Association of Definitive Radiotherapy for Esophageal Cancer and the Incidence of Secondary Head and Neck Cancers: A SEER Population-Based Study.

IF 2.2 Q3 ONCOLOGY
World Journal of Oncology Pub Date : 2024-08-01 Epub Date: 2024-06-18 DOI:10.14740/wjon1834
Qian Qian Guo, Shi Zhou Ma, De Yao Zhao, Narasimha M Beeraka, Hao Gu, Yu Fei Zheng, Rui Wen Zhao, Si Ting Li, Vladimir N Nikolenko, Kirill V Bulygin, Basappa Basappa, Rui Tai Fan, Jun Qi Liu
{"title":"Association of Definitive Radiotherapy for Esophageal Cancer and the Incidence of Secondary Head and Neck Cancers: A SEER Population-Based Study.","authors":"Qian Qian Guo, Shi Zhou Ma, De Yao Zhao, Narasimha M Beeraka, Hao Gu, Yu Fei Zheng, Rui Wen Zhao, Si Ting Li, Vladimir N Nikolenko, Kirill V Bulygin, Basappa Basappa, Rui Tai Fan, Jun Qi Liu","doi":"10.14740/wjon1834","DOIUrl":null,"url":null,"abstract":"<p><strong>Background: </strong>Impact of radiotherapy (RT) for esophageal cancer (EC) patients on the development of secondary head and neck cancer (SHNC) remains equivocal. The objective of this study was to investigate the link between definitive RT used for EC treatment and subsequent SHNC.</p><p><strong>Methods: </strong>This study was conducted using the Surveillance, Epidemiology, and End Results (SEER) database to collect the data of primary EC patients. Fine-Gray competing risk regression and standardized incidence ratio (SIR) and propensity score matching (PSM) method were used to match SHNC patients with only primary head and neck cancer (HNC) patients. Overall survival (OS) rates were applied by Kaplan-Meier analysis.</p><p><strong>Results: </strong>In total, 14,158 EC patients from the SEER database were included, of which 9,239 patients (65.3%) received RT and 4,919 patients (34.7%) received no radiation therapy (NRT). After a 12-month latency period, 110 patients (1.2%) in the RT group and 36 patients (0.7%) in the NRT group experienced the development of SHNC. In individuals with primary EC, there was an increased incidence of SHNC compared to the general US population (SIR = 5.95, 95% confidence interval (CI): 5.15 - 6.84). Specifically, the SIR for SHNC was 8.04 (95% CI: 6.78 - 9.47) in the RT group and 3.51 (95% CI: 2.64 - 4.58) in the NRT group. Patients who developed SHNC after RT exhibited significantly lower OS compared to those after NRT. Following PSM, the OS of patients who developed SHNC after RT remained significantly lower than that of matched patients with only primary HNC.</p><p><strong>Conclusion: </strong>An association was discovered between RT for EC and increased long-term risk of SHNC. This work enables radiation oncologists to implement mitigation strategies to reduce the long-term risk of SHNC in patients who have received RT following primary EC.</p>","PeriodicalId":46797,"journal":{"name":"World Journal of Oncology","volume":"15 4","pages":"598-611"},"PeriodicalIF":2.2000,"publicationDate":"2024-08-01","publicationTypes":"Journal Article","fieldsOfStudy":null,"isOpenAccess":false,"openAccessPdf":"https://www.ncbi.nlm.nih.gov/pmc/articles/PMC11236375/pdf/","citationCount":"0","resultStr":null,"platform":"Semanticscholar","paperid":null,"PeriodicalName":"World Journal of Oncology","FirstCategoryId":"1085","ListUrlMain":"https://doi.org/10.14740/wjon1834","RegionNum":0,"RegionCategory":null,"ArticlePicture":[],"TitleCN":null,"AbstractTextCN":null,"PMCID":null,"EPubDate":"2024/6/18 0:00:00","PubModel":"Epub","JCR":"Q3","JCRName":"ONCOLOGY","Score":null,"Total":0}
引用次数: 0

Abstract

Background: Impact of radiotherapy (RT) for esophageal cancer (EC) patients on the development of secondary head and neck cancer (SHNC) remains equivocal. The objective of this study was to investigate the link between definitive RT used for EC treatment and subsequent SHNC.

Methods: This study was conducted using the Surveillance, Epidemiology, and End Results (SEER) database to collect the data of primary EC patients. Fine-Gray competing risk regression and standardized incidence ratio (SIR) and propensity score matching (PSM) method were used to match SHNC patients with only primary head and neck cancer (HNC) patients. Overall survival (OS) rates were applied by Kaplan-Meier analysis.

