The Tumor Risk Score (TRS) - next level risk prediction in head and neck tumor surgery.

IF 1.8 Q3 DENTISTRY, ORAL SURGERY & MEDICINE
Anne Klausing, Kristina Waschk, Frederick Far, Markus Martini, Franz-Josef Kramer
{"title":"The Tumor Risk Score (TRS) - next level risk prediction in head and neck tumor surgery.","authors":"Anne Klausing, Kristina Waschk, Frederick Far, Markus Martini, Franz-Josef Kramer","doi":"10.1007/s10006-024-01281-8","DOIUrl":null,"url":null,"abstract":"<p><strong>Purpose: </strong>Head and neck cancer surgery often requires postoperative monitoring in an intensive care unit (ICU) or intermediate care unit (IMC). With a variety of different risk scores, it is incumbent upon the investigator to plan a risk-adapted allocation of resources. Tumor surgery in the head and neck region itself offers a wide range of procedures in terms of resection extent and reconstruction methods, which can be stratified only vaguely by a cross-disciplinary score. Facing a variety of different risk scores we aimed to develop a new Tumor Risk Score (TRS) enabling anterograde preoperative risk evaluation, resource allocation and optimization of cost and outcome measurements in tumor surgery of the head and neck.</p><p><strong>Methods: </strong>A collective of 547 patients (2010-2021) with intraoral tumors was studied to develop the TRS by grading the preoperative tumor size and location as well as the invasiveness of the planned surgery by means of statistical modeling. Two postoperative complications were defined: (1) prolonged postoperative stay in IMC/ICU and (2) prolonged total length of stay (LOS). Each parameter was analyzed using TRS and all preoperative patient parameters (age, sex, preoperative hemoglobin, body-mass-index, preexisting medical conditions) using predictive modeling design. Established risk scores (Charlson Comorbidity Index (CCI), American Society of Anesthesiologists risk classification (ASA), Functional Comorbidity Index (FCI)) and Patient Clinical Complexity Level (PCCL) were used as benchmarks for model performance of the TRS.</p><p><strong>Results: </strong>The TRS is significantly correlated with surgery duration (p < 0.001) and LOS (p = 0.001). With every increase in TRS, LOS rises by 9.3% (95%CI 4.7-13.9; p < 0.001) or 1.9 days (95%CI 1.0-2.8; p < 0.001), respectively. For each increase in TRS, the LOS in IMC/ICU wards increases by 0.33 days (95%CI 0.12-0.54; p = 0.002), and the probability of an overall prolonged IMC/ICU stay increased by 32.3% per TRS class (p < 0.001). Exceeding the planned IMC/ICU LOS, overall LOS increased by 7.7 days (95%CI 5.35-10.08; p < 0.001) and increases the likelihood of also exceeding the upper limit LOS by 70.1% (95%CI 1.02-2.85; p = 0.041). In terms of predictive power of a prolonged IMC/ICU stay, the TRS performs better than previously established risk scores such as ASA or CCI (p = 0.031).</p><p><strong>Conclusion: </strong>The lack of a standardized needs assessment can lead to both under- and overutilization of the IMC/ICU and therefore increased costs and losses in total revenue. Our index helps to stratify the risk of a prolonged IMC/ICU stay preoperatively and to adjust resource allocation in major head and neck tumor surgery.</p>","PeriodicalId":47251,"journal":{"name":"Oral and Maxillofacial Surgery-Heidelberg","volume":" ","pages":"1547-1556"},"PeriodicalIF":1.8000,"publicationDate":"2024-12-01","publicationTypes":"Journal Article","fieldsOfStudy":null,"isOpenAccess":false,"openAccessPdf":"https://www.ncbi.nlm.nih.gov/pmc/articles/PMC11480139/pdf/","citationCount":"0","resultStr":null,"platform":"Semanticscholar","paperid":null,"PeriodicalName":"Oral and Maxillofacial Surgery-Heidelberg","FirstCategoryId":"1085","ListUrlMain":"https://doi.org/10.1007/s10006-024-01281-8","RegionNum":0,"RegionCategory":null,"ArticlePicture":[],"TitleCN":null,"AbstractTextCN":null,"PMCID":null,"EPubDate":"2024/7/20 0:00:00","PubModel":"Epub","JCR":"Q3","JCRName":"DENTISTRY, ORAL SURGERY & MEDICINE","Score":null,"Total":0}
引用次数: 0

