Comparative Analysis of Machine Learning Models for Prediction of Acute Liver Injury in Sepsis Patients.

IF 0.7 Q3 EMERGENCY MEDICINE
Journal of Emergencies, Trauma, and Shock Pub Date : 2024-04-01 Epub Date: 2024-02-28 DOI:10.4103/jets.jets_73_23
Xiaochi Lu, Yi Chen, Gongping Zhang, Xu Zeng, Linjie Lai, Chaojun Qu
{"title":"Comparative Analysis of Machine Learning Models for Prediction of Acute Liver Injury in Sepsis Patients.","authors":"Xiaochi Lu, Yi Chen, Gongping Zhang, Xu Zeng, Linjie Lai, Chaojun Qu","doi":"10.4103/jets.jets_73_23","DOIUrl":null,"url":null,"abstract":"<p><strong>Introduction: </strong>Acute liver injury (ALI) is a common complication of sepsis and is associated with adverse clinical outcomes. We aimed to develop a model to predict the risk of ALI in patients with sepsis after hospitalization.</p><p><strong>Methods: </strong>Medical records of 3196 septic patients treated at the Lishui Central Hospital in Zhejiang Province from January 2015 to May 2023 were selected. Cohort 1 was divided into ALI and non-ALI groups for model training and internal validation. The initial laboratory test results of the study subjects were used as features for machine learning (ML), and models built using nine different ML algorithms were compared to select the best algorithm and model. The predictive performance of model stacking methods was then explored. The best model was externally validated in Cohort 2.</p><p><strong>Results: </strong>In Cohort 1, LightGBM demonstrated good stability and predictive performance with an area under the curve (AUC) of 0.841. The top five most important variables in the model were diabetes, congestive heart failure, prothrombin time, heart rate, and platelet count. The LightGBM model showed stable and good ALI risk prediction ability in the external validation of Cohort 2 with an AUC of 0.815. Furthermore, an online prediction website was developed to assist healthcare professionals in applying this model more effectively.</p><p><strong>Conclusions: </strong>The Light GBM model can predict the risk of ALI in patients with sepsis after hospitalization.</p>","PeriodicalId":15692,"journal":{"name":"Journal of Emergencies, Trauma, and Shock","volume":"17 2","pages":"91-101"},"PeriodicalIF":0.7000,"publicationDate":"2024-04-01","publicationTypes":"Journal Article","fieldsOfStudy":null,"isOpenAccess":false,"openAccessPdf":"https://www.ncbi.nlm.nih.gov/pmc/articles/PMC11279495/pdf/","citationCount":"0","resultStr":null,"platform":"Semanticscholar","paperid":null,"PeriodicalName":"Journal of Emergencies, Trauma, and Shock","FirstCategoryId":"1085","ListUrlMain":"https://doi.org/10.4103/jets.jets_73_23","RegionNum":0,"RegionCategory":null,"ArticlePicture":[],"TitleCN":null,"AbstractTextCN":null,"PMCID":null,"EPubDate":"2024/2/28 0:00:00","PubModel":"Epub","JCR":"Q3","JCRName":"EMERGENCY MEDICINE","Score":null,"Total":0}
引用次数: 0

Abstract

Introduction: Acute liver injury (ALI) is a common complication of sepsis and is associated with adverse clinical outcomes. We aimed to develop a model to predict the risk of ALI in patients with sepsis after hospitalization.

Methods: Medical records of 3196 septic patients treated at the Lishui Central Hospital in Zhejiang Province from January 2015 to May 2023 were selected. Cohort 1 was divided into ALI and non-ALI groups for model training and internal validation. The initial laboratory test results of the study subjects were used as features for machine learning (ML), and models built using nine different ML algorithms were compared to select the best algorithm and model. The predictive performance of model stacking methods was then explored. The best model was externally validated in Cohort 2.

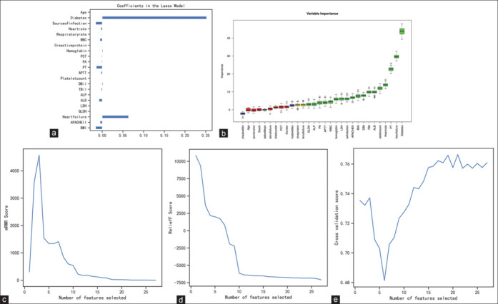
Results: In Cohort 1, LightGBM demonstrated good stability and predictive performance with an area under the curve (AUC) of 0.841. The top five most important variables in the model were diabetes, congestive heart failure, prothrombin time, heart rate, and platelet count. The LightGBM model showed stable and good ALI risk prediction ability in the external validation of Cohort 2 with an AUC of 0.815. Furthermore, an online prediction website was developed to assist healthcare professionals in applying this model more effectively.

Conclusions: The Light GBM model can predict the risk of ALI in patients with sepsis after hospitalization.

Abstract Image

Abstract Image

Abstract Image

预测败血症患者急性肝损伤的机器学习模型比较分析
简介急性肝损伤(ALI)是脓毒症的一种常见并发症,与不良临床结局相关。我们旨在建立一个模型来预测脓毒症患者住院后发生 ALI 的风险:方法:选取 2015 年 1 月至 2023 年 5 月期间在浙江省丽水市中心医院接受治疗的 3196 名脓毒症患者的病历。队列 1 被分为 ALI 组和非 ALI 组,用于模型训练和内部验证。研究对象的初始实验室测试结果被用作机器学习(ML)的特征,通过比较九种不同的 ML 算法建立的模型,选出最佳算法和模型。然后对模型堆叠方法的预测性能进行了探讨。最佳模型在队列 2 中进行了外部验证:在组群 1 中,LightGBM 表现出良好的稳定性和预测性能,曲线下面积 (AUC) 为 0.841。模型中最重要的前五个变量是糖尿病、充血性心力衰竭、凝血酶原时间、心率和血小板计数。在队列 2 的外部验证中,LightGBM 模型显示出稳定而良好的 ALI 风险预测能力,AUC 为 0.815。此外,还开发了一个在线预测网站,以帮助医护人员更有效地应用该模型:结论:轻型 GBM 模型可以预测脓毒症患者住院后发生 ALI 的风险。
本文章由计算机程序翻译,如有差异,请以英文原文为准。
求助全文
约1分钟内获得全文 求助全文
来源期刊
CiteScore
2.90
自引率
7.10%
发文量
52
审稿时长
39 weeks
×
引用
GB/T 7714-2015
复制
MLA
复制
APA
复制
导出至
BibTeX EndNote RefMan NoteFirst NoteExpress
×
提示
您的信息不完整,为了账户安全,请先补充。
现在去补充
×
提示
您因"违规操作"
具体请查看互助需知
我知道了
×
提示
确定
请完成安全验证×
copy
已复制链接
快去分享给好友吧!
我知道了
右上角分享
点击右上角分享
0
联系我们:info@booksci.cn Book学术提供免费学术资源搜索服务,方便国内外学者检索中英文文献。致力于提供最便捷和优质的服务体验。 Copyright © 2023 布克学术 All rights reserved.
京ICP备2023020795号-1
ghs 京公网安备 11010802042870号
Book学术文献互助
Book学术文献互助群
群 号:604180095
Book学术官方微信