A smart device application for acute pain service in surgical patients at a tertiary hospital in South Korea: a prospective observational feasibility study.

IF 3.2
Anesthesia and pain medicine Pub Date : 2024-07-01 Epub Date: 2024-07-23 DOI:10.17085/apm.24059
Soo-Hyuk Yoon, Susie Yoon, Da Som Jeong, Minah Lee, Eunju Lee, Young Jae Cho, Ho-Jin Lee
{"title":"A smart device application for acute pain service in surgical patients at a tertiary hospital in South Korea: a prospective observational feasibility study.","authors":"Soo-Hyuk Yoon, Susie Yoon, Da Som Jeong, Minah Lee, Eunju Lee, Young Jae Cho, Ho-Jin Lee","doi":"10.17085/apm.24059","DOIUrl":null,"url":null,"abstract":"<p><strong>Background: </strong>Pain assessment and patient education are essential for successful postoperative pain management. However, the provision of personnel for performing these tasks is often insufficient. Recently, attempts have been made to implement smartphone applications for educating and monitoring surgical patients. We developed a smartphone application (app) for postoperative pain management, and conducted a feasibility study.</p><p><strong>Methods: </strong>This single-center prospective observational study included 60 patients aged < 70 years who underwent elective surgery. This study evaluated the SmartAPS application, which offers tools for postoperative pain assessment and educational materials for pain management. The primary outcome was the active usage rate, defined as responding at least twice daily on postoperative days (PODs) 1 and 2. Additionally, we investigated patient satisfaction with the app and educational videos as well as any challenges encountered during use.</p><p><strong>Results: </strong>Sixty patients were enrolled in the study and active app use was achieved in 56.7% of them. Response rates peaked at 85.0% for pain intensity and 83.3% for opioid-related side effects at 14:00 on POD 1 but dropped to 56.7% and 58.3%, respectively, at 18:00 on POD 2. Among the patients who responded to the survey regarding the app usage, 84.0% reported satisfaction with the app and 80% found it beneficial for managing postoperative pain. Furthermore, 92.0% did not encounter difficulties using the app, indicating a generally positive user experience.</p><p><strong>Conclusions: </strong>Our findings support the utility of the SmartAPS application in acute pain services, highlighting its potential for improving postoperative pain management.</p>","PeriodicalId":101360,"journal":{"name":"Anesthesia and pain medicine","volume":" ","pages":"216-226"},"PeriodicalIF":3.2000,"publicationDate":"2024-07-01","publicationTypes":"Journal Article","fieldsOfStudy":null,"isOpenAccess":false,"openAccessPdf":"https://www.ncbi.nlm.nih.gov/pmc/articles/PMC11317321/pdf/","citationCount":"0","resultStr":null,"platform":"Semanticscholar","paperid":null,"PeriodicalName":"Anesthesia and pain medicine","FirstCategoryId":"1085","ListUrlMain":"https://doi.org/10.17085/apm.24059","RegionNum":0,"RegionCategory":null,"ArticlePicture":[],"TitleCN":null,"AbstractTextCN":null,"PMCID":null,"EPubDate":"2024/7/23 0:00:00","PubModel":"Epub","JCR":"","JCRName":"","Score":null,"Total":0}
引用次数: 0

Abstract

Background: Pain assessment and patient education are essential for successful postoperative pain management. However, the provision of personnel for performing these tasks is often insufficient. Recently, attempts have been made to implement smartphone applications for educating and monitoring surgical patients. We developed a smartphone application (app) for postoperative pain management, and conducted a feasibility study.

Methods: This single-center prospective observational study included 60 patients aged < 70 years who underwent elective surgery. This study evaluated the SmartAPS application, which offers tools for postoperative pain assessment and educational materials for pain management. The primary outcome was the active usage rate, defined as responding at least twice daily on postoperative days (PODs) 1 and 2. Additionally, we investigated patient satisfaction with the app and educational videos as well as any challenges encountered during use.