Abstract

Purpose: Head and neck cancer surgery often requires postoperative monitoring in an intensive care unit (ICU) or intermediate care unit (IMC). With a variety of different risk scores, it is incumbent upon the investigator to plan a risk-adapted allocation of resources. Tumor surgery in the head and neck region itself offers a wide range of procedures in terms of resection extent and reconstruction methods, which can be stratified only vaguely by a cross-disciplinary score. Facing a variety of different risk scores we aimed to develop a new Tumor Risk Score (TRS) enabling anterograde preoperative risk evaluation, resource allocation and optimization of cost and outcome measurements in tumor surgery of the head and neck.

Methods: A collective of 547 patients (2010-2021) with intraoral tumors was studied to develop the TRS by grading the preoperative tumor size and location as well as the invasiveness of the planned surgery by means of statistical modeling. Two postoperative complications were defined: (1) prolonged postoperative stay in IMC/ICU and (2) prolonged total length of stay (LOS). Each parameter was analyzed using TRS and all preoperative patient parameters (age, sex, preoperative hemoglobin, body-mass-index, preexisting medical conditions) using predictive modeling design. Established risk scores (Charlson Comorbidity Index (CCI), American Society of Anesthesiologists risk classification (ASA), Functional Comorbidity Index (FCI)) and Patient Clinical Complexity Level (PCCL) were used as benchmarks for model performance of the TRS.

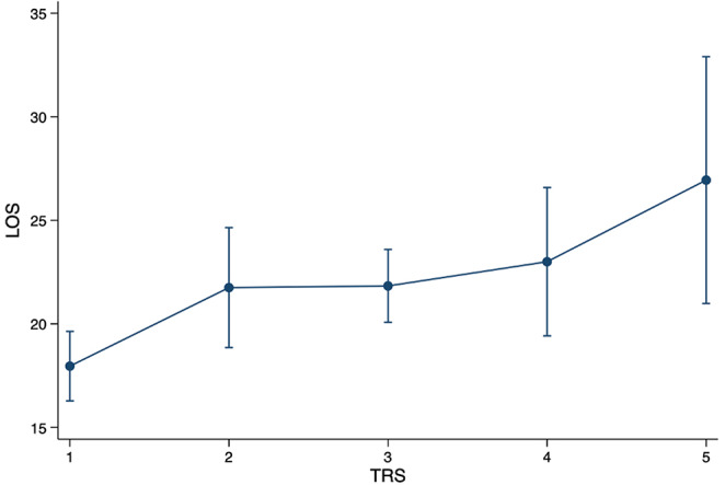
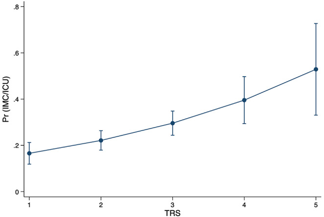
Results: The TRS is significantly correlated with surgery duration (p < 0.001) and LOS (p = 0.001). With every increase in TRS, LOS rises by 9.3% (95%CI 4.7-13.9; p < 0.001) or 1.9 days (95%CI 1.0-2.8; p < 0.001), respectively. For each increase in TRS, the LOS in IMC/ICU wards increases by 0.33 days (95%CI 0.12-0.54; p = 0.002), and the probability of an overall prolonged IMC/ICU stay increased by 32.3% per TRS class (p < 0.001). Exceeding the planned IMC/ICU LOS, overall LOS increased by 7.7 days (95%CI 5.35-10.08; p < 0.001) and increases the likelihood of also exceeding the upper limit LOS by 70.1% (95%CI 1.02-2.85; p = 0.041). In terms of predictive power of a prolonged IMC/ICU stay, the TRS performs better than previously established risk scores such as ASA or CCI (p = 0.031).

Conclusion: The lack of a standardized needs assessment can lead to both under- and overutilization of the IMC/ICU and therefore increased costs and losses in total revenue. Our index helps to stratify the risk of a prolonged IMC/ICU stay preoperatively and to adjust resource allocation in major head and neck tumor surgery.