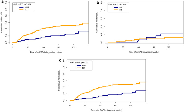
Results: In total, 14,158 EC patients from the SEER database were included, of which 9,239 patients (65.3%) received RT and 4,919 patients (34.7%) received no radiation therapy (NRT). After a 12-month latency period, 110 patients (1.2%) in the RT group and 36 patients (0.7%) in the NRT group experienced the development of SHNC. In individuals with primary EC, there was an increased incidence of SHNC compared to the general US population (SIR = 5.95, 95% confidence interval (CI): 5.15 - 6.84). Specifically, the SIR for SHNC was 8.04 (95% CI: 6.78 - 9.47) in the RT group and 3.51 (95% CI: 2.64 - 4.58) in the NRT group. Patients who developed SHNC after RT exhibited significantly lower OS compared to those after NRT. Following PSM, the OS of patients who developed SHNC after RT remained significantly lower than that of matched patients with only primary HNC.

Conclusion: An association was discovered between RT for EC and increased long-term risk of SHNC. This work enables radiation oncologists to implement mitigation strategies to reduce the long-term risk of SHNC in patients who have received RT following primary EC.

Abstract Image

Abstract Image

Abstract Image

食管癌确定性放疗与继发性头颈部癌症发病率的关系:SEER 基于人群的研究。
背景:食管癌(EC)患者放疗(RT)对继发性头颈癌(SHNC)发展的影响仍不明确。本研究的目的是调查食管癌治疗所用的确定性 RT 与继发 SHNC 之间的联系:本研究使用监测、流行病学和最终结果(SEER)数据库收集原发性 EC 患者的数据。研究采用精细格雷竞争风险回归法、标准化发病率比(SIR)和倾向得分匹配法(PSM)将SHNC患者与原发性头颈癌(HNC)患者进行匹配。总生存率(OS)采用卡普兰-梅尔分析法:SEER数据库共纳入14158名EC患者,其中9239名患者(65.3%)接受了RT治疗,4919名患者(34.7%)未接受放疗(NRT)。经过12个月的潜伏期后,RT组的110名患者(1.2%)和NRT组的36名患者(0.7%)出现了SHNC。与美国普通人群相比,原发性 EC 患者的 SHNC 发生率更高(SIR = 5.95,95% 置信区间 (CI):5.15 - 6.84)。具体而言,RT 组 SHNC 的 SIR 为 8.04(95% 置信区间:6.78 - 9.47),NRT 组为 3.51(95% 置信区间:2.64 - 4.58)。RT 后出现 SHNC 的患者的 OS 明显低于 NRT 后的患者。PSM后,RT后出现SHNC的患者的OS仍明显低于仅有原发性HNC的匹配患者:结论:发现RT治疗EC与SHNC长期风险增加之间存在关联。这项研究成果有助于放射肿瘤学家实施缓解策略,降低原发性 EC 患者接受 RT 治疗后罹患 SHNC 的长期风险。
本文章由计算机程序翻译,如有差异,请以英文原文为准。
求助全文
约1分钟内获得全文 求助全文
来源期刊
CiteScore
6.10
自引率
15.40%
发文量
37
期刊介绍: World Journal of Oncology, bimonthly, publishes original contributions describing basic research and clinical investigation of cancer, on the cellular, molecular, prevention, diagnosis, therapy and prognosis aspects. The submissions can be basic research or clinical investigation oriented. This journal welcomes those submissions focused on the clinical trials of new treatment modalities for cancer, and those submissions focused on molecular or cellular research of the oncology pathogenesis. Case reports submitted for consideration of publication should explore either a novel genomic event/description or a new safety signal from an oncolytic agent. The areas of interested manuscripts are these disciplines: tumor immunology and immunotherapy; cancer molecular pharmacology and chemotherapy; drug sensitivity and resistance; cancer epidemiology; clinical trials; cancer pathology; radiobiology and radiation oncology; solid tumor oncology; hematological malignancies; surgical oncology; pediatric oncology; molecular oncology and cancer genes; gene therapy; cancer endocrinology; cancer metastasis; prevention and diagnosis of cancer; other cancer related subjects. The types of manuscripts accepted are original article, review, editorial, short communication, case report, letter to the editor, book review.
×
引用
GB/T 7714-2015
复制
MLA
复制
APA
复制
导出至
BibTeX EndNote RefMan NoteFirst NoteExpress
×
提示
您的信息不完整,为了账户安全,请先补充。
现在去补充
×
提示
您因"违规操作"
具体请查看互助需知
我知道了
×
提示
确定
请完成安全验证×
copy
已复制链接
快去分享给好友吧!
我知道了
右上角分享
点击右上角分享
0
联系我们:info@booksci.cn Book学术提供免费学术资源搜索服务,方便国内外学者检索中英文文献。致力于提供最便捷和优质的服务体验。 Copyright © 2023 布克学术 All rights reserved.
京ICP备2023020795号-1
ghs 京公网安备 11010802042870号
Book学术文献互助
Book学术文献互助群
群 号:604180095
Book学术官方微信