Validation of the German version of the Asthma Impairment and Risk Questionnaire (AIRQ).

IF 1.7 Q4 RESPIRATORY SYSTEM
Pneumologie Pub Date : 2024-11-01 Epub Date: 2024-07-11 DOI:10.1055/a-2346-9840
Frank Kanniess, Kerstin Defosse, Marek Lommatzsch, Thomas Schultz, Hartmut Timmermann, Olaf Schmidt, Stefan Heindl, Hans Jörg Baumann, Roland Buhl, Christian Taube, Fabian Höing, Stephanie Korn
{"title":"Validation of the German version of the Asthma Impairment and Risk Questionnaire (AIRQ).","authors":"Frank Kanniess, Kerstin Defosse, Marek Lommatzsch, Thomas Schultz, Hartmut Timmermann, Olaf Schmidt, Stefan Heindl, Hans Jörg Baumann, Roland Buhl, Christian Taube, Fabian Höing, Stephanie Korn","doi":"10.1055/a-2346-9840","DOIUrl":null,"url":null,"abstract":"<p><strong>Background: </strong>The Asthma Impairment and Risk Questionnaire (AIRQ), a 10-item, equally weighted, yes/no tool assessing symptom impairment and risk of exacerbations in patients with asthma aged ≥12 years, was developed and validated in a US patient population to evaluate varying levels of asthma control. This study aimed to validate the German language version of the AIRQ in patients aged ≥12 years with different levels of asthma control.</p><p><strong>Methods: </strong>A cross-sectional, observational, multi-centre study comprising a single visit was conducted in multiple specialised asthma centres and general practices in Germany. A total of 300 patients completed the following measures: 1) Patient Sociodemographic and Clinical Questionnaire, 2) AIRQ, 3) Asthma Control Test (ACT), and 4) Asthma Control Questionnaire (ACQ-6). Logistic regression analyses were conducted to assess the AIRQ score cut points with the greatest predictive validity in discriminating between different control levels relative to a standard of ACT plus prior-year exacerbations or ACQ-6 plus prior-year exacerbations.</p><p><strong>Results: </strong>The German version of the AIRQ demonstrated a robust capability to correctly identify well-controlled versus not well- or very poorly controlled (AUC values of 0.90 or higher) and well- or not well-controlled versus very poorly controlled asthma (AUC values of 0.89 or higher).</p><p><strong>Conclusions: </strong>The German version of the AIRQ is a suitable tool to identify adults with varying levels of asthma control, which in turn can help to accurately identify patients with uncontrolled asthma in clinical practice.</p>","PeriodicalId":20197,"journal":{"name":"Pneumologie","volume":" ","pages":"912-921"},"PeriodicalIF":1.7000,"publicationDate":"2024-11-01","publicationTypes":"Journal Article","fieldsOfStudy":null,"isOpenAccess":false,"openAccessPdf":"https://www.ncbi.nlm.nih.gov/pmc/articles/PMC11548954/pdf/","citationCount":"0","resultStr":null,"platform":"Semanticscholar","paperid":null,"PeriodicalName":"Pneumologie","FirstCategoryId":"1085","ListUrlMain":"https://doi.org/10.1055/a-2346-9840","RegionNum":0,"RegionCategory":null,"ArticlePicture":[],"TitleCN":null,"AbstractTextCN":null,"PMCID":null,"EPubDate":"2024/7/11 0:00:00","PubModel":"Epub","JCR":"Q4","JCRName":"RESPIRATORY SYSTEM","Score":null,"Total":0}
引用次数: 0

Abstract

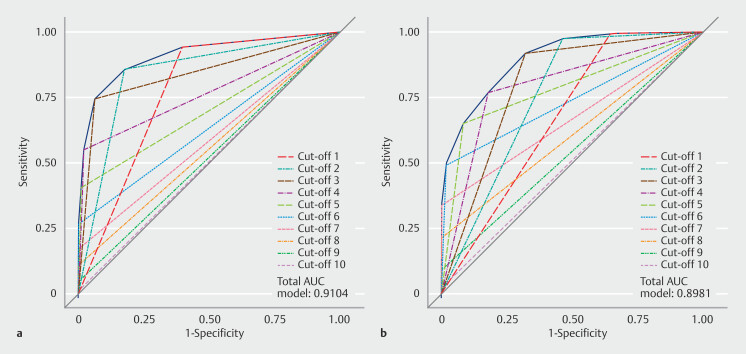
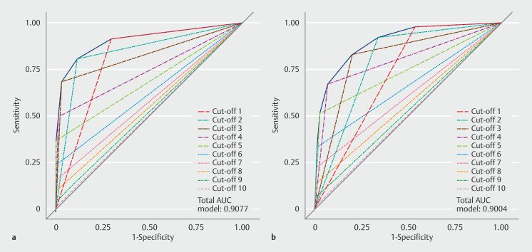
Background: The Asthma Impairment and Risk Questionnaire (AIRQ), a 10-item, equally weighted, yes/no tool assessing symptom impairment and risk of exacerbations in patients with asthma aged ≥12 years, was developed and validated in a US patient population to evaluate varying levels of asthma control. This study aimed to validate the German language version of the AIRQ in patients aged ≥12 years with different levels of asthma control.

