A randomized controlled trial of ivabradine in patients with acute myocardial infarction related cardiogenic shock.

Alejandro Alcaraz-Guzmán, Eder Jonathan Amaro-Palomo, Arturo Maximiliano Ruiz-Beltrán, Braiana Ángeles Díaz-Herrera, Raúl Rodrigo Neri-Bale, Lilia Hernández-Bravo, Manuel A Candia-Ramírez, Rodrigo Gopar-Nieto, Héctor González-Pacheco, Jorge Daniel Sierra-Lara Martinez, Alexandra Arias-Mendoza, Diego Araiza-Garaygordobil
{"title":"A randomized controlled trial of ivabradine in patients with acute myocardial infarction related cardiogenic shock.","authors":"Alejandro Alcaraz-Guzmán, Eder Jonathan Amaro-Palomo, Arturo Maximiliano Ruiz-Beltrán, Braiana Ángeles Díaz-Herrera, Raúl Rodrigo Neri-Bale, Lilia Hernández-Bravo, Manuel A Candia-Ramírez, Rodrigo Gopar-Nieto, Héctor González-Pacheco, Jorge Daniel Sierra-Lara Martinez, Alexandra Arias-Mendoza, Diego Araiza-Garaygordobil","doi":"10.47487/apcyccv.v5i2.342","DOIUrl":null,"url":null,"abstract":"<p><strong>Objective: </strong>. Acute myocardial infarction-related cardiogenic shock (AMI-CS) is often accompanied by tachycardia, which, in turn, increases myocardial oxygen consumption and hinders the use of ventricular assist devices, such as intra-aortic balloon pump. Evidence suggests that ivabradine may reduce heart rate (HR) without affecting other hemodynamic parameters. The aim of the present study was to determine the effect of ivabradine on reducing HR and changes in other hemodynamic parameters such as cardiac index (CI), in patients with AMI-CS and tachycardia.</p><p><strong>Materials and methods: </strong>. A single-center, open label, randomized clinical trial included patients diagnosed with AMI-CS and tachycardia with >100 beats per minute (BPM). Heart rate, cardiac index, and other hemodynamic parameters measured by pulmonary flotation catheter were compared at 0, 6, 12, 24, and 48 hours after randomization.</p><p><strong>Results: </strong>. A total of 12 patients were randomized; 6 received standard therapy, and 6 received ivabradine in addition to standard therapy. Baseline clinical characteristics were similar at randomization. A statistically significant lower heart rate was found at 12 hours (p=0.003) and 48 hours (p=0.029) after randomization, with differences of -23.3 (-8.2 to -38.4) BPM and -12.6 (-0.5 to -25.9) BPM, respectively. No differences in cardiac index, or any other evaluated hemodynamic parameters, length of hospital stay, nor mortality rate were noted between both groups.</p><p><strong>Conclusions: </strong>. The use of ivabradine in patients with AMI-CS was associated with a significant reduction in heart rate at 12 and 48 h, without affecting other hemodynamic parameters.</p>","PeriodicalId":72295,"journal":{"name":"Archivos Peruanos de cardiologia y cirugia cardiovascular","volume":"5 2","pages":"e342"},"PeriodicalIF":0.0000,"publicationDate":"2024-06-24","publicationTypes":"Journal Article","fieldsOfStudy":null,"isOpenAccess":false,"openAccessPdf":"https://www.ncbi.nlm.nih.gov/pmc/articles/PMC11247970/pdf/","citationCount":"0","resultStr":null,"platform":"Semanticscholar","paperid":null,"PeriodicalName":"Archivos Peruanos de cardiologia y cirugia cardiovascular","FirstCategoryId":"1085","ListUrlMain":"https://doi.org/10.47487/apcyccv.v5i2.342","RegionNum":0,"RegionCategory":null,"ArticlePicture":[],"TitleCN":null,"AbstractTextCN":null,"PMCID":null,"EPubDate":"2024/4/1 0:00:00","PubModel":"eCollection","JCR":"","JCRName":"","Score":null,"Total":0}
引用次数: 0

