Unveiling the Significance of NCAP Family Genes in Adrenocortical Carcinoma and Adenoma Pathogenesis: A Molecular Bioinformatics Exploration.

IF 2.5 Q2 MATHEMATICAL & COMPUTATIONAL BIOLOGY
Cancer Informatics Pub Date : 2024-06-23 eCollection Date: 2024-01-01 DOI:10.1177/11769351241262211
Mahshid Arastonejad, Daniyal Arab, Somayeh Fatemi, Pezhman Golshanrad
{"title":"Unveiling the Significance of NCAP Family Genes in Adrenocortical Carcinoma and Adenoma Pathogenesis: A Molecular Bioinformatics Exploration.","authors":"Mahshid Arastonejad, Daniyal Arab, Somayeh Fatemi, Pezhman Golshanrad","doi":"10.1177/11769351241262211","DOIUrl":null,"url":null,"abstract":"<p><strong>Objectives: </strong>Adrenocortical carcinoma (ACC), a rare and aggressive adrenal cortex cancer, poses significant challenges due to high mortality, poor prognosis, and early post-surgery recurrence. Variability in survival across ACC stages emphasizes the need to uncover its molecular underpinnings. Adrenocortical adenoma, a benign tumor, adds to diagnostic challenges, highlighting the necessity for molecular insights. The Non-SMC Associated Condensin Complex (NCAP) gene family, recognized for roles in chromosomal structure and cell cycle control. This study focuses on evaluating NCAP gene functions and importance in ACC through gene expression profiling to identify diagnostic and therapeutic targets.</p><p><strong>Methods: </strong>Microarray datasets from ACC patients, obtained from the Gene Expression Omnibus database, were normalized to eliminate batch effects. Differential expression analysis of NCAP family genes, facilitated by the GEPIA2 database, included survival and pathological stage evaluations. A Protein-Protein Interaction network was constructed using GeneMANIA, and additional insights were gained through Gene Ontology enrichment analysis, correlation analysis, and ROC curve analysis.</p><p><strong>Results: </strong>ACC samples exhibited elevated levels of NCAPG, NCAPG2, and NCAPH compared to normal and adenoma samples. Increased expression of these genes correlated with poor overall survival, particularly in advanced disease stages. The Protein-Protein Interaction network highlighted interactions with related proteins, and Gene Ontology enrichment analysis demonstrated their involvement in chromosomal structure and control. Differentially expressed NCAP genes showed positive associations, and ROC curve analysis indicated their high discriminatory power in identifying ACC from adenoma and normal samples.</p><p><strong>Conclusion: </strong>The study emphasizes the potential importance of NCAPG, NCAPG2, and NCAPH in ACC, suggesting roles in tumor aggressiveness and diagnostic relevance. These genes could serve as therapeutic targets and markers for ACC, but further exploration into their molecular activities and validation studies is imperative to fully harness their diagnostic and therapeutic potential, advancing precision medicine approaches against this rare but lethal malignancy.</p>","PeriodicalId":35418,"journal":{"name":"Cancer Informatics","volume":"23 ","pages":"11769351241262211"},"PeriodicalIF":2.5000,"publicationDate":"2024-06-23","publicationTypes":"Journal Article","fieldsOfStudy":null,"isOpenAccess":false,"openAccessPdf":"https://www.ncbi.nlm.nih.gov/pmc/articles/PMC11265250/pdf/","citationCount":"0","resultStr":null,"platform":"Semanticscholar","paperid":null,"PeriodicalName":"Cancer Informatics","FirstCategoryId":"1085","ListUrlMain":"https://doi.org/10.1177/11769351241262211","RegionNum":0,"RegionCategory":null,"ArticlePicture":[],"TitleCN":null,"AbstractTextCN":null,"PMCID":null,"EPubDate":"2024/1/1 0:00:00","PubModel":"eCollection","JCR":"Q2","JCRName":"MATHEMATICAL & COMPUTATIONAL BIOLOGY","Score":null,"Total":0}
引用次数: 0

Abstract

Objectives: Adrenocortical carcinoma (ACC), a rare and aggressive adrenal cortex cancer, poses significant challenges due to high mortality, poor prognosis, and early post-surgery recurrence. Variability in survival across ACC stages emphasizes the need to uncover its molecular underpinnings. Adrenocortical adenoma, a benign tumor, adds to diagnostic challenges, highlighting the necessity for molecular insights. The Non-SMC Associated Condensin Complex (NCAP) gene family, recognized for roles in chromosomal structure and cell cycle control. This study focuses on evaluating NCAP gene functions and importance in ACC through gene expression profiling to identify diagnostic and therapeutic targets.

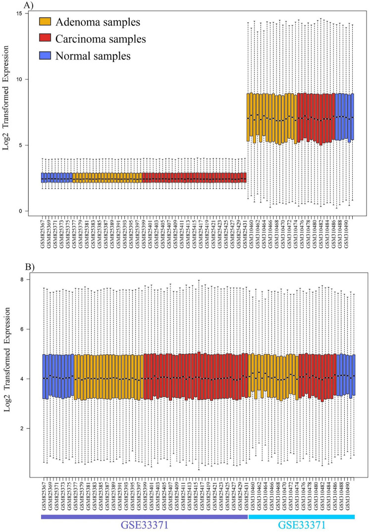
Methods: Microarray datasets from ACC patients, obtained from the Gene Expression Omnibus database, were normalized to eliminate batch effects. Differential expression analysis of NCAP family genes, facilitated by the GEPIA2 database, included survival and pathological stage evaluations. A Protein-Protein Interaction network was constructed using GeneMANIA, and additional insights were gained through Gene Ontology enrichment analysis, correlation analysis, and ROC curve analysis.

