Establishing Expectancy Values for Fibrin Monomer in Uncomplicated Pregnancy.

IF 1.8
Holger Seidel, Melina Duncklenberg, Hans-Jörg Hertfelder, Christine Gnida, Philipp Westhofen, Anna Stremlau, Joffrey Feriel, François Depasse, Hannah L McRae, Johannes Philipp Kruppenbacher
{"title":"Establishing Expectancy Values for Fibrin Monomer in Uncomplicated Pregnancy.","authors":"Holger Seidel, Melina Duncklenberg, Hans-Jörg Hertfelder, Christine Gnida, Philipp Westhofen, Anna Stremlau, Joffrey Feriel, François Depasse, Hannah L McRae, Johannes Philipp Kruppenbacher","doi":"10.1055/s-0044-1788281","DOIUrl":null,"url":null,"abstract":"<p><p><b>Background</b>  During pregnancy, a physiological increase of molecular activation markers (MAM) of hemostasis such as prothrombin fragments 1 + 2, thrombin-antithrombin complex, and D-dimers (DD) occurs. Therefore, monitoring MAM levels during pregnancy to evaluate the risk of venous thromboembolism (VTE) may be unreliable; nevertheless, DD analysis in pregnancy is widely performed. In contrast to DD, fibrin monomer (FM) levels have been reported to remain stable during pregnancy. <b>Objectives</b>  The main aim of this study was to define the expected range for FM levels in pregnant outpatients. In addition, we examined the impact of the individual VTE risk, as calculated by the pregnancy risk score of the Royal College of Obstetricians and Gynaecologists (RCOG), as well as that of antithrombotic treatment on FM levels. <b>Methods</b>  A total of 342 pregnant women seen at our hemostasis unit were included throughout 350 pregnancies in 899 samples. <b>Results</b>  Low-risk thrombophilia, but not the RCOG score itself, was found to influence all MAM levels, whereas antithrombotic treatment had only an impact on DD. For FM, a reference range could be calculated irrespective of the pregnancy term, in contrast to other MAMs, which fluctuated throughout pregnancy. <b>Conclusions</b>  Our findings suggest a stronger impact of inherited thrombophilia on hemostasis activity during pregnancy as compared with acquired or other predisposing thrombophilic risk factors. FM levels showed a marginal increase during pregnancy in contrast to other MAM and remain a potential candidate to improve the laboratory assessment of VTE risk during pregnancy. Further prospective studies in pregnant patients with suspicion of VTE are needed.</p>","PeriodicalId":94220,"journal":{"name":"TH open : companion journal to thrombosis and haemostasis","volume":"8 3","pages":"e283-e296"},"PeriodicalIF":1.8000,"publicationDate":"2024-07-11","publicationTypes":"Journal Article","fieldsOfStudy":null,"isOpenAccess":false,"openAccessPdf":"https://www.ncbi.nlm.nih.gov/pmc/articles/PMC11239220/pdf/","citationCount":"0","resultStr":null,"platform":"Semanticscholar","paperid":null,"PeriodicalName":"TH open : companion journal to thrombosis and haemostasis","FirstCategoryId":"1085","ListUrlMain":"https://doi.org/10.1055/s-0044-1788281","RegionNum":0,"RegionCategory":null,"ArticlePicture":[],"TitleCN":null,"AbstractTextCN":null,"PMCID":null,"EPubDate":"2024/7/1 0:00:00","PubModel":"eCollection","JCR":"","JCRName":"","Score":null,"Total":0}
引用次数: 0

