Periodontal Disease in Patients with Ischemic Stroke - an Exploratory Study.

IF 1.8 Q3 DENTISTRY, ORAL SURGERY & MEDICINE
Vedran Radujković, Arijana Lovrenčić-Huzjan, Ivan Puhar
{"title":"Periodontal Disease in Patients with Ischemic Stroke - an Exploratory Study.","authors":"Vedran Radujković, Arijana Lovrenčić-Huzjan, Ivan Puhar","doi":"10.15644/asc58/2/1","DOIUrl":null,"url":null,"abstract":"<p><strong>Objective: </strong>The aim of this study was to assess the periodontal disease parameters in patients with ischemic stroke.</p><p><strong>Materials and methods: </strong>The study included 21 patients with ischemic brain stroke and a control group that was matched in number, age, and gender. All participants underwent a standard periodontal examination. The inclusion criterion of this study was the presence of at least 15 teeth. Periodontal epithelial surface area, periodontal inflamed surface area (PISA), and periodontal disease stage were determined. All participants were given a questionnaire to determine oral health-related quality of life (OHQL). Stroke risk factors were assessed.</p><p><strong>Results: </strong>Stroke patients had a significantly higher OHQL score than the control group (20.81 vs. 12.57) and a full-mouth plaque score (FMPS, 27.57 vs. 16.83), while full-mouth bleeding score (FMBS) was significantly higher in the control group than in the hospital group (10.17 vs. 6.42). For PISA, statistically significant negative correlations were found for smoking, cholesterol levels, and LDL levels, while significant positive correlations were found for FMBS, clinical attachment level and probing depth.</p><p><strong>Conclusion: </strong>Although PISA does represent the amount of periodontal tissue that is inflamed, tooth loss due to advanced periodontal disease combined with oral hygiene limitations imposed by the hospital setting and the stroke recovery process remain the most significant obstacles for a more meaningful understanding of the data represented by specific clinical, laboratory and various demographic parameters that characterize the two diseases.</p>","PeriodicalId":7154,"journal":{"name":"Acta Stomatologica Croatica","volume":"58 2","pages":"110-122"},"PeriodicalIF":1.8000,"publicationDate":"2024-06-01","publicationTypes":"Journal Article","fieldsOfStudy":null,"isOpenAccess":false,"openAccessPdf":"https://www.ncbi.nlm.nih.gov/pmc/articles/PMC11256875/pdf/","citationCount":"0","resultStr":null,"platform":"Semanticscholar","paperid":null,"PeriodicalName":"Acta Stomatologica Croatica","FirstCategoryId":"1085","ListUrlMain":"https://doi.org/10.15644/asc58/2/1","RegionNum":0,"RegionCategory":null,"ArticlePicture":[],"TitleCN":null,"AbstractTextCN":null,"PMCID":null,"EPubDate":"","PubModel":"","JCR":"Q3","JCRName":"DENTISTRY, ORAL SURGERY & MEDICINE","Score":null,"Total":0}
引用次数: 0

Abstract

Objective: The aim of this study was to assess the periodontal disease parameters in patients with ischemic stroke.

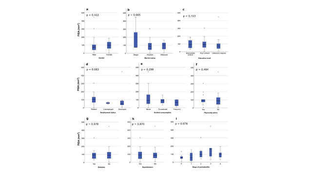
Materials and methods: The study included 21 patients with ischemic brain stroke and a control group that was matched in number, age, and gender. All participants underwent a standard periodontal examination. The inclusion criterion of this study was the presence of at least 15 teeth. Periodontal epithelial surface area, periodontal inflamed surface area (PISA), and periodontal disease stage were determined. All participants were given a questionnaire to determine oral health-related quality of life (OHQL). Stroke risk factors were assessed.

Results: Stroke patients had a significantly higher OHQL score than the control group (20.81 vs. 12.57) and a full-mouth plaque score (FMPS, 27.57 vs. 16.83), while full-mouth bleeding score (FMBS) was significantly higher in the control group than in the hospital group (10.17 vs. 6.42). For PISA, statistically significant negative correlations were found for smoking, cholesterol levels, and LDL levels, while significant positive correlations were found for FMBS, clinical attachment level and probing depth.

Conclusion: Although PISA does represent the amount of periodontal tissue that is inflamed, tooth loss due to advanced periodontal disease combined with oral hygiene limitations imposed by the hospital setting and the stroke recovery process remain the most significant obstacles for a more meaningful understanding of the data represented by specific clinical, laboratory and various demographic parameters that characterize the two diseases.

Abstract Image

Abstract Image

Abstract Image

缺血性中风患者的牙周病--一项探索性研究
目的:本研究旨在评估缺血性脑卒中患者的牙周病参数:本研究旨在评估缺血性脑卒中患者的牙周病参数:研究对象包括 21 名缺血性脑卒中患者,以及人数、年龄和性别相匹配的对照组。所有参与者均接受了标准牙周检查。本研究的纳入标准是至少有 15 颗牙齿。对牙周上皮表面积、牙周炎症表面积(PISA)和牙周疾病分期进行了测定。所有参与者都接受了一份调查问卷,以确定与口腔健康相关的生活质量(OHQL)。对中风风险因素进行了评估:结果:中风患者的口腔健康相关生活质量评分(OHQL)(20.81 分对 12.57 分)和全口牙菌斑评分(FMPS,27.57 分对 16.83 分)明显高于对照组,而对照组的全口出血评分(FMBS)明显高于医院组(10.17 分对 6.42 分)。就 PISA 而言,吸烟、胆固醇水平和低密度脂蛋白水平存在统计学意义上的显著负相关,而 FMBS、临床附着水平和探诊深度存在显著正相关:虽然 PISA 确实代表了发炎的牙周组织的数量,但由于晚期牙周病导致的牙齿脱落,加上医院环境和中风恢复过程中的口腔卫生限制,仍然是更有意义地理解这两种疾病的特定临床、实验室和各种人口学参数所代表的数据的最大障碍。
本文章由计算机程序翻译,如有差异,请以英文原文为准。
求助全文
约1分钟内获得全文 求助全文
来源期刊
Acta Stomatologica Croatica
Acta Stomatologica Croatica DENTISTRY, ORAL SURGERY & MEDICINE-
CiteScore
2.40
自引率
28.60%
发文量
32
审稿时长
12 weeks
期刊介绍: The Acta Stomatologica Croatica (ASCRO) is a leading scientific non-profit journal in the field of dental, oral and cranio-facial sciences during the past 44 years in Croatia. ASCRO publishes original scientific and clinical papers, preliminary communications, case reports, book reviews, letters to the editor and news. Review articles are published by invitation from the Editor-in-Chief by acclaimed professionals in distinct fields of dental medicine. All manuscripts are subjected to peer review process.
×
引用
GB/T 7714-2015
复制
MLA
复制
APA
复制
导出至
BibTeX EndNote RefMan NoteFirst NoteExpress
×
提示
您的信息不完整,为了账户安全,请先补充。
现在去补充
×
提示
您因"违规操作"
具体请查看互助需知
我知道了
×
提示
确定
请完成安全验证×
copy
已复制链接
快去分享给好友吧!
我知道了
右上角分享
点击右上角分享
0
联系我们:info@booksci.cn Book学术提供免费学术资源搜索服务,方便国内外学者检索中英文文献。致力于提供最便捷和优质的服务体验。 Copyright © 2023 布克学术 All rights reserved.
京ICP备2023020795号-1
ghs 京公网安备 11010802042870号
Book学术文献互助
Book学术文献互助群
群 号:604180095
Book学术官方微信