A novel simplified sonographic approach with fluoroscopy-controlled L5 transforaminal epidural injections in patients with high iliac crest: a retrospective study.

IF 1 Q3 ANESTHESIOLOGY
Haichang Yang, Hongyan Wang, Jie Lu, Ling Hu
{"title":"A novel simplified sonographic approach with fluoroscopy-controlled L5 transforaminal epidural injections in patients with high iliac crest: a retrospective study.","authors":"Haichang Yang, Hongyan Wang, Jie Lu, Ling Hu","doi":"10.1186/s40981-024-00725-0","DOIUrl":null,"url":null,"abstract":"<p><strong>Background: </strong>To explore a novel ultrasound (US) modality for lumbar transforaminal epidural injections (TFEIs) in patients with low back pain (LBP) and L5 radicular pain combined with high iliac crest (HIC).</p><p><strong>Methods: </strong>One-hundred and forty-one patients were retrospectively stratified into two groups based on the treatment they received: novel group, receiving US-guided and fluoroscopy (FL)-controlled TFEIs using a sagittal oblique approach between the superior articular process of L5 and S1, and control group, receiving US-guided TFEIs with conventional transverse approach combined with FL confirmation. Accuracy of contrast dispersing into lumbar epidural space was set as the primary endpoint. Radiation dosages, procedure time, numeric rating scale (NRS) scores, Modified Oswestry Disability Questionnaire (MODQ) scores, adverse events, and rescue analgesic requirement were also recorded. The generalized liner mixed model (GLMMs) was employed to compare the repeatedly measured variables between groups, taking individual confounding factors as covariance.</p><p><strong>Results: </strong>The accuracy of TFEIs was 92.8% and 65.2% in novel and control group, with a significant difference of 26.7% (95% CI: 15.4%, 39.8%) between two modalities (p < 0.001). Significant pain relief was observed in novel group as opposed to control group after one injection. Procedure time in novel group (8.4 ± 1.6 min) was shorter than control group (15.8 ± 3.5 min) (p < 0.001) with less radiation dosage (3047 ± 5670 vs. 8808 ± 1039 μGy/m<sup>2</sup>, p < 0.001). Significantly, lower incidence of L5 paresthesia occurred in novel group. Statistical differences of NRS scores between the novel and control group were reached at 1 week after procedure (1 (IQR: - 1-3) vs. 3 (IQR: - 1-7), p = 0.006), while not reached at both 1- (1 (IQR: 0-2) vs. 1 (IQR: - 1-3), p = 0.086) or 3-month follow-up (0 (IQR: - 1-1) vs. 1 (IQR: 0-2), p = 0.094). Both groups showed similar functional improvement (F = 0.103, p = 0.749) during follow-up.</p><p><strong>Conclusions: </strong>The novel sonographic technique provided superior accuracy needle placement and better pain-relieving effect through one injection as compared to the routine transverse approach. Consequently, in situations where the HIC imposed limitations for TFEIs performance on L5, the novel technique should be recommended to consider increasing accurate puncture, minimizing radiation exposure, consuming procedure time, and reducing the risk of neuraxial injury.</p>","PeriodicalId":14635,"journal":{"name":"JA Clinical Reports","volume":"10 1","pages":"43"},"PeriodicalIF":1.0000,"publicationDate":"2024-07-20","publicationTypes":"Journal Article","fieldsOfStudy":null,"isOpenAccess":false,"openAccessPdf":"https://www.ncbi.nlm.nih.gov/pmc/articles/PMC11264496/pdf/","citationCount":"0","resultStr":null,"platform":"Semanticscholar","paperid":null,"PeriodicalName":"JA Clinical Reports","FirstCategoryId":"1085","ListUrlMain":"https://doi.org/10.1186/s40981-024-00725-0","RegionNum":0,"RegionCategory":null,"ArticlePicture":[],"TitleCN":null,"AbstractTextCN":null,"PMCID":null,"EPubDate":"","PubModel":"","JCR":"Q3","JCRName":"ANESTHESIOLOGY","Score":null,"Total":0}
引用次数: 0

Abstract

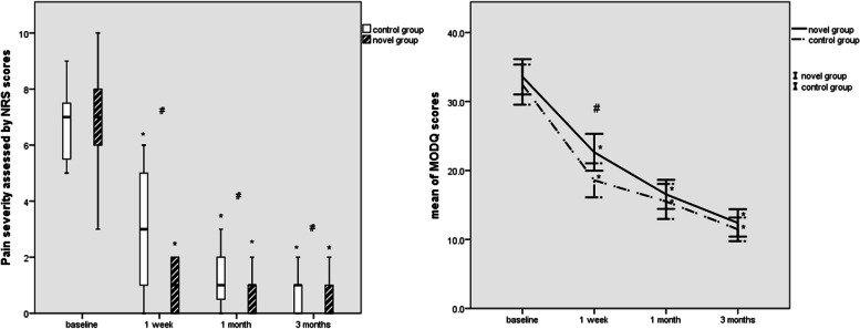
Background: To explore a novel ultrasound (US) modality for lumbar transforaminal epidural injections (TFEIs) in patients with low back pain (LBP) and L5 radicular pain combined with high iliac crest (HIC).