Methods: A cross-sectional, observational, multi-centre study comprising a single visit was conducted in multiple specialised asthma centres and general practices in Germany. A total of 300 patients completed the following measures: 1) Patient Sociodemographic and Clinical Questionnaire, 2) AIRQ, 3) Asthma Control Test (ACT), and 4) Asthma Control Questionnaire (ACQ-6). Logistic regression analyses were conducted to assess the AIRQ score cut points with the greatest predictive validity in discriminating between different control levels relative to a standard of ACT plus prior-year exacerbations or ACQ-6 plus prior-year exacerbations.

Results: The German version of the AIRQ demonstrated a robust capability to correctly identify well-controlled versus not well- or very poorly controlled (AUC values of 0.90 or higher) and well- or not well-controlled versus very poorly controlled asthma (AUC values of 0.89 or higher).

Conclusions: The German version of the AIRQ is a suitable tool to identify adults with varying levels of asthma control, which in turn can help to accurately identify patients with uncontrolled asthma in clinical practice.

Abstract Image

Abstract Image

德文版哮喘损害和风险问卷(AIRQ)的验证。
背景:哮喘损害和风险问卷(AIRQ)是一种评估年龄≥12岁的哮喘患者的症状损害和病情恶化风险的10个项目、权重相同的是/否工具,该问卷是在美国患者群体中开发和验证的,用于评估不同的哮喘控制水平。本研究旨在对不同哮喘控制水平的≥12岁患者进行德语版AIRQ的验证:方法:在德国多个哮喘专科中心和全科诊所开展了一项横断面、观察性、多中心研究,包括一次就诊。共有 300 名患者完成了以下测量:1)患者社会人口学和临床问卷;2)AIRQ;3)哮喘控制测试(ACT);4)哮喘控制问卷(ACQ-6)。我们进行了逻辑回归分析,以评估相对于 ACT 加前一年哮喘加重或 ACQ-6 加前一年哮喘加重的标准,AIRQ 分数切点在区分不同控制水平方面具有最大的预测效力:德文版 AIRQ 具有强大的能力,可正确识别哮喘控制良好与控制不佳或控制极差(AUC 值为 0.90 或更高),以及哮喘控制良好与控制不佳或控制极差(AUC 值为 0.89 或更高):结论:德文版 AIRQ 是一种合适的工具,可用于识别哮喘控制水平不同的成人,从而有助于在临床实践中准确识别哮喘失控患者。
本文章由计算机程序翻译,如有差异,请以英文原文为准。
求助全文
约1分钟内获得全文 求助全文
来源期刊
Pneumologie
Pneumologie RESPIRATORY SYSTEM-
CiteScore
1.80
自引率
16.70%
发文量
416
期刊介绍: Organ der Deutschen Gesellschaft für Pneumologie DGP Organ des Deutschen Zentralkomitees zur Bekämpfung der Tuberkulose DZK Organ des Bundesverbandes der Pneumologen BdP Fachärzte für Lungen- und Bronchialheilkunde, Pneumologen und Allergologen
×
引用
GB/T 7714-2015
复制
MLA
复制
APA
复制
导出至
BibTeX EndNote RefMan NoteFirst NoteExpress
×
提示
您的信息不完整,为了账户安全,请先补充。
现在去补充
×
提示
您因"违规操作"
具体请查看互助需知
我知道了
×
提示
确定
请完成安全验证×
copy
已复制链接
快去分享给好友吧!
我知道了
右上角分享
点击右上角分享
0
联系我们:info@booksci.cn Book学术提供免费学术资源搜索服务,方便国内外学者检索中英文文献。致力于提供最便捷和优质的服务体验。 Copyright © 2023 布克学术 All rights reserved.
京ICP备2023020795号-1
ghs 京公网安备 11010802042870号
Book学术文献互助
Book学术文献互助群
群 号:604180095
Book学术官方微信