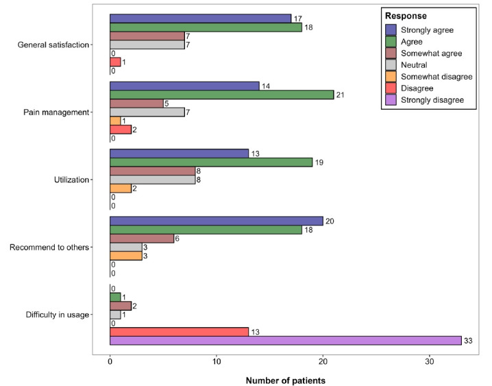
Results: Sixty patients were enrolled in the study and active app use was achieved in 56.7% of them. Response rates peaked at 85.0% for pain intensity and 83.3% for opioid-related side effects at 14:00 on POD 1 but dropped to 56.7% and 58.3%, respectively, at 18:00 on POD 2. Among the patients who responded to the survey regarding the app usage, 84.0% reported satisfaction with the app and 80% found it beneficial for managing postoperative pain. Furthermore, 92.0% did not encounter difficulties using the app, indicating a generally positive user experience.

Conclusions: Our findings support the utility of the SmartAPS application in acute pain services, highlighting its potential for improving postoperative pain management.

Abstract Image

Abstract Image

韩国一家三级医院为外科手术患者提供急性疼痛服务的智能设备应用:前瞻性观察可行性研究。
背景:疼痛评估和患者教育是成功进行术后疼痛管理的关键。然而,执行这些任务的人员往往不足。最近,人们开始尝试使用智能手机应用程序来教育和监测手术患者。我们开发了一款用于术后疼痛管理的智能手机应用程序(App),并进行了可行性研究:这项单中心前瞻性观察研究纳入了 60 名年龄小于 70 岁、接受择期手术的患者。这项研究对 SmartAPS 应用程序进行了评估,该应用程序提供了术后疼痛评估工具和疼痛管理教育材料。主要结果是积极使用率,即在术后第 1 天和第 2 天每天至少回复两次。此外,我们还调查了患者对应用程序和教育视频的满意度,以及在使用过程中遇到的任何挑战:研究共招募了 60 名患者,其中 56.7% 的患者积极使用了应用程序。POD1日14:00时,疼痛强度和阿片类药物相关副作用的回复率分别达到85.0%和83.3%的峰值,但POD2日18:00时,回复率分别降至56.7%和58.3%。在对应用程序使用情况进行的调查中,84.0% 的患者对应用程序表示满意,80% 的患者认为它有利于控制术后疼痛。此外,92.0%的患者在使用应用程序时没有遇到困难,这表明用户体验普遍良好:我们的研究结果支持 SmartAPS 应用程序在急性疼痛服务中的实用性,并强调了它在改善术后疼痛管理方面的潜力。
本文章由计算机程序翻译,如有差异,请以英文原文为准。
求助全文
约1分钟内获得全文 求助全文
来源期刊
CiteScore
2.30
自引率
0.00%
发文量
0
×
引用
GB/T 7714-2015
复制
MLA
复制
APA
复制
导出至
BibTeX EndNote RefMan NoteFirst NoteExpress
×
提示
您的信息不完整,为了账户安全,请先补充。
现在去补充
×
提示
您因"违规操作"
具体请查看互助需知
我知道了
×
提示
确定
请完成安全验证×
copy
已复制链接
快去分享给好友吧!
我知道了
右上角分享
点击右上角分享
0
联系我们:info@booksci.cn Book学术提供免费学术资源搜索服务,方便国内外学者检索中英文文献。致力于提供最便捷和优质的服务体验。 Copyright © 2023 布克学术 All rights reserved.
京ICP备2023020795号-1
ghs 京公网安备 11010802042870号
Book学术文献互助
Book学术文献互助群
群 号:604180095
Book学术官方微信