Efficacy and safety of benralizumab in elderly patients with severe eosinophilic asthma.

IF 1.4 Q3 RESPIRATORY SYSTEM
European Clinical Respiratory Journal Pub Date : 2024-07-26 eCollection Date: 2024-01-01 DOI:10.1080/20018525.2024.2384173
Kohei Somekawa, Keisuke Watanabe, Kenichi Seki, Suguru Muraoka, Ami Izawa, Ayami Kaneko, Yukiko Otsu, Momo Hirata, Sousuke Kubo, Katsushi Tanaka, Ryo Nagasawa, Hiromi Matsumoto, Kota Murohashi, Hiroaki Fuji, Ayako Aoki, Nobuyuki Horita, Yu Hara, Nobuaki Kobayashi, Makoto Kudo, Takeshi Kaneko
{"title":"Efficacy and safety of benralizumab in elderly patients with severe eosinophilic asthma.","authors":"Kohei Somekawa, Keisuke Watanabe, Kenichi Seki, Suguru Muraoka, Ami Izawa, Ayami Kaneko, Yukiko Otsu, Momo Hirata, Sousuke Kubo, Katsushi Tanaka, Ryo Nagasawa, Hiromi Matsumoto, Kota Murohashi, Hiroaki Fuji, Ayako Aoki, Nobuyuki Horita, Yu Hara, Nobuaki Kobayashi, Makoto Kudo, Takeshi Kaneko","doi":"10.1080/20018525.2024.2384173","DOIUrl":null,"url":null,"abstract":"<p><strong>Background: </strong>Biologics are the important drugs for severe asthma, but clinical trials included few elderly patients. Data on the safety and efficacy of benralizumab in elderly asthma patients are limited.</p><p><strong>Methods: </strong>This clinical study was a multicentre, retrospective, observational study at two hospitals. Patients aged ≥18 years diagnosed with severe asthma treated with benralizumab were included. Elderly patients were defined as those aged 70 years or older. Efficacy and safety were then analyzed in elderly and non-elderly patients. The primary endpoints were the annual number of asthma exacerbations for efficacy and the discontinuation rate due to adverse events for safety.</p><p><strong>Results: </strong>Between August 2016 and October 2022, 61 patients were enrolled; 10 patients were excluded, and 51 (22 elderly, 29 non-elderly) patients were analyzed. In elderly patients, the annual number of asthma exacerbations before treatment with benralizumab (pre-benralizumab) was 3.78, and the number during treatment with benralizumab was 1.26, a decrease of 2.52 (95% confidence interval [CI], 1.3 to 3.74, <i>p</i> < 0.001). In non-elderly patients, the annual number of asthma exacerbation in the pre-benralizumab period was 3.24, and during treatment with benralizumab it was 0.68, a decrease of 2.56 (95% CI, 1.3 to 3.82, <i>p</i> < 0.001). There was no significant difference in discontinuation due to treatment-related adverse events (elderly vs non-elderly, 2 (9%) vs 0 (0%), <i>p</i> = 0.18).</p><p><strong>Conclusion: </strong>Benralizumab reduced the annual number of asthma exacerbations and was well tolerated in elderly patients.</p>","PeriodicalId":11872,"journal":{"name":"European Clinical Respiratory Journal","volume":"11 1","pages":"2384173"},"PeriodicalIF":1.4000,"publicationDate":"2024-07-26","publicationTypes":"Journal Article","fieldsOfStudy":null,"isOpenAccess":false,"openAccessPdf":"https://www.ncbi.nlm.nih.gov/pmc/articles/PMC11285213/pdf/","citationCount":"0","resultStr":null,"platform":"Semanticscholar","paperid":null,"PeriodicalName":"European Clinical Respiratory Journal","FirstCategoryId":"1085","ListUrlMain":"https://doi.org/10.1080/20018525.2024.2384173","RegionNum":0,"RegionCategory":null,"ArticlePicture":[],"TitleCN":null,"AbstractTextCN":null,"PMCID":null,"EPubDate":"2024/1/1 0:00:00","PubModel":"eCollection","JCR":"Q3","JCRName":"RESPIRATORY SYSTEM","Score":null,"Total":0}
引用次数: 0

Abstract

Background: Biologics are the important drugs for severe asthma, but clinical trials included few elderly patients. Data on the safety and efficacy of benralizumab in elderly asthma patients are limited.

