Identification of an Allele-Specific Transcription Factor Binding Interaction that May Regulate PLA2G2A Gene Expression.

IF 2.4 Q3 BIOCHEMICAL RESEARCH METHODS
Bioinformatics and Biology Insights Pub Date : 2024-07-30 eCollection Date: 2024-01-01 DOI:10.1177/11779322241261427
Aki Hara, Eric Lu, Laurel Johnstone, Michelle Wei, Shudong Sun, Brian Hallmark, Joseph C Watkins, Hao Helen Zhang, Guang Yao, Floyd H Chilton
{"title":"Identification of an Allele-Specific Transcription Factor Binding Interaction that May Regulate PLA2G2A Gene Expression.","authors":"Aki Hara, Eric Lu, Laurel Johnstone, Michelle Wei, Shudong Sun, Brian Hallmark, Joseph C Watkins, Hao Helen Zhang, Guang Yao, Floyd H Chilton","doi":"10.1177/11779322241261427","DOIUrl":null,"url":null,"abstract":"<p><p>The secreted phospholipase A<sub>2</sub> (sPLA<sub>2</sub>) isoform, sPLA<sub>2</sub>-IIA, has been implicated in a variety of diseases and conditions, including bacteremia, cardiovascular disease, COVID-19, sepsis, adult respiratory distress syndrome, and certain cancers. Given its significant role in these conditions, understanding the regulatory mechanisms impacting its levels is crucial. Genome-wide association studies (GWAS) have identified several single nucleotide polymorphisms (SNPs), including rs11573156, that are associated with circulating levels of sPLA<sub>2</sub>-IIA. The work in the manuscript leveraged 4 publicly available datasets to investigate the mechanism by which rs11573156 influences sPLA<sub>2</sub>-IIA levels via bioinformatics and modeling analysis. Through genotype-tissue expression (GTEx), 234 expression quantitative trait loci (eQTLs) were identified for the gene that encodes for sPLA<sub>2</sub>-IIA, <i>PLA2G2A</i>. SNP2TFBS was used to ascertain the binding affinities between transcription factors (TFs) to both the reference and alternative alleles of identified eQTL SNPs. Subsequently, candidate TF-SNP interactions were cross-referenced with the ChIP-seq results in matched tissues from ENCODE. SP1-rs11573156 emerged as the significant TF-SNP pair in the liver. Further analysis revealed that the upregulation of <i>PLA2G2A</i> transcript levels through the rs11573156 variant was likely affected by tissue SP1 protein levels. Using an ordinary differential equation based on Michaelis-Menten kinetic assumptions, we modeled the dependence of <i>PLA2G2A</i> transcription on SP1 protein levels, incorporating the SNP influence. Collectively, our analysis strongly suggests that the difference in the binding dynamics of SP1 to different rs11573156 alleles may underlie the allele-specific PLA2G2A expression in different tissues, a mechanistic model that awaits future direct experimental validation. This mechanism likely contributes to the variation in circulating sPLA<sub>2</sub>-IIA protein levels in the human population, with implications for a wide range of human diseases.</p>","PeriodicalId":9065,"journal":{"name":"Bioinformatics and Biology Insights","volume":"18 ","pages":"11779322241261427"},"PeriodicalIF":2.4000,"publicationDate":"2024-07-30","publicationTypes":"Journal Article","fieldsOfStudy":null,"isOpenAccess":false,"openAccessPdf":"https://www.ncbi.nlm.nih.gov/pmc/articles/PMC11287738/pdf/","citationCount":"0","resultStr":null,"platform":"Semanticscholar","paperid":null,"PeriodicalName":"Bioinformatics and Biology Insights","FirstCategoryId":"1085","ListUrlMain":"https://doi.org/10.1177/11779322241261427","RegionNum":0,"RegionCategory":null,"ArticlePicture":[],"TitleCN":null,"AbstractTextCN":null,"PMCID":null,"EPubDate":"2024/1/1 0:00:00","PubModel":"eCollection","JCR":"Q3","JCRName":"BIOCHEMICAL RESEARCH METHODS","Score":null,"Total":0}
引用次数: 0

