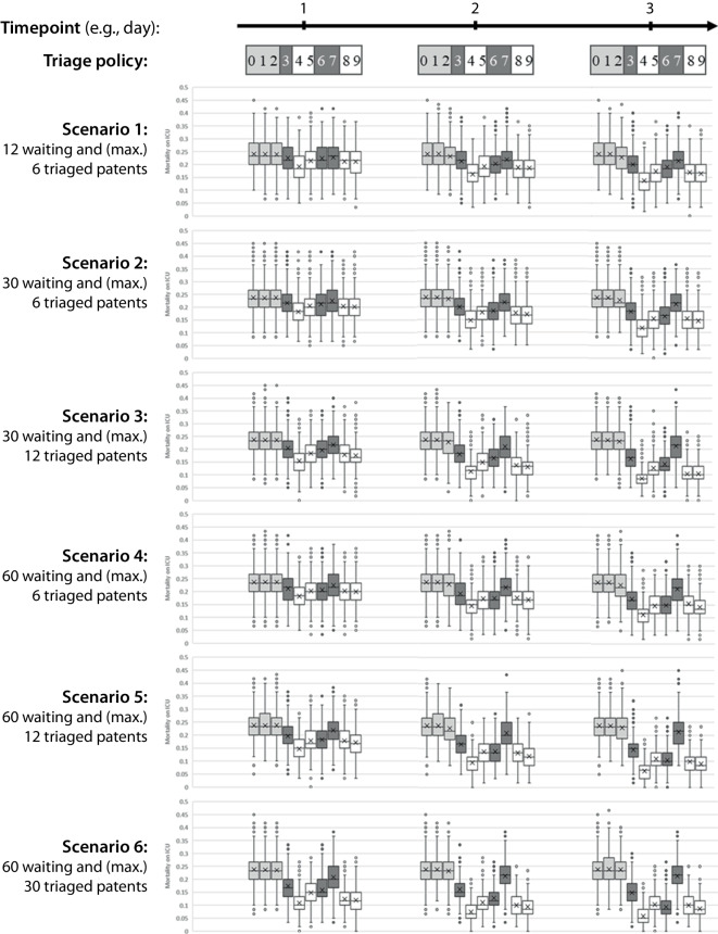
Methods: We provide data-driven analyses of score- and non-score-based tertiary triage policies using simulation and real-world electronic health record data in a COVID-19 setting. Ten different triage policies, for example, based on the Simplified Acute Physiology Score (SAPS II), are compared based on the resulting mortality in the ICU and inferential statistics.

Results: Our study shows that score-based tertiary triage policies outperform non-score-based tertiary triage policies including compliance with the German Triage Act. Based on our simulation model, a SAPS II score-based tertiary triage policy reduces mortality in the ICU by up to 18 percentage points. The longer the queue of critical care patients waiting for ICU treatment and the larger the maximum number of patients subject to tertiary triage, the greater the effect on the reduction of mortality in the ICU.

Conclusion: A SAPS II score-based tertiary triage policy was superior in our simulation model. Random allocation or "first come, first served" policies yield the lowest survival rates, as will adherence to the new German Triage Act. An interdisciplinary discussion including an ethical and legal perspective is important for the social interpretation of our data-driven results.

Abstract Image

Abstract Image

Abstract Image

评估 COVID-19 大流行期间基于评分的三级分流政策:利用真实世界重症监护数据进行的模拟研究。
目的:德国新制定的《分诊法》明令禁止在危机情况下中止已经开始的重症监护室(ICU)治疗,转而对预后较好的新病人进行治疗(三级分诊),这可能会妨碍尽可能多地救治病人,因此可能会违反国际公认的 "为大多数病人提供最佳治疗 "的前提。在 COVID-19 大流行期间,当局制定了封锁措施和感染预防战略,以避免医疗系统负担过重。在重症监护室资源超负荷的情况下,当转运选择用尽时,就会出现对病人进行三级分流的问题:方法:我们利用 COVID-19 环境中的模拟数据和真实世界的电子病历数据,对基于评分和非评分的三级分流政策进行了数据驱动分析。我们比较了十种不同的分诊政策,例如基于简化急性生理学评分(SAPS II)的分诊政策,并根据由此得出的重症监护室死亡率和推断统计结果进行了比较:我们的研究表明,基于评分的三级分诊政策优于不基于评分的三级分诊政策,包括符合德国分诊法。根据我们的模拟模型,基于 SAPS II 评分的三级分流政策最多可将重症监护室的死亡率降低 18 个百分点。等待重症监护室治疗的重症患者队列越长,接受三级分流的患者人数越多,对降低重症监护室死亡率的效果就越大:结论:在我们的模拟模型中,基于SAPS II评分的三级分流政策更为优越。随机分配或 "先到先得 "政策的生存率最低,遵守新的德国分诊法也是如此。包括伦理和法律观点在内的跨学科讨论对于从社会角度解读我们的数据驱动结果非常重要。
本文章由计算机程序翻译,如有差异,请以英文原文为准。
求助全文
约1分钟内获得全文 求助全文
来源期刊
CiteScore
2.60
自引率
9.10%
发文量
93
审稿时长
6-12 weeks
期刊介绍: Medizinische Klinik – Intensivmedizin und Notfallmedizin is an internationally respected interdisciplinary journal. It is intended for physicians, nurses, respiratory and physical therapists active in intensive care and accident/emergency units, but also for internists, anesthesiologists, surgeons, neurologists, and pediatricians with special interest in intensive care medicine. Comprehensive reviews describe the most recent advances in the field of internal medicine with special focus on intensive care problems. Freely submitted original articles present important studies in this discipline and promote scientific exchange, while articles in the category Photo essay feature interesting cases and aim at optimizing diagnostic and therapeutic strategies. In the rubric journal club well-respected experts comment on outstanding international publications. Review articles under the rubric "Continuing Medical Education" present verified results of scientific research and their integration into daily practice. The rubrics "Nursing practice" and "Physical therapy" round out the information.
×
引用
GB/T 7714-2015
复制
MLA
复制
APA
复制
导出至
BibTeX EndNote RefMan NoteFirst NoteExpress
×
提示
您的信息不完整,为了账户安全,请先补充。
现在去补充
×
提示
您因"违规操作"
具体请查看互助需知
我知道了
×
提示
确定
请完成安全验证×
copy
已复制链接
快去分享给好友吧!
我知道了
右上角分享
点击右上角分享
0
联系我们:info@booksci.cn Book学术提供免费学术资源搜索服务,方便国内外学者检索中英文文献。致力于提供最便捷和优质的服务体验。 Copyright © 2023 布克学术 All rights reserved.
京ICP备2023020795号-1
ghs 京公网安备 11010802042870号
Book学术文献互助
Book学术文献互助群
群 号:604180095
Book学术官方微信