Methods: This clinical study was a multicentre, retrospective, observational study at two hospitals. Patients aged ≥18 years diagnosed with severe asthma treated with benralizumab were included. Elderly patients were defined as those aged 70 years or older. Efficacy and safety were then analyzed in elderly and non-elderly patients. The primary endpoints were the annual number of asthma exacerbations for efficacy and the discontinuation rate due to adverse events for safety.

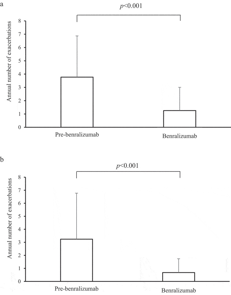
Results: Between August 2016 and October 2022, 61 patients were enrolled; 10 patients were excluded, and 51 (22 elderly, 29 non-elderly) patients were analyzed. In elderly patients, the annual number of asthma exacerbations before treatment with benralizumab (pre-benralizumab) was 3.78, and the number during treatment with benralizumab was 1.26, a decrease of 2.52 (95% confidence interval [CI], 1.3 to 3.74, p < 0.001). In non-elderly patients, the annual number of asthma exacerbation in the pre-benralizumab period was 3.24, and during treatment with benralizumab it was 0.68, a decrease of 2.56 (95% CI, 1.3 to 3.82, p < 0.001). There was no significant difference in discontinuation due to treatment-related adverse events (elderly vs non-elderly, 2 (9%) vs 0 (0%), p = 0.18).

Conclusion: Benralizumab reduced the annual number of asthma exacerbations and was well tolerated in elderly patients.

Abstract Image

Abstract Image

Abstract Image

苯拉利珠单抗对老年重症嗜酸性粒细胞性哮喘患者的疗效和安全性。
背景:生物制剂是治疗严重哮喘的重要药物,但临床试验很少包括老年患者。有关苯拉利珠单抗在老年哮喘患者中的安全性和有效性的数据十分有限:这项临床研究是在两家医院进行的一项多中心、回顾性、观察性研究。研究纳入了年龄≥18 岁、诊断为重症哮喘并接受苯拉利珠单抗治疗的患者。老年患者定义为 70 岁或以上的患者。然后对老年患者和非老年患者的疗效和安全性进行分析。主要终点是每年的哮喘加重次数(疗效)和因不良事件导致的停药率(安全性):2016年8月至2022年10月期间,61名患者入组;10名患者被排除在外,51名(22名老年患者,29名非老年患者)患者接受了分析。在老年患者中,使用贝那利珠单抗治疗前(贝那利珠单抗治疗前)每年的哮喘加重次数为3.78次,使用贝那利珠单抗治疗期间的次数为1.26次,减少了2.52次(95%置信区间[CI],1.3至3.74,P P = 0.18):结论:苯拉珠单抗可减少老年患者每年的哮喘加重次数,且耐受性良好。
本文章由计算机程序翻译,如有差异,请以英文原文为准。
求助全文
约1分钟内获得全文 求助全文
来源期刊
CiteScore
3.80
自引率
0.00%
发文量
15
审稿时长
16 weeks
×
引用
GB/T 7714-2015
复制
MLA
复制
APA
复制
导出至
BibTeX EndNote RefMan NoteFirst NoteExpress
×
提示
您的信息不完整,为了账户安全,请先补充。
现在去补充
×
提示
您因"违规操作"
具体请查看互助需知
我知道了
×
提示
确定
请完成安全验证×
copy
已复制链接
快去分享给好友吧!
我知道了
右上角分享
点击右上角分享
0
联系我们:info@booksci.cn Book学术提供免费学术资源搜索服务,方便国内外学者检索中英文文献。致力于提供最便捷和优质的服务体验。 Copyright © 2023 布克学术 All rights reserved.
京ICP备2023020795号-1
ghs 京公网安备 11010802042870号
Book学术文献互助
Book学术文献互助群
群 号:604180095
Book学术官方微信