Antiviral Activity, Pharmacoinformatics, Molecular Docking, and Dynamics Studies of Azadirachta indica Against Nipah Virus by Targeting Envelope Glycoprotein: Emerging Strategies for Developing Antiviral Treatment.

IF 2.4 Q3 BIOCHEMICAL RESEARCH METHODS
Bioinformatics and Biology Insights Pub Date : 2024-07-27 eCollection Date: 2024-01-01 DOI:10.1177/11779322241264145
Otun Saha, Noimul Hasan Siddiquee, Rahima Akter, Nikkon Sarker, Uditi Paul Bristi, Khandokar Fahmida Sultana, Sm Lutfor Rahman Remon, Afroza Sultana, Tushar Ahmed Shishir, Md Mizanur Rahaman, Firoz Ahmed, Foysal Hossen, Mohammad Ruhul Amin, Mir Salma Akter
{"title":"Antiviral Activity, Pharmacoinformatics, Molecular Docking, and Dynamics Studies of <i>Azadirachta indica</i> Against Nipah Virus by Targeting Envelope Glycoprotein: Emerging Strategies for Developing Antiviral Treatment.","authors":"Otun Saha, Noimul Hasan Siddiquee, Rahima Akter, Nikkon Sarker, Uditi Paul Bristi, Khandokar Fahmida Sultana, Sm Lutfor Rahman Remon, Afroza Sultana, Tushar Ahmed Shishir, Md Mizanur Rahaman, Firoz Ahmed, Foysal Hossen, Mohammad Ruhul Amin, Mir Salma Akter","doi":"10.1177/11779322241264145","DOIUrl":null,"url":null,"abstract":"<p><p>The Nipah virus (NiV) belongs to the <i>Henipavirus</i> genus is a serious public health concern causing numerous outbreaks with higher fatality rate. Unfortunately, there is no effective medication available for NiV. To investigate possible inhibitors of NiV infection, we used in silico techniques to discover treatment candidates in this work. As there are not any approved treatments for NiV infection, the NiV-enveloped attachment glycoprotein was set as target for our study, which is responsible for binding to and entering host cells. Our in silico drug design approach included molecular docking, post-docking molecular mechanism generalised born surface area (MM-GBSA), absorption, distribution, metabolism, excretion/toxicity (ADME/T), and molecular dynamics (MD) simulations. We retrieved 418 phytochemicals associated with the neem plant (<i>Azadirachta indica</i>) from the IMPPAT database, and molecular docking was used to ascertain the compounds' binding strength. The top 3 phytochemicals with binding affinities of -7.118, -7.074, and -6.894 kcal/mol for CIDs 5280343, 9064, and 5280863, respectively, were selected for additional study based on molecular docking. The post-docking MM-GBSA of those 3 compounds was -47.56, -47.3, and -43.15 kcal/mol, respectively. As evidence of their efficacy and safety, all the chosen drugs had favorable toxicological and pharmacokinetic (Pk) qualities. We also performed MD simulations to confirm the stability of the ligand-protein complex structures and determine whether the selected compounds are stable at the protein binding site. All 3 phytochemicals, Quercetin (CID: 5280343), Cianidanol (CID: 9064), and Kaempferol (CID: 5280863), appeared to have outstanding binding stability to the target protein than control ribavirin, according to the molecular docking, MM-GBSA, and MD simulation outcomes. Overall, this work offers a viable approach to developing novel medications for treating NiV infection.</p>","PeriodicalId":9065,"journal":{"name":"Bioinformatics and Biology Insights","volume":"18 ","pages":"11779322241264145"},"PeriodicalIF":2.4000,"publicationDate":"2024-07-27","publicationTypes":"Journal Article","fieldsOfStudy":null,"isOpenAccess":false,"openAccessPdf":"https://www.ncbi.nlm.nih.gov/pmc/articles/PMC11283663/pdf/","citationCount":"0","resultStr":null,"platform":"Semanticscholar","paperid":null,"PeriodicalName":"Bioinformatics and Biology Insights","FirstCategoryId":"1085","ListUrlMain":"https://doi.org/10.1177/11779322241264145","RegionNum":0,"RegionCategory":null,"ArticlePicture":[],"TitleCN":null,"AbstractTextCN":null,"PMCID":null,"EPubDate":"2024/1/1 0:00:00","PubModel":"eCollection","JCR":"Q3","JCRName":"BIOCHEMICAL RESEARCH METHODS","Score":null,"Total":0}
引用次数: 0