Abstract Image

Abstract Image

Abstract Image

肿瘤风险评分(TRS)--头颈部肿瘤手术的下一级风险预测。
目的:头颈部癌症手术通常需要在重症监护室(ICU)或中间监护室(IMC)进行术后监护。由于存在各种不同的风险评分,因此研究人员有责任规划与风险相适应的资源分配。头颈部肿瘤手术本身在切除范围和重建方法方面提供了多种不同的手术方式,这些手术方式只能通过跨学科评分进行模糊分层。面对各种不同的风险评分,我们的目标是开发一种新的肿瘤风险评分(TRS),以便在头颈部肿瘤手术中进行术前风险评估、资源分配以及成本和结果测量的优化:研究了 547 例(2010-2021 年)口腔内肿瘤患者,通过统计建模对术前肿瘤大小、位置以及计划手术的侵袭性进行分级,从而制定 TRS。定义了两种术后并发症:(1)术后在综合监护室/重症监护室(IMC/ICU)住院时间延长;(2)总住院时间(LOS)延长。每个参数都使用 TRS 和所有术前患者参数(年龄、性别、术前血红蛋白、体重指数、术前存在的医疗状况)进行分析,并使用预测模型设计。既定的风险评分(夏尔森合并症指数(CCI)、美国麻醉学会风险分类(ASA)、功能合并症指数(FCI))和患者临床复杂程度(PCCL)被用作 TRS 模型性能的基准:结果:TRS 与手术持续时间有明显相关性(p 结论:TRS 与手术持续时间有明显相关性:缺乏标准化的需求评估会导致 IMC/ICU 使用不足或过度,从而增加成本和总收入损失。我们的指数有助于在术前对 IMC/ICU 留院时间过长的风险进行分层,并调整头颈部肿瘤大手术的资源分配。
本文章由计算机程序翻译,如有差异,请以英文原文为准。
求助全文
约1分钟内获得全文 求助全文
来源期刊
Oral and Maxillofacial Surgery-Heidelberg
Oral and Maxillofacial Surgery-Heidelberg DENTISTRY, ORAL SURGERY & MEDICINE-
CiteScore
3.20
自引率
5.60%
发文量
118
期刊介绍: Oral & Maxillofacial Surgery founded as Mund-, Kiefer- und Gesichtschirurgie is a peer-reviewed online journal. It is designed for clinicians as well as researchers.The quarterly journal offers comprehensive coverage of new techniques, important developments and innovative ideas in oral and maxillofacial surgery and interdisciplinary aspects of cranial, facial and oral diseases and their management. The journal publishes papers of the highest scientific merit and widest possible scope on work in oral and maxillofacial surgery as well as supporting specialties. Practice-oriented articles help improve the methods used in oral and maxillofacial surgery.Every aspect of oral and maxillofacial surgery is fully covered through a range of invited review articles, clinical and research articles, technical notes, abstracts, and case reports. Specific topics are: aesthetic facial surgery, clinical pathology, computer-assisted surgery, congenital and craniofacial deformities, dentoalveolar surgery, head and neck oncology, implant dentistry, oral medicine, orthognathic surgery, reconstructive surgery, skull base surgery, TMJ and trauma.Time-limited reviewing and electronic processing allow to publish articles as fast as possible. Accepted articles are rapidly accessible online.Clinical studies submitted for publication have to include a declaration that they have been approved by an ethical committee according to the World Medical Association Declaration of Helsinki 1964 (last amendment during the 52nd World Medical Association General Assembly, Edinburgh, Scotland, October 2000). Experimental animal studies have to be carried out according to the principles of laboratory animal care (NIH publication No 86-23, revised 1985).
×
引用
GB/T 7714-2015
复制
MLA
复制
APA
复制
导出至
BibTeX EndNote RefMan NoteFirst NoteExpress
×
提示
您的信息不完整,为了账户安全,请先补充。
现在去补充
×
提示
您因"违规操作"
具体请查看互助需知
我知道了
×
提示
确定
请完成安全验证×
copy
已复制链接
快去分享给好友吧!
我知道了
右上角分享
点击右上角分享
0
联系我们:info@booksci.cn Book学术提供免费学术资源搜索服务,方便国内外学者检索中英文文献。致力于提供最便捷和优质的服务体验。 Copyright © 2023 布克学术 All rights reserved.
京ICP备2023020795号-1
ghs 京公网安备 11010802042870号
Book学术文献互助
Book学术文献互助群
群 号:604180095
Book学术官方微信