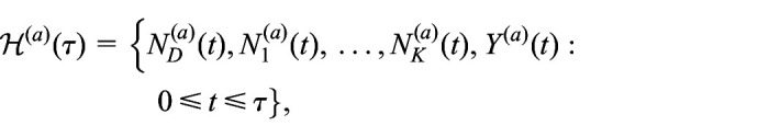
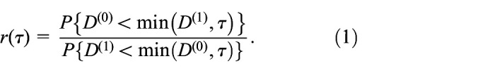
Defining estimand for the win ratio: Separate the true effect from censoring.

IF 2.2 3区 医学 Q3 MEDICINE, RESEARCH & EXPERIMENTAL
Clinical Trials Pub Date : 2024-10-01 Epub Date: 2024-07-30 DOI:10.1177/17407745241259356
Lu Mao
{"title":"Defining estimand for the win ratio: Separate the true effect from censoring.","authors":"Lu Mao","doi":"10.1177/17407745241259356","DOIUrl":null,"url":null,"abstract":"<p><p>The win ratio has been increasingly used in trials with hierarchical composite endpoints. While the outcomes involved and the rule for their comparisons vary with the application, there is invariably little attention to the estimand of the resulting statistic, causing difficulties in interpretation and cross-trial comparison. We make the case for articulating the estimand as a first step to win ratio analysis and establish that the root cause for its elusiveness is its intrinsic dependency on the time frame of comparison, which, if left unspecified, is set haphazardly by trial-specific censoring. From the statistical literature, we summarize two general approaches to overcome this uncertainty-a nonparametric one that pre-specifies the time frame for all comparisons, and a semiparametric one that posits a constant win ratio across all times-each with publicly available software and real examples. Finally, we discuss unsolved challenges, such as estimand construction and inference in the presence of intercurrent events.</p>","PeriodicalId":10685,"journal":{"name":"Clinical Trials","volume":" ","pages":"584-594"},"PeriodicalIF":2.2000,"publicationDate":"2024-10-01","publicationTypes":"Journal Article","fieldsOfStudy":null,"isOpenAccess":false,"openAccessPdf":"https://www.ncbi.nlm.nih.gov/pmc/articles/PMC11502278/pdf/","citationCount":"0","resultStr":null,"platform":"Semanticscholar","paperid":null,"PeriodicalName":"Clinical Trials","FirstCategoryId":"3","ListUrlMain":"https://doi.org/10.1177/17407745241259356","RegionNum":3,"RegionCategory":"医学","ArticlePicture":[],"TitleCN":null,"AbstractTextCN":null,"PMCID":null,"EPubDate":"2024/7/30 0:00:00","PubModel":"Epub","JCR":"Q3","JCRName":"MEDICINE, RESEARCH & EXPERIMENTAL","Score":null,"Total":0}
引用次数: 0

Abstract

The win ratio has been increasingly used in trials with hierarchical composite endpoints. While the outcomes involved and the rule for their comparisons vary with the application, there is invariably little attention to the estimand of the resulting statistic, causing difficulties in interpretation and cross-trial comparison. We make the case for articulating the estimand as a first step to win ratio analysis and establish that the root cause for its elusiveness is its intrinsic dependency on the time frame of comparison, which, if left unspecified, is set haphazardly by trial-specific censoring. From the statistical literature, we summarize two general approaches to overcome this uncertainty-a nonparametric one that pre-specifies the time frame for all comparisons, and a semiparametric one that posits a constant win ratio across all times-each with publicly available software and real examples. Finally, we discuss unsolved challenges, such as estimand construction and inference in the presence of intercurrent events.

Abstract Image

Abstract Image

Abstract Image

定义胜率估计值:将真实效应与普查区分开来。
在采用分层综合终点的试验中,胜率的使用越来越多。虽然所涉及的结果及其比较规则因应用而异,但人们总是很少关注统计结果的估计值,这给解释和跨试验比较造成了困难。我们提出的理由是,阐明估计值是胜诉率分析的第一步,并确定其难以捉摸的根本原因是其内在依赖于比较的时间框架,如果不指定时间框架,就会通过特定审判的普查而随意设定。从统计文献中,我们总结了克服这种不确定性的两种一般方法--一种是预先指定所有比较时限的非参数方法,另一种是假设所有时间内胜率不变的半参数方法--每种方法都有公开可用的软件和实际案例。最后,我们讨论了尚未解决的难题,如估计值构建和存在并发事件时的推断。
本文章由计算机程序翻译,如有差异,请以英文原文为准。
求助全文
约1分钟内获得全文 求助全文
来源期刊
Clinical Trials
Clinical Trials 医学-医学:研究与实验
CiteScore
4.10
自引率
3.70%
发文量
82
审稿时长
6-12 weeks
期刊介绍: Clinical Trials is dedicated to advancing knowledge on the design and conduct of clinical trials related research methodologies. Covering the design, conduct, analysis, synthesis and evaluation of key methodologies, the journal remains on the cusp of the latest topics, including ethics, regulation and policy impact.
×
引用
GB/T 7714-2015
复制
MLA
复制
APA
复制
导出至
BibTeX EndNote RefMan NoteFirst NoteExpress
×
提示
您的信息不完整,为了账户安全,请先补充。
现在去补充
×
提示
您因"违规操作"
具体请查看互助需知
我知道了
×
提示
确定
请完成安全验证×
copy
已复制链接
快去分享给好友吧!
我知道了
右上角分享
点击右上角分享
0
联系我们:info@booksci.cn Book学术提供免费学术资源搜索服务,方便国内外学者检索中英文文献。致力于提供最便捷和优质的服务体验。 Copyright © 2023 布克学术 All rights reserved.
京ICP备2023020795号-1
ghs 京公网安备 11010802042870号
Book学术文献互助
Book学术文献互助群
群 号:604180095
Book学术官方微信