Abstract

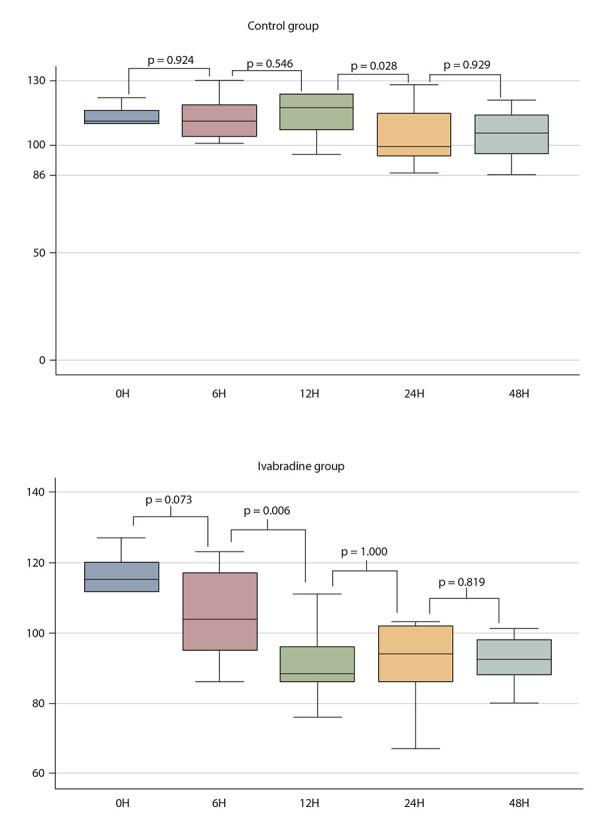
Objective: . Acute myocardial infarction-related cardiogenic shock (AMI-CS) is often accompanied by tachycardia, which, in turn, increases myocardial oxygen consumption and hinders the use of ventricular assist devices, such as intra-aortic balloon pump. Evidence suggests that ivabradine may reduce heart rate (HR) without affecting other hemodynamic parameters. The aim of the present study was to determine the effect of ivabradine on reducing HR and changes in other hemodynamic parameters such as cardiac index (CI), in patients with AMI-CS and tachycardia.

Materials and methods: . A single-center, open label, randomized clinical trial included patients diagnosed with AMI-CS and tachycardia with >100 beats per minute (BPM). Heart rate, cardiac index, and other hemodynamic parameters measured by pulmonary flotation catheter were compared at 0, 6, 12, 24, and 48 hours after randomization.

Results: . A total of 12 patients were randomized; 6 received standard therapy, and 6 received ivabradine in addition to standard therapy. Baseline clinical characteristics were similar at randomization. A statistically significant lower heart rate was found at 12 hours (p=0.003) and 48 hours (p=0.029) after randomization, with differences of -23.3 (-8.2 to -38.4) BPM and -12.6 (-0.5 to -25.9) BPM, respectively. No differences in cardiac index, or any other evaluated hemodynamic parameters, length of hospital stay, nor mortality rate were noted between both groups.

Conclusions: . The use of ivabradine in patients with AMI-CS was associated with a significant reduction in heart rate at 12 and 48 h, without affecting other hemodynamic parameters.

Abstract Image

Abstract Image

Abstract Image

伊伐布雷定治疗急性心肌梗死相关心源性休克患者的随机对照试验。
目的: .急性心肌梗死相关性心源性休克(AMI-CS)常伴有心动过速,而心动过速又会增加心肌耗氧量,阻碍主动脉内球囊反搏泵等心室辅助装置的使用。有证据表明,伊伐布雷定可降低心率(HR)而不影响其他血液动力学参数。本研究旨在确定伊伐布雷定对降低 AMI-CS 和心动过速患者心率的影响以及其他血液动力学参数(如心脏指数(CI))的变化。这是一项单中心、开放标签、随机临床试验,纳入了确诊为 AMI-CS 和心动过速(每分钟大于 100 次)的患者。在随机化后的 0、6、12、24 和 48 小时,对心率、心脏指数和肺浮动导管测量的其他血流动力学参数进行比较。共有 12 名患者接受了随机治疗,其中 6 人接受了标准疗法,6 人在接受标准疗法的同时接受了伊伐布雷定治疗。随机化时的基线临床特征相似。在随机化后 12 小时(p=0.003)和 48 小时(p=0.029),发现心率明显降低,分别为-23.3(-8.2 至-38.4)BPM 和-12.6(-0.5 至-25.9)BPM。两组患者的心脏指数、其他血液动力学参数、住院时间和死亡率均无差异。结论:AMI-CS 患者使用伊伐布雷定可在 12 小时和 48 小时内显著降低心率,但不会影响其他血液动力学参数。
本文章由计算机程序翻译,如有差异,请以英文原文为准。
求助全文
约1分钟内获得全文 求助全文
来源期刊
CiteScore
0.40
自引率
0.00%
发文量
0
审稿时长
4 weeks
×
引用
GB/T 7714-2015
复制
MLA
复制
APA
复制
导出至
BibTeX EndNote RefMan NoteFirst NoteExpress
×
提示
您的信息不完整,为了账户安全,请先补充。
现在去补充
×
提示
您因"违规操作"
具体请查看互助需知
我知道了
×
提示
确定
请完成安全验证×
copy
已复制链接
快去分享给好友吧!
我知道了
右上角分享
点击右上角分享
0
联系我们:info@booksci.cn Book学术提供免费学术资源搜索服务,方便国内外学者检索中英文文献。致力于提供最便捷和优质的服务体验。 Copyright © 2023 布克学术 All rights reserved.
京ICP备2023020795号-1
ghs 京公网安备 11010802042870号
Book学术文献互助
Book学术文献互助群
群 号:604180095
Book学术官方微信