A bioinformatics approach of specificity protein transcription factors in head and neck squamous cell carcinoma.

IF 2.1 Q3 CHEMISTRY, MEDICINAL
Research in Pharmaceutical Sciences Pub Date : 2024-07-01 eCollection Date: 2024-06-01 DOI:10.4103/RPS.RPS_171_23
Adel Rezvani Sichani, Ziba Rezvani Sichani, Behnaz Yazdani, Mehdi Azizmohammad Looha, Hajar Sirous
{"title":"A bioinformatics approach of specificity protein transcription factors in head and neck squamous cell carcinoma.","authors":"Adel Rezvani Sichani, Ziba Rezvani Sichani, Behnaz Yazdani, Mehdi Azizmohammad Looha, Hajar Sirous","doi":"10.4103/RPS.RPS_171_23","DOIUrl":null,"url":null,"abstract":"<p><strong>Background and purpose: </strong>The seventh most common type of cancer with increasing diagnosis rates around the world is head and neck squamous cell carcinoma (HNSCC). Specificity proteins (SPs) have been known for their role in the regulation of cellular division, growth, and apoptotic pathways in various cancers. In this work, we analyzed the expression levels of SPs in HNSCC to assess their diagnostic and prognostic biomarker potential.</p><p><strong>Experimental approach: </strong>Differential gene expression and correlation analysis methods were used to determine the top dysregulated genes in HNSCC. Functional enrichment and protein-protein interaction analyses were done with the DAVID database and Cytoscape software to understand their function and biological processes. Receiver operating test, logistic regression, and Cox regression analyses were performed to check SP genes' diagnostic and prognostic potential.</p><p><strong>Findings/results: </strong>SP1 (LogFC = -0.27, <i>P</i> = 0.0013) and SP2 (LogFC = -0.20, <i>P</i> = 0.0019) genes were upregulated in HNSCC samples, while SP8 (LogFC = 2.57, <i>P</i> < 0.001) and SP9 (LogFC = 2.57, <i>P</i> < 0.001) genes were downregulated in cancer samples. A moderate positive correlation was observed among the expression levels of SP1, SP2, and SP3 genes. The SP8 and SP9 genes with AUC values of 0.79 and 0.75 demonstrated diagnostic potential which increased to 0.84 when both genes were assessed by logistic regression test. Also, the SP1 gene held a marginally significant prognostic potential.</p><p><strong>Conclusion and implications: </strong>Our findings clarify the potential of SP transcription factors as candidate diagnostic and prognostic biomarkers for early screening and treatment of HNSCC.</p>","PeriodicalId":21075,"journal":{"name":"Research in Pharmaceutical Sciences","volume":"19 3","pages":"287-302"},"PeriodicalIF":2.1000,"publicationDate":"2024-07-01","publicationTypes":"Journal Article","fieldsOfStudy":null,"isOpenAccess":false,"openAccessPdf":"https://www.ncbi.nlm.nih.gov/pmc/articles/PMC11257197/pdf/","citationCount":"0","resultStr":null,"platform":"Semanticscholar","paperid":null,"PeriodicalName":"Research in Pharmaceutical Sciences","FirstCategoryId":"1085","ListUrlMain":"https://doi.org/10.4103/RPS.RPS_171_23","RegionNum":0,"RegionCategory":null,"ArticlePicture":[],"TitleCN":null,"AbstractTextCN":null,"PMCID":null,"EPubDate":"2024/6/1 0:00:00","PubModel":"eCollection","JCR":"Q3","JCRName":"CHEMISTRY, MEDICINAL","Score":null,"Total":0}
引用次数: 0

Abstract

Background and purpose: The seventh most common type of cancer with increasing diagnosis rates around the world is head and neck squamous cell carcinoma (HNSCC). Specificity proteins (SPs) have been known for their role in the regulation of cellular division, growth, and apoptotic pathways in various cancers. In this work, we analyzed the expression levels of SPs in HNSCC to assess their diagnostic and prognostic biomarker potential.

Experimental approach: Differential gene expression and correlation analysis methods were used to determine the top dysregulated genes in HNSCC. Functional enrichment and protein-protein interaction analyses were done with the DAVID database and Cytoscape software to understand their function and biological processes. Receiver operating test, logistic regression, and Cox regression analyses were performed to check SP genes' diagnostic and prognostic potential.

