Accuracy of point-of-care capillary blood sugar measurements in critically ill patients: An observational study.

Q3 Medicine
Keshabanand Mishra, Shivanand Mishra, Tanmay Katial
{"title":"Accuracy of point-of-care capillary blood sugar measurements in critically ill patients: An observational study.","authors":"Keshabanand Mishra, Shivanand Mishra, Tanmay Katial","doi":"10.4103/ijciis.ijciis_76_23","DOIUrl":null,"url":null,"abstract":"<p><strong>Background: </strong>Accurately monitoring blood glucose levels is vital for critically ill individuals. Point-of-care (POC) glucose meters are commonly used in local intensive care units (ICUs). This study aimed to assess the precision of POC glucose meter readings in critically ill individuals with specific evaluation in patients with and without shock against the reference standard of venous blood glucose measurements.</p><p><strong>Methods: </strong>An observational study was done on adult patients admitted in the ICU at a teaching institution. Capillary blood samples were collected from the patient's fingertip using lancet device with aseptic measures. The sample was analyzed using the GlucoCare Sense Glucometer (RMD Mediaids Limited, Taiwan). At the same time, 2 ml of blood was drawn from the patient's peripheral veins and analyzed by glucose oxidase-peroxidase method as reference.</p><p><strong>Results: </strong>POC glucose measurements averaged 140 ± 20.23 mg/dl, while laboratory values were recorded as 116.10 ± 17.13 mg/dl. The difference between the two methods was 24.34 ± 12.01 mg/dl. A strong correlation (<i>r</i> = 0.805) was found between capillary and laboratory blood glucose levels, indicating a significant association (<i>P</i> < 0.0001). Twenty-two (44%) patients were in shock during the study. The mean difference between laboratory and POC blood glucose levels was higher in patients with circulatory shock (36.82 ± 4.84 mg/dl) than those without shock (14.61 ± 4.49 mg/dl), <i>P</i> < 0.05.</p><p><strong>Conclusion: </strong>POC glucose meters may lead to underdetection of hypoglycemia in critically ill patients, as their values are higher than laboratory values. Moreover, the results showed that POC glucometers are inaccurate for monitoring glucose in hypotensive patients in shock. Standard venous glucose monitoring methods may be more appropriate for these patients.</p>","PeriodicalId":13938,"journal":{"name":"International Journal of Critical Illness and Injury Science","volume":"14 2","pages":"74-78"},"PeriodicalIF":0.0000,"publicationDate":"2024-04-01","publicationTypes":"Journal Article","fieldsOfStudy":null,"isOpenAccess":false,"openAccessPdf":"https://www.ncbi.nlm.nih.gov/pmc/articles/PMC11245140/pdf/","citationCount":"0","resultStr":null,"platform":"Semanticscholar","paperid":null,"PeriodicalName":"International Journal of Critical Illness and Injury Science","FirstCategoryId":"1085","ListUrlMain":"https://doi.org/10.4103/ijciis.ijciis_76_23","RegionNum":0,"RegionCategory":null,"ArticlePicture":[],"TitleCN":null,"AbstractTextCN":null,"PMCID":null,"EPubDate":"2024/6/21 0:00:00","PubModel":"Epub","JCR":"Q3","JCRName":"Medicine","Score":null,"Total":0}
引用次数: 0

Abstract

Background: Accurately monitoring blood glucose levels is vital for critically ill individuals. Point-of-care (POC) glucose meters are commonly used in local intensive care units (ICUs). This study aimed to assess the precision of POC glucose meter readings in critically ill individuals with specific evaluation in patients with and without shock against the reference standard of venous blood glucose measurements.

Methods: An observational study was done on adult patients admitted in the ICU at a teaching institution. Capillary blood samples were collected from the patient's fingertip using lancet device with aseptic measures. The sample was analyzed using the GlucoCare Sense Glucometer (RMD Mediaids Limited, Taiwan). At the same time, 2 ml of blood was drawn from the patient's peripheral veins and analyzed by glucose oxidase-peroxidase method as reference.