Abstract

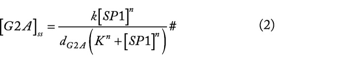
The secreted phospholipase A2 (sPLA2) isoform, sPLA2-IIA, has been implicated in a variety of diseases and conditions, including bacteremia, cardiovascular disease, COVID-19, sepsis, adult respiratory distress syndrome, and certain cancers. Given its significant role in these conditions, understanding the regulatory mechanisms impacting its levels is crucial. Genome-wide association studies (GWAS) have identified several single nucleotide polymorphisms (SNPs), including rs11573156, that are associated with circulating levels of sPLA2-IIA. The work in the manuscript leveraged 4 publicly available datasets to investigate the mechanism by which rs11573156 influences sPLA2-IIA levels via bioinformatics and modeling analysis. Through genotype-tissue expression (GTEx), 234 expression quantitative trait loci (eQTLs) were identified for the gene that encodes for sPLA2-IIA, PLA2G2A. SNP2TFBS was used to ascertain the binding affinities between transcription factors (TFs) to both the reference and alternative alleles of identified eQTL SNPs. Subsequently, candidate TF-SNP interactions were cross-referenced with the ChIP-seq results in matched tissues from ENCODE. SP1-rs11573156 emerged as the significant TF-SNP pair in the liver. Further analysis revealed that the upregulation of PLA2G2A transcript levels through the rs11573156 variant was likely affected by tissue SP1 protein levels. Using an ordinary differential equation based on Michaelis-Menten kinetic assumptions, we modeled the dependence of PLA2G2A transcription on SP1 protein levels, incorporating the SNP influence. Collectively, our analysis strongly suggests that the difference in the binding dynamics of SP1 to different rs11573156 alleles may underlie the allele-specific PLA2G2A expression in different tissues, a mechanistic model that awaits future direct experimental validation. This mechanism likely contributes to the variation in circulating sPLA2-IIA protein levels in the human population, with implications for a wide range of human diseases.

Abstract Image

Abstract Image

Abstract Image

鉴定可能调控 PLA2G2A 基因表达的等位基因特异性转录因子结合相互作用
分泌型磷脂酶 A2(sPLA2)异构体 sPLA2-IIA 与多种疾病和病症有关,包括菌血症、心血管疾病、COVID-19、败血症、成人呼吸窘迫综合征和某些癌症。鉴于其在这些疾病中的重要作用,了解影响其水平的调控机制至关重要。全基因组关联研究(GWAS)发现了几个与 sPLA2-IIA 循环水平相关的单核苷酸多态性(SNPs),包括 rs11573156。手稿中的研究利用了 4 个公开可用的数据集,通过生物信息学和建模分析研究了 rs11573156 影响 sPLA2-IIA 水平的机制。通过基因型-组织表达(GTEx),为编码 sPLA2-IIA 的基因 PLA2G2A 确定了 234 个表达定量性状位点(eQTLs)。SNP2TFBS 被用来确定转录因子(TF)与已确定的 eQTL SNP 的参考等位基因和替代等位基因之间的结合亲和力。随后,候选 TF-SNP 相互作用与 ENCODE 中匹配组织的 ChIP-seq 结果进行了交叉比对。SP1-rs11573156 成为肝脏中重要的 TF-SNP 对。进一步的分析表明,rs11573156 变体对 PLA2G2A 转录本水平的上调可能受到组织 SP1 蛋白水平的影响。利用基于 Michaelis-Menten 动力学假设的常微分方程,我们模拟了 PLA2G2A 转录对 SP1 蛋白水平的依赖性,并纳入了 SNP 的影响。总之,我们的分析有力地表明,SP1 与不同 rs11573156 等位基因结合动力学的差异可能是等位基因特异性 PLA2G2A 在不同组织中表达的基础,这一机理模型有待未来的直接实验验证。这一机制很可能是导致人群中循环中 sPLA2-IIA 蛋白水平变化的原因,并对多种人类疾病产生影响。
本文章由计算机程序翻译,如有差异,请以英文原文为准。
求助全文
约1分钟内获得全文 求助全文
来源期刊
Bioinformatics and Biology Insights
Bioinformatics and Biology Insights BIOCHEMICAL RESEARCH METHODS-
CiteScore
6.80
自引率
1.70%
发文量
36
审稿时长
8 weeks
期刊介绍: Bioinformatics and Biology Insights is an open access, peer-reviewed journal that considers articles on bioinformatics methods and their applications which must pertain to biological insights. All papers should be easily amenable to biologists and as such help bridge the gap between theories and applications.
×
引用
GB/T 7714-2015
复制
MLA
复制
APA
复制
导出至
BibTeX EndNote RefMan NoteFirst NoteExpress
×
提示
您的信息不完整,为了账户安全,请先补充。
现在去补充
×
提示
您因"违规操作"
具体请查看互助需知
我知道了
×
提示
确定
请完成安全验证×
copy
已复制链接
快去分享给好友吧!
我知道了
右上角分享
点击右上角分享
0
联系我们:info@booksci.cn Book学术提供免费学术资源搜索服务,方便国内外学者检索中英文文献。致力于提供最便捷和优质的服务体验。 Copyright © 2023 布克学术 All rights reserved.
京ICP备2023020795号-1
ghs 京公网安备 11010802042870号
Book学术文献互助
Book学术文献互助群
群 号:604180095
Book学术官方微信