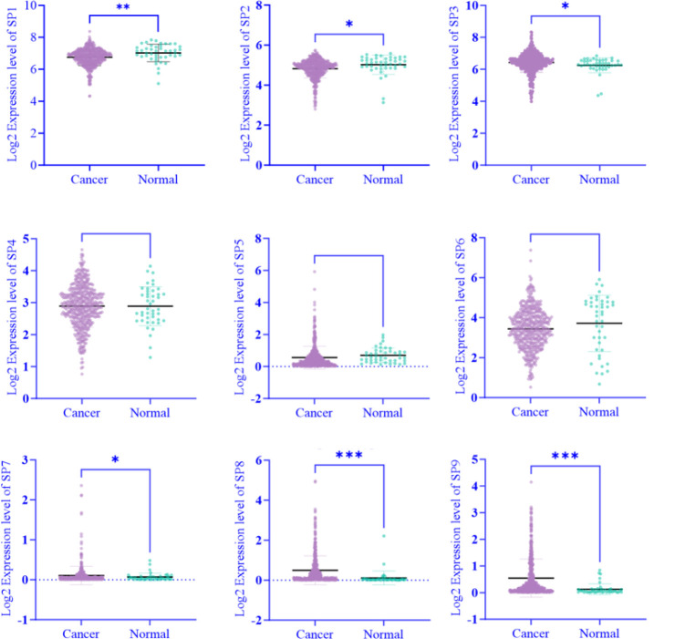
Findings/results: SP1 (LogFC = -0.27, P = 0.0013) and SP2 (LogFC = -0.20, P = 0.0019) genes were upregulated in HNSCC samples, while SP8 (LogFC = 2.57, P < 0.001) and SP9 (LogFC = 2.57, P < 0.001) genes were downregulated in cancer samples. A moderate positive correlation was observed among the expression levels of SP1, SP2, and SP3 genes. The SP8 and SP9 genes with AUC values of 0.79 and 0.75 demonstrated diagnostic potential which increased to 0.84 when both genes were assessed by logistic regression test. Also, the SP1 gene held a marginally significant prognostic potential.

Conclusion and implications: Our findings clarify the potential of SP transcription factors as candidate diagnostic and prognostic biomarkers for early screening and treatment of HNSCC.

Abstract Image

Abstract Image

Abstract Image

头颈部鳞状细胞癌特异性蛋白转录因子的生物信息学方法。
背景和目的:头颈部鳞状细胞癌(HNSCC)是全球第七大常见癌症类型,其诊断率不断上升。特异性蛋白(SPs)因其在各种癌症的细胞分裂、生长和凋亡途径的调控中发挥作用而为人所知。在这项工作中,我们分析了 SPs 在 HNSCC 中的表达水平,以评估其诊断和预后生物标志物的潜力:实验方法:采用差异基因表达和相关性分析方法确定 HNSCC 中的顶级失调基因。利用 DAVID 数据库和 Cytoscape 软件进行功能富集和蛋白质相互作用分析,以了解其功能和生物学过程。通过接收者操作检验、逻辑回归和 Cox 回归分析来检验 SP 基因的诊断和预后潜力:SP1(LogFC = -0.27,P = 0.0013)和SP2(LogFC = -0.20,P = 0.0019)基因在HNSCC样本中上调,而SP8(LogFC = 2.57,P < 0.001)和SP9(LogFC = 2.57,P < 0.001)基因在癌症样本中下调。SP1、SP2和SP3基因的表达水平呈中度正相关。SP8和SP9基因的AUC值分别为0.79和0.75,具有诊断潜力。此外,SP1 基因在预后方面的潜力也略有显著性:我们的研究结果阐明了 SP 转录因子作为 HNSCC 早期筛查和治疗的候选诊断和预后生物标志物的潜力。
本文章由计算机程序翻译,如有差异,请以英文原文为准。
求助全文
约1分钟内获得全文 求助全文
来源期刊
Research in Pharmaceutical Sciences
Research in Pharmaceutical Sciences CHEMISTRY, MEDICINAL-
CiteScore
3.60
自引率
19.00%
发文量
50
审稿时长
34 weeks
期刊介绍: Research in Pharmaceutical Sciences (RPS) is included in Thomson Reuters ESCI Web of Science (searchable at WoS master journal list), indexed with PubMed and PubMed Central and abstracted in the Elsevier Bibliographic Databases. Databases include Scopus, EMBASE, EMCare, EMBiology and Elsevier BIOBASE. It is also indexed in several specialized databases including Scientific Information Database (SID), Google Scholar, Iran Medex, Magiran, Index Copernicus (IC) and Islamic World Science Citation Center (ISC).
×
引用
GB/T 7714-2015
复制
MLA
复制
APA
复制
导出至
BibTeX EndNote RefMan NoteFirst NoteExpress
×
提示
您的信息不完整,为了账户安全,请先补充。
现在去补充
×
提示
您因"违规操作"
具体请查看互助需知
我知道了
×
提示
确定
请完成安全验证×
copy
已复制链接
快去分享给好友吧!
我知道了
右上角分享
点击右上角分享
0
联系我们:info@booksci.cn Book学术提供免费学术资源搜索服务,方便国内外学者检索中英文文献。致力于提供最便捷和优质的服务体验。 Copyright © 2023 布克学术 All rights reserved.
京ICP备2023020795号-1
ghs 京公网安备 11010802042870号
Book学术文献互助
Book学术文献互助群
群 号:604180095
Book学术官方微信