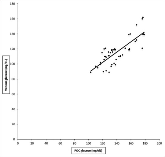
Results: POC glucose measurements averaged 140 ± 20.23 mg/dl, while laboratory values were recorded as 116.10 ± 17.13 mg/dl. The difference between the two methods was 24.34 ± 12.01 mg/dl. A strong correlation (r = 0.805) was found between capillary and laboratory blood glucose levels, indicating a significant association (P < 0.0001). Twenty-two (44%) patients were in shock during the study. The mean difference between laboratory and POC blood glucose levels was higher in patients with circulatory shock (36.82 ± 4.84 mg/dl) than those without shock (14.61 ± 4.49 mg/dl), P < 0.05.

Conclusion: POC glucose meters may lead to underdetection of hypoglycemia in critically ill patients, as their values are higher than laboratory values. Moreover, the results showed that POC glucometers are inaccurate for monitoring glucose in hypotensive patients in shock. Standard venous glucose monitoring methods may be more appropriate for these patients.

Abstract Image

Abstract Image

Abstract Image

重症患者护理点毛细血管血糖测量的准确性:一项观察性研究。
背景:准确监测血糖水平对重症患者至关重要。本地重症监护病房(ICU)普遍使用床旁(POC)血糖仪。本研究旨在评估重症患者使用 POC 血糖仪读数的精确度,并对照静脉血糖测量的参考标准,对有休克和无休克的患者进行具体评估:方法:对一家教学机构重症监护室收治的成年患者进行观察研究。采用无菌措施,使用柳叶刀装置从患者指尖采集毛细血管血样。样本使用 GlucoCare Sense 血糖仪(台湾 RMD Mediaids 有限公司)进行分析。同时,从患者外周静脉抽取 2 毫升血液,并以葡萄糖氧化酶-过氧化物酶法作为参照进行分析:结果:POC 血糖测量值平均为 140 ± 20.23 mg/dl,而实验室值为 116.10 ± 17.13 mg/dl。两种方法的差异为 24.34 ± 12.01 mg/dl。毛细血管血糖水平和实验室血糖水平之间存在很强的相关性(r = 0.805),表明两者之间存在显著关联(P < 0.0001)。研究期间有 22 名患者(44%)休克。循环休克患者的实验室和 POC 血糖水平的平均差异(36.82 ± 4.84 mg/dl)高于非休克患者(14.61 ± 4.49 mg/dl),P < 0.05:由于 POC 血糖仪的数值高于实验室数值,因此可能导致危重病人低血糖检测不足。此外,研究结果表明,POC 血糖仪对休克低血压患者的血糖监测并不准确。标准静脉血糖监测方法可能更适合这些患者。
本文章由计算机程序翻译,如有差异,请以英文原文为准。
求助全文
约1分钟内获得全文 求助全文
来源期刊
CiteScore
1.40
自引率
0.00%
发文量
37
期刊介绍: IJCIIS encourages research, education and dissemination of knowledge in the field of Critical Illness and Injury Science across the world thus promoting translational research by striking a synergy between basic science, clinical medicine and public health. The Journal intends to bring together scientists and academicians in the emergency intensive care and promote translational synergy between Laboratory Science, Clinical Medicine and Public Health. The Journal invites Original Articles, Clinical Investigations, Epidemiological Analysis, Data Protocols, Case Reports, Clinical Photographs, review articles and special commentaries. Students, Residents, Academicians, Public Health experts and scientists are all encouraged to be a part of this initiative by contributing, reviewing and promoting scientific works and science.
×
引用
GB/T 7714-2015
复制
MLA
复制
APA
复制
导出至
BibTeX EndNote RefMan NoteFirst NoteExpress
×
提示
您的信息不完整,为了账户安全,请先补充。
现在去补充
×
提示
您因"违规操作"
具体请查看互助需知
我知道了
×
提示
确定
请完成安全验证×
copy
已复制链接
快去分享给好友吧!
我知道了
右上角分享
点击右上角分享
0
联系我们:info@booksci.cn Book学术提供免费学术资源搜索服务,方便国内外学者检索中英文文献。致力于提供最便捷和优质的服务体验。 Copyright © 2023 布克学术 All rights reserved.
京ICP备2023020795号-1
ghs 京公网安备 11010802042870号
Book学术文献互助
Book学术文献互助群
群 号:604180095
Book学术官方微信