Abstract

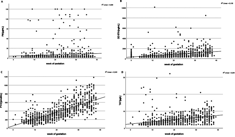
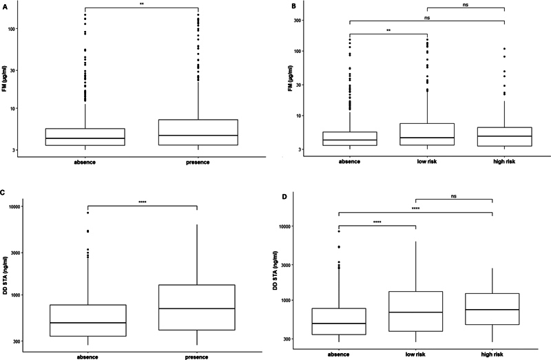
Background  During pregnancy, a physiological increase of molecular activation markers (MAM) of hemostasis such as prothrombin fragments 1 + 2, thrombin-antithrombin complex, and D-dimers (DD) occurs. Therefore, monitoring MAM levels during pregnancy to evaluate the risk of venous thromboembolism (VTE) may be unreliable; nevertheless, DD analysis in pregnancy is widely performed. In contrast to DD, fibrin monomer (FM) levels have been reported to remain stable during pregnancy. Objectives  The main aim of this study was to define the expected range for FM levels in pregnant outpatients. In addition, we examined the impact of the individual VTE risk, as calculated by the pregnancy risk score of the Royal College of Obstetricians and Gynaecologists (RCOG), as well as that of antithrombotic treatment on FM levels. Methods  A total of 342 pregnant women seen at our hemostasis unit were included throughout 350 pregnancies in 899 samples. Results  Low-risk thrombophilia, but not the RCOG score itself, was found to influence all MAM levels, whereas antithrombotic treatment had only an impact on DD. For FM, a reference range could be calculated irrespective of the pregnancy term, in contrast to other MAMs, which fluctuated throughout pregnancy. Conclusions  Our findings suggest a stronger impact of inherited thrombophilia on hemostasis activity during pregnancy as compared with acquired or other predisposing thrombophilic risk factors. FM levels showed a marginal increase during pregnancy in contrast to other MAM and remain a potential candidate to improve the laboratory assessment of VTE risk during pregnancy. Further prospective studies in pregnant patients with suspicion of VTE are needed.

Abstract Image

Abstract Image

Abstract Image

确定无并发症妊娠中纤维蛋白单体的预期值。
背景 在妊娠期间,凝血酶原片段 1 + 2、凝血酶-抗凝血酶复合物和 D-二聚体(DD)等止血分子活化标志物(MAM)会出现生理性增加。因此,在孕期监测 MAM 水平以评估静脉血栓栓塞(VTE)风险可能并不可靠;不过,孕期 DD 分析已被广泛采用。与 DD 不同,有报道称妊娠期纤维蛋白单体(FM)水平保持稳定。本研究的主要目的是确定妊娠期门诊患者体内纤维蛋白单体水平的预期范围。此外,我们还研究了根据英国皇家妇产科学院(RCOG)妊娠风险评分计算的个人 VTE 风险以及抗血栓治疗对 FM 水平的影响。方法 共有 342 名孕妇在我们的止血科就诊,她们共经历了 350 次妊娠,共采集了 899 个样本。结果 发现低风险血栓性疾病(而非 RCOG 评分本身)会影响所有 MAM 水平,而抗血栓治疗只对 DD 有影响。对于 FM,无论妊娠期长短都能计算出参考范围,而其他 MAM 在整个妊娠期都会波动。结论 我们的研究结果表明,与获得性或其他易患血栓性疾病的风险因素相比,遗传性血栓性疾病对孕期止血活动的影响更大。与其他 MAM 相比,FM 水平在妊娠期间略有上升,因此仍是改善妊娠期 VTE 风险实验室评估的潜在候选者。需要对怀疑有 VTE 的妊娠患者进行进一步的前瞻性研究。
本文章由计算机程序翻译,如有差异,请以英文原文为准。
求助全文
约1分钟内获得全文 求助全文
来源期刊
自引率
0.00%
发文量
0
审稿时长
12 weeks
×
引用
GB/T 7714-2015
复制
MLA
复制
APA
复制
导出至
BibTeX EndNote RefMan NoteFirst NoteExpress
×
提示
您的信息不完整,为了账户安全,请先补充。
现在去补充
×
提示
您因"违规操作"
具体请查看互助需知
我知道了
×
提示
确定
请完成安全验证×
copy
已复制链接
快去分享给好友吧!
我知道了
右上角分享
点击右上角分享
0
联系我们:info@booksci.cn Book学术提供免费学术资源搜索服务,方便国内外学者检索中英文文献。致力于提供最便捷和优质的服务体验。 Copyright © 2023 布克学术 All rights reserved.
京ICP备2023020795号-1
ghs 京公网安备 11010802042870号
Book学术文献互助
Book学术文献互助群
群 号:604180095
Book学术官方微信