Syzygium malaccense leaves methanol extract modulate some biochemical and inflammatory markers and prostate histology of testosterone-estradiol valerate induced benign prostatic hyperplasia in rats.

IF 2.2 Q3 CHEMISTRY, MEDICINAL
Ngozi Kalu Achi, Chinedum Ogbonnaya Eleazu, Chimaraoke Onyeabo, Winner Kalu, Kate Eleazu
{"title":"<i>Syzygium malaccense</i> leaves methanol extract modulate some biochemical and inflammatory markers and prostate histology of testosterone-estradiol valerate induced benign prostatic hyperplasia in rats.","authors":"Ngozi Kalu Achi, Chinedum Ogbonnaya Eleazu, Chimaraoke Onyeabo, Winner Kalu, Kate Eleazu","doi":"10.22038/AJP.2023.23526","DOIUrl":null,"url":null,"abstract":"<p><strong>Objective: </strong>The effect of <i>Syzygium malaccense</i> methanol leaf extract (SMLE) on some parameters of testosterone-estradiol valerate induced benign prostatic hyperplasia (BPH) in rats was assayed.</p><p><strong>Materials and methods: </strong>Thirty male albino rats were used and they were grouped as: Control: received 1 mL/kg olive oil (oral and subcutaneous); BPH: received subcutaneously 9 mg/kg dihydrotestosterone (DHT)+0.9 mg/kg estradiol valerate (ESV) and orally 1 ml/kg olive oil; finasteride: received 9 mg/kg of DHT+0.9 mg/kg ESV (subcutaneously) and 5 mg/kg finasteride (orally) and test groups 1 and 2: received 9 mg/kg of DHT+0.9 mg/kg ESV (subcutaneously) and 200 and 400 mg/kg SMLE (orally). The duration of the treatment was 28 days.</p><p><strong>Results: </strong>The BPH group had increased prostatic total proteins, oxidative stress, interleukin 8, tumor necrosis factor-α, prostate weights, serum concentrations of prostate specific antigen, estradiol, follicle stimulating hormone, and C-reactive protein, dyslipidaemia, altered prostate histology and hormonal levels but had no significant change (p>0.05) in haematological indices relative to the control. Finasteride or <i>S</i>. <i>malaccense</i> modulated most of these parameters as corroborated by prostate histology. Acute toxicity study indicated the non-toxicity of SMLE. SMLE showed strong <i>in vitro</i> antioxidant activity which corroborated its <i>in vivo</i> antioxidant activity.</p><p><strong>Conclusion: </strong>The study showed that <i>S</i>. <i>malaccense</i> could be useful in the management of BPH.</p>","PeriodicalId":8677,"journal":{"name":"Avicenna Journal of Phytomedicine","volume":"14 3","pages":"305-324"},"PeriodicalIF":2.2000,"publicationDate":"2024-05-01","publicationTypes":"Journal Article","fieldsOfStudy":null,"isOpenAccess":false,"openAccessPdf":"https://www.ncbi.nlm.nih.gov/pmc/articles/PMC11287027/pdf/","citationCount":"0","resultStr":null,"platform":"Semanticscholar","paperid":null,"PeriodicalName":"Avicenna Journal of Phytomedicine","FirstCategoryId":"1085","ListUrlMain":"https://doi.org/10.22038/AJP.2023.23526","RegionNum":0,"RegionCategory":null,"ArticlePicture":[],"TitleCN":null,"AbstractTextCN":null,"PMCID":null,"EPubDate":"","PubModel":"","JCR":"Q3","JCRName":"CHEMISTRY, MEDICINAL","Score":null,"Total":0}
引用次数: 0

Abstract

Objective: The effect of Syzygium malaccense methanol leaf extract (SMLE) on some parameters of testosterone-estradiol valerate induced benign prostatic hyperplasia (BPH) in rats was assayed.