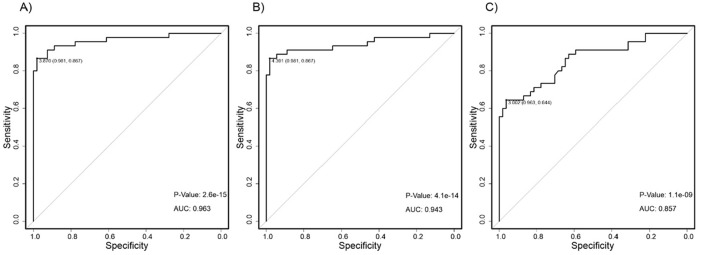
Results: ACC samples exhibited elevated levels of NCAPG, NCAPG2, and NCAPH compared to normal and adenoma samples. Increased expression of these genes correlated with poor overall survival, particularly in advanced disease stages. The Protein-Protein Interaction network highlighted interactions with related proteins, and Gene Ontology enrichment analysis demonstrated their involvement in chromosomal structure and control. Differentially expressed NCAP genes showed positive associations, and ROC curve analysis indicated their high discriminatory power in identifying ACC from adenoma and normal samples.

Conclusion: The study emphasizes the potential importance of NCAPG, NCAPG2, and NCAPH in ACC, suggesting roles in tumor aggressiveness and diagnostic relevance. These genes could serve as therapeutic targets and markers for ACC, but further exploration into their molecular activities and validation studies is imperative to fully harness their diagnostic and therapeutic potential, advancing precision medicine approaches against this rare but lethal malignancy.

Abstract Image

Abstract Image

Abstract Image

揭示 NCAP 家族基因在肾上腺皮质癌和腺瘤发病机制中的意义:分子生物信息学探索。
目的:肾上腺皮质癌(ACC)是一种罕见的侵袭性肾上腺皮质癌,由于死亡率高、预后差和术后早期复发,给研究带来了巨大挑战。肾上腺皮质癌各期生存率的差异强调了揭示其分子基础的必要性。肾上腺皮质腺瘤是一种良性肿瘤,它给诊断带来了更多挑战,凸显了分子研究的必要性。非 SMC 相关凝集素复合物(NCAP)基因家族在染色体结构和细胞周期控制方面的作用已得到公认。本研究的重点是通过基因表达谱分析评估NCAP基因在ACC中的功能和重要性,以确定诊断和治疗靶点:方法:从基因表达总库(Gene Expression Omnibus)数据库中获取ACC患者的微阵列数据集,并对其进行归一化处理以消除批次效应。通过GEPIA2数据库对NCAP家族基因进行差异表达分析,包括生存期和病理分期评估。利用GeneMANIA构建了蛋白质-蛋白质相互作用网络,并通过基因本体富集分析、相关性分析和ROC曲线分析获得了更多的见解:与正常样本和腺瘤样本相比,ACC样本中的NCAPG、NCAPG2和NCAPH水平升高。这些基因表达的增加与总生存率低有关,尤其是在疾病晚期。蛋白-蛋白相互作用网络强调了与相关蛋白的相互作用,基因本体富集分析表明这些基因参与了染色体结构和控制。差异表达的NCAP基因显示了正相关性,ROC曲线分析表明它们在从腺瘤和正常样本中鉴别ACC方面具有很高的鉴别力:该研究强调了 NCAPG、NCAPG2 和 NCAPH 在 ACC 中的潜在重要性,表明它们在肿瘤侵袭性和诊断相关性中的作用。这些基因可作为 ACC 的治疗靶点和标记物,但要充分利用它们的诊断和治疗潜力,推进针对这种罕见但致命的恶性肿瘤的精准医疗方法,进一步探索它们的分子活动和验证研究势在必行。
本文章由计算机程序翻译,如有差异,请以英文原文为准。
求助全文
约1分钟内获得全文 求助全文
来源期刊
Cancer Informatics
Cancer Informatics Medicine-Oncology
CiteScore
3.00
自引率
5.00%
发文量
30
审稿时长
8 weeks
期刊介绍: The field of cancer research relies on advances in many other disciplines, including omics technology, mass spectrometry, radio imaging, computer science, and biostatistics. Cancer Informatics provides open access to peer-reviewed high-quality manuscripts reporting bioinformatics analysis of molecular genetics and/or clinical data pertaining to cancer, emphasizing the use of machine learning, artificial intelligence, statistical algorithms, advanced imaging techniques, data visualization, and high-throughput technologies. As the leading journal dedicated exclusively to the report of the use of computational methods in cancer research and practice, Cancer Informatics leverages methodological improvements in systems biology, genomics, proteomics, metabolomics, and molecular biochemistry into the fields of cancer detection, treatment, classification, risk-prediction, prevention, outcome, and modeling.
×
引用
GB/T 7714-2015
复制
MLA
复制
APA
复制
导出至
BibTeX EndNote RefMan NoteFirst NoteExpress
×
提示
您的信息不完整,为了账户安全,请先补充。
现在去补充
×
提示
您因"违规操作"
具体请查看互助需知
我知道了
×
提示
确定
请完成安全验证×
copy
已复制链接
快去分享给好友吧!
我知道了
右上角分享
点击右上角分享
0
联系我们:info@booksci.cn Book学术提供免费学术资源搜索服务,方便国内外学者检索中英文文献。致力于提供最便捷和优质的服务体验。 Copyright © 2023 布克学术 All rights reserved.
京ICP备2023020795号-1
ghs 京公网安备 11010802042870号
Book学术文献互助
Book学术文献互助群
群 号:604180095
Book学术官方微信