Abstract

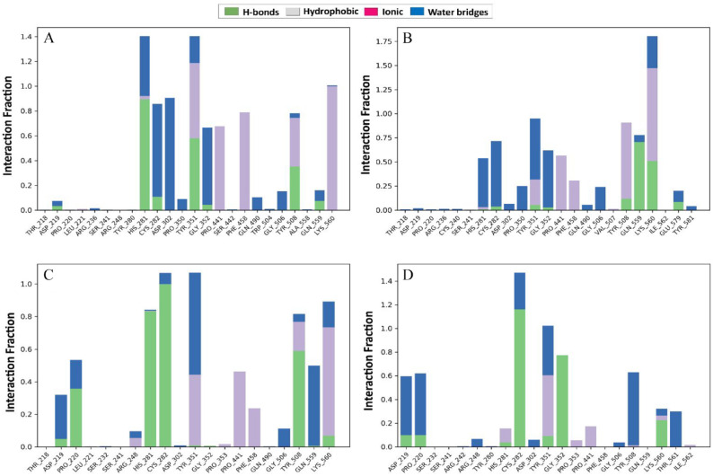
The Nipah virus (NiV) belongs to the Henipavirus genus is a serious public health concern causing numerous outbreaks with higher fatality rate. Unfortunately, there is no effective medication available for NiV. To investigate possible inhibitors of NiV infection, we used in silico techniques to discover treatment candidates in this work. As there are not any approved treatments for NiV infection, the NiV-enveloped attachment glycoprotein was set as target for our study, which is responsible for binding to and entering host cells. Our in silico drug design approach included molecular docking, post-docking molecular mechanism generalised born surface area (MM-GBSA), absorption, distribution, metabolism, excretion/toxicity (ADME/T), and molecular dynamics (MD) simulations. We retrieved 418 phytochemicals associated with the neem plant (Azadirachta indica) from the IMPPAT database, and molecular docking was used to ascertain the compounds' binding strength. The top 3 phytochemicals with binding affinities of -7.118, -7.074, and -6.894 kcal/mol for CIDs 5280343, 9064, and 5280863, respectively, were selected for additional study based on molecular docking. The post-docking MM-GBSA of those 3 compounds was -47.56, -47.3, and -43.15 kcal/mol, respectively. As evidence of their efficacy and safety, all the chosen drugs had favorable toxicological and pharmacokinetic (Pk) qualities. We also performed MD simulations to confirm the stability of the ligand-protein complex structures and determine whether the selected compounds are stable at the protein binding site. All 3 phytochemicals, Quercetin (CID: 5280343), Cianidanol (CID: 9064), and Kaempferol (CID: 5280863), appeared to have outstanding binding stability to the target protein than control ribavirin, according to the molecular docking, MM-GBSA, and MD simulation outcomes. Overall, this work offers a viable approach to developing novel medications for treating NiV infection.

Abstract Image

Abstract Image

Abstract Image

以包膜糖蛋白为靶点的 Azadirachta indica 对尼帕病毒的抗病毒活性、药物信息学、分子对接和动力学研究:开发抗病毒治疗的新策略。
尼帕病毒(Nipah virus,NiV)属于母鸡病毒属,是一种严重危害公众健康的病毒,曾多次爆发,死亡率较高。遗憾的是,目前还没有针对尼帕病毒的有效药物。为了研究可能的NiV感染抑制剂,我们在这项工作中使用了硅学技术来发现候选治疗药物。由于目前还没有任何针对NiV感染的获批治疗药物,我们将NiV包裹的附着糖蛋白作为研究目标,该糖蛋白负责与宿主细胞结合并进入宿主细胞。我们的硅学药物设计方法包括分子对接、对接后分子机制广义出生表面积(MM-GBSA)、吸收、分布、代谢、排泄/毒性(ADME/T)和分子动力学(MD)模拟。我们从 IMPPAT 数据库中检索了 418 种与印楝植物(Azadirachta indica)相关的植物化学物质,并通过分子对接来确定化合物的结合强度。根据分子对接结果,选出了 CID 分别为 5280343、9064 和 5280863、结合亲和力分别为-7.118、-7.074 和 -6.894 kcal/mol 的前 3 种植物化学物质进行进一步研究。这 3 种化合物的对接后 MM-GBSA 分别为-47.56、-47.3 和-43.15 kcal/mol。所有被选中的药物都具有良好的毒理学和药代动力学(Pk)特性,这证明了它们的有效性和安全性。我们还进行了 MD 模拟,以确认配体-蛋白质复合物结构的稳定性,并确定所选化合物在蛋白质结合位点是否稳定。根据分子对接、MM-GBSA 和 MD 模拟结果,槲皮素(CID:5280343)、杉木醇(CID:9064)和山柰醇(CID:5280863)这三种植物化学物质与靶蛋白的结合稳定性似乎都比对照组利巴韦林出色。总之,这项工作为开发治疗 NiV 感染的新型药物提供了一种可行的方法。
本文章由计算机程序翻译,如有差异,请以英文原文为准。
求助全文
约1分钟内获得全文 求助全文
来源期刊
Bioinformatics and Biology Insights
Bioinformatics and Biology Insights BIOCHEMICAL RESEARCH METHODS-
CiteScore
6.80
自引率
1.70%
发文量
36
审稿时长
8 weeks
期刊介绍: Bioinformatics and Biology Insights is an open access, peer-reviewed journal that considers articles on bioinformatics methods and their applications which must pertain to biological insights. All papers should be easily amenable to biologists and as such help bridge the gap between theories and applications.
×
引用
GB/T 7714-2015
复制
MLA
复制
APA
复制
导出至
BibTeX EndNote RefMan NoteFirst NoteExpress
×
提示
您的信息不完整,为了账户安全,请先补充。
现在去补充
×
提示
您因"违规操作"
具体请查看互助需知
我知道了
×
提示
确定
请完成安全验证×
copy
已复制链接
快去分享给好友吧!
我知道了
右上角分享
点击右上角分享
0
联系我们:info@booksci.cn Book学术提供免费学术资源搜索服务,方便国内外学者检索中英文文献。致力于提供最便捷和优质的服务体验。 Copyright © 2023 布克学术 All rights reserved.
京ICP备2023020795号-1
ghs 京公网安备 11010802042870号
Book学术文献互助
Book学术文献互助群
群 号:604180095
Book学术官方微信