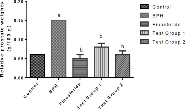
Materials and methods: Thirty male albino rats were used and they were grouped as: Control: received 1 mL/kg olive oil (oral and subcutaneous); BPH: received subcutaneously 9 mg/kg dihydrotestosterone (DHT)+0.9 mg/kg estradiol valerate (ESV) and orally 1 ml/kg olive oil; finasteride: received 9 mg/kg of DHT+0.9 mg/kg ESV (subcutaneously) and 5 mg/kg finasteride (orally) and test groups 1 and 2: received 9 mg/kg of DHT+0.9 mg/kg ESV (subcutaneously) and 200 and 400 mg/kg SMLE (orally). The duration of the treatment was 28 days.

Results: The BPH group had increased prostatic total proteins, oxidative stress, interleukin 8, tumor necrosis factor-α, prostate weights, serum concentrations of prostate specific antigen, estradiol, follicle stimulating hormone, and C-reactive protein, dyslipidaemia, altered prostate histology and hormonal levels but had no significant change (p>0.05) in haematological indices relative to the control. Finasteride or S. malaccense modulated most of these parameters as corroborated by prostate histology. Acute toxicity study indicated the non-toxicity of SMLE. SMLE showed strong in vitro antioxidant activity which corroborated its in vivo antioxidant activity.

Conclusion: The study showed that S. malaccense could be useful in the management of BPH.

Abstract Image

Abstract Image

Abstract Image

马钱子叶甲醇提取物可调节睾酮-戊酸雌二醇诱导的良性前列腺增生大鼠的一些生化指标、炎症指标和前列腺组织学。
目的:材料与方法:使用 30 只雄性白化大鼠,将其分为以下几组:对照组:口服和皮下注射 1 mL/kg 橄榄油;良性前列腺增生组:皮下注射 9 mg/kg 双氢睾酮(DHT)+0.9 mg/kg 戊酸雌二醇(ESV)和口服 1 ml/kg 橄榄油;非那雄胺组:口服 9 mg/kg DHT+0.9毫克/千克ESV(皮下注射)和5毫克/千克非那雄胺(口服);试验组1和2:接受9毫克/千克DHT+0.9毫克/千克ESV(皮下注射)和200和400毫克/千克SMLE(口服)。疗程为 28 天:结果:良性前列腺增生组的前列腺总蛋白、氧化应激、白细胞介素 8、肿瘤坏死因子-α、前列腺重量、前列腺特异性抗原、雌二醇、促卵泡激素和 C 反应蛋白的血清浓度、血脂异常、前列腺组织学和激素水平均有所增加,但血液学指标与对照组相比无显著变化(P>0.05)。前列腺组织学证实,非那雄胺或马钱子碱可调节这些参数中的大部分。急性毒性研究表明,SMLE 没有毒性。SMLE显示出很强的体外抗氧化活性,这也证实了其体内抗氧化活性:研究表明,S. malaccense可用于治疗良性前列腺增生症。
本文章由计算机程序翻译,如有差异,请以英文原文为准。
求助全文
约1分钟内获得全文 求助全文
来源期刊
Avicenna Journal of Phytomedicine
Avicenna Journal of Phytomedicine CHEMISTRY, MEDICINAL-
CiteScore
3.40
自引率
4.50%
发文量
17
审稿时长
6 weeks
×
引用
GB/T 7714-2015
复制
MLA
复制
APA
复制
导出至
BibTeX EndNote RefMan NoteFirst NoteExpress
×
提示
您的信息不完整,为了账户安全,请先补充。
现在去补充
×
提示
您因"违规操作"
具体请查看互助需知
我知道了
×
提示
确定
请完成安全验证×
copy
已复制链接
快去分享给好友吧!
我知道了
右上角分享
点击右上角分享
0
联系我们:info@booksci.cn Book学术提供免费学术资源搜索服务,方便国内外学者检索中英文文献。致力于提供最便捷和优质的服务体验。 Copyright © 2023 布克学术 All rights reserved.
京ICP备2023020795号-1
ghs 京公网安备 11010802042870号
Book学术文献互助
Book学术文献互助群
群 号:604180095
Book学术官方微信