Methods: One-hundred and forty-one patients were retrospectively stratified into two groups based on the treatment they received: novel group, receiving US-guided and fluoroscopy (FL)-controlled TFEIs using a sagittal oblique approach between the superior articular process of L5 and S1, and control group, receiving US-guided TFEIs with conventional transverse approach combined with FL confirmation. Accuracy of contrast dispersing into lumbar epidural space was set as the primary endpoint. Radiation dosages, procedure time, numeric rating scale (NRS) scores, Modified Oswestry Disability Questionnaire (MODQ) scores, adverse events, and rescue analgesic requirement were also recorded. The generalized liner mixed model (GLMMs) was employed to compare the repeatedly measured variables between groups, taking individual confounding factors as covariance.

Results: The accuracy of TFEIs was 92.8% and 65.2% in novel and control group, with a significant difference of 26.7% (95% CI: 15.4%, 39.8%) between two modalities (p < 0.001). Significant pain relief was observed in novel group as opposed to control group after one injection. Procedure time in novel group (8.4 ± 1.6 min) was shorter than control group (15.8 ± 3.5 min) (p < 0.001) with less radiation dosage (3047 ± 5670 vs. 8808 ± 1039 μGy/m2, p < 0.001). Significantly, lower incidence of L5 paresthesia occurred in novel group. Statistical differences of NRS scores between the novel and control group were reached at 1 week after procedure (1 (IQR: - 1-3) vs. 3 (IQR: - 1-7), p = 0.006), while not reached at both 1- (1 (IQR: 0-2) vs. 1 (IQR: - 1-3), p = 0.086) or 3-month follow-up (0 (IQR: - 1-1) vs. 1 (IQR: 0-2), p = 0.094). Both groups showed similar functional improvement (F = 0.103, p = 0.749) during follow-up.

Conclusions: The novel sonographic technique provided superior accuracy needle placement and better pain-relieving effect through one injection as compared to the routine transverse approach. Consequently, in situations where the HIC imposed limitations for TFEIs performance on L5, the novel technique should be recommended to consider increasing accurate puncture, minimizing radiation exposure, consuming procedure time, and reducing the risk of neuraxial injury.

Abstract Image

Abstract Image

Abstract Image

对髂嵴过高患者进行经椎间硬膜外注射的新型简化声学方法:一项回顾性研究。
背景:目的:探索一种新型超声(US)模式,用于腰背痛(LBP)和 L5 根性疼痛合并高髂嵴(HIC)患者的腰椎经椎间硬膜外注射(TFEIs):根据患者接受的治疗方法,将141名患者回顾性地分为两组:新颖组(在US引导和荧光透视(FL)控制下,使用L5和S1上关节突之间的矢状斜切口进行TFEI注射)和对照组(在US引导下,使用传统的横切口结合FL确认进行TFEI注射)。对比剂分散到腰椎硬膜外间隙的准确性被设定为主要终点。此外,还记录了放射剂量、手术时间、数字评分量表(NRS)评分、改良奥斯韦特里残疾问卷(MODQ)评分、不良事件和抢救性镇痛药需求。采用广义衬垫混合模型(GLMMs)比较各组间重复测量的变量,并将个别混杂因素作为协方差:结果:新型组和对照组的 TFEIs 准确率分别为 92.8%和 65.2%,两种方法的准确率相差 26.7%(95% CI:15.4%,39.8%),差异显著(P 2,P 结论:新型超声技术的准确率高于对照组:与常规横向方法相比,新型超声技术的针头置放准确性更高,一次注射的止痛效果更好。因此,在 HIC 对 L5 的 TFEIs 性能造成限制的情况下,应推荐使用新型技术,以提高穿刺的准确性、减少辐射暴露、缩短手术时间并降低神经轴损伤的风险。
本文章由计算机程序翻译,如有差异,请以英文原文为准。
求助全文
约1分钟内获得全文 求助全文
来源期刊
JA Clinical Reports
JA Clinical Reports ANESTHESIOLOGY-
CiteScore
1.30
自引率
0.00%
发文量
90
审稿时长
9 weeks
期刊介绍: JA Clinical Reports is a companion journal to the Journal of Anesthesia (JA), the official journal of the Japanese Society of Anesthesiologists (JSA). This journal is an open access, peer-reviewed, online journal related to clinical anesthesia practices such as anesthesia management, pain management and intensive care. Case reports are very important articles from the viewpoint of education and the cultivation of scientific thinking in the field of anesthesia. However, submissions of anesthesia research and clinical reports from Japan are notably decreasing in major anesthesia journals. Therefore, the JSA has decided to launch a new journal, JA Clinical Reports, to encourage JSA members, particularly junior Japanese anesthesiologists, to publish papers in English language.
×
引用
GB/T 7714-2015
复制
MLA
复制
APA
复制
导出至
BibTeX EndNote RefMan NoteFirst NoteExpress
×
提示
您的信息不完整,为了账户安全,请先补充。
现在去补充
×
提示
您因"违规操作"
具体请查看互助需知
我知道了
×
提示
确定
请完成安全验证×
copy
已复制链接
快去分享给好友吧!
我知道了
右上角分享
点击右上角分享
0
联系我们:info@booksci.cn Book学术提供免费学术资源搜索服务,方便国内外学者检索中英文文献。致力于提供最便捷和优质的服务体验。 Copyright © 2023 布克学术 All rights reserved.
京ICP备2023020795号-1
ghs 京公网安备 11010802042870号
Book学术文献互助
Book学术文献互助群
群 号:604180095
Book学术官方微信