Transcriptome Analysis of Beta-Catenin-Related Genes in CD34+ Haematopoietic Stem and Progenitor Cells from Patients with AML.

IF 1.5 4区 医学 Q3 HEMATOLOGY
B Altinok Gunes, T Ozkan, A Karadag Gurel, S Dalkilic, N Belder, Z Ozkeserli, H Ozdag, M Beksac, N Sayinalp, A M Yagci, A Sunguroglu
{"title":"Transcriptome Analysis of Beta-Catenin-Related Genes in CD34+ Haematopoietic Stem and Progenitor Cells from Patients with AML.","authors":"B Altinok Gunes, T Ozkan, A Karadag Gurel, S Dalkilic, N Belder, Z Ozkeserli, H Ozdag, M Beksac, N Sayinalp, A M Yagci, A Sunguroglu","doi":"10.4084/MJHID.2024.058","DOIUrl":null,"url":null,"abstract":"<p><strong>Background: </strong>Acute myeloid leukaemia (AML) is a disease of the haematopoietic stem cells(HSCs) that is characterised by the uncontrolled proliferation and impaired differentiation of normal haematopoietic stem/progenitor cells. Several pathways that control the proliferation and differentiation of HSCs are impaired in AML. Activation of the Wnt/beta-catenin signalling pathway has been shown in AML and beta-catenin, which is thought to be the key element of this pathway, has been frequently highlighted. The present study was designed to determine beta-catenin expression levels and beta-catenin-related genes in AML.</p><p><strong>Methods: </strong>In this study, beta-catenin gene expression levels were determined in 19 AML patients and 3 controls by qRT-PCR. Transcriptome analysis was performed on AML grouped according to beta-catenin expression levels. Differentially expressed genes(DEGs) were investigated in detail using the Database for Annotation Visualisation and Integrated Discovery(DAVID), Gene Ontology(GO), Kyoto Encyclopedia of Genes and Genomes(KEGG), STRING online tools.</p><p><strong>Results: </strong>The transcriptome profiles of our AML samples showed different molecular signature profiles according to their beta-catenin levels(high-low). A total of 20 genes have been identified as hub genes. Among these, <i>TTK, HJURP, KIF14, BTF3, RPL17</i> and <i>RSL1D1</i> were found to be associated with beta-catenin and poor survival in AML. Furthermore, for the first time in our study, the <i>ELOV6</i> gene, which is the most highly up-regulated gene in human AML samples, was correlated with a poor prognosis via high beta-catenin levels.</p><p><strong>Conclusion: </strong>It is suggested that the identification of beta-catenin-related gene profiles in AML may help to select new therapeutic targets for the treatment of AML.</p>","PeriodicalId":18498,"journal":{"name":"Mediterranean Journal of Hematology and Infectious Diseases","volume":"16 1","pages":"e2024058"},"PeriodicalIF":1.5000,"publicationDate":"2024-07-01","publicationTypes":"Journal Article","fieldsOfStudy":null,"isOpenAccess":false,"openAccessPdf":"https://www.ncbi.nlm.nih.gov/pmc/articles/PMC11232677/pdf/","citationCount":"0","resultStr":null,"platform":"Semanticscholar","paperid":null,"PeriodicalName":"Mediterranean Journal of Hematology and Infectious Diseases","FirstCategoryId":"3","ListUrlMain":"https://doi.org/10.4084/MJHID.2024.058","RegionNum":4,"RegionCategory":"医学","ArticlePicture":[],"TitleCN":null,"AbstractTextCN":null,"PMCID":null,"EPubDate":"2024/1/1 0:00:00","PubModel":"eCollection","JCR":"Q3","JCRName":"HEMATOLOGY","Score":null,"Total":0}
引用次数: 0

Abstract

Background: Acute myeloid leukaemia (AML) is a disease of the haematopoietic stem cells(HSCs) that is characterised by the uncontrolled proliferation and impaired differentiation of normal haematopoietic stem/progenitor cells. Several pathways that control the proliferation and differentiation of HSCs are impaired in AML. Activation of the Wnt/beta-catenin signalling pathway has been shown in AML and beta-catenin, which is thought to be the key element of this pathway, has been frequently highlighted. The present study was designed to determine beta-catenin expression levels and beta-catenin-related genes in AML.

Methods: In this study, beta-catenin gene expression levels were determined in 19 AML patients and 3 controls by qRT-PCR. Transcriptome analysis was performed on AML grouped according to beta-catenin expression levels. Differentially expressed genes(DEGs) were investigated in detail using the Database for Annotation Visualisation and Integrated Discovery(DAVID), Gene Ontology(GO), Kyoto Encyclopedia of Genes and Genomes(KEGG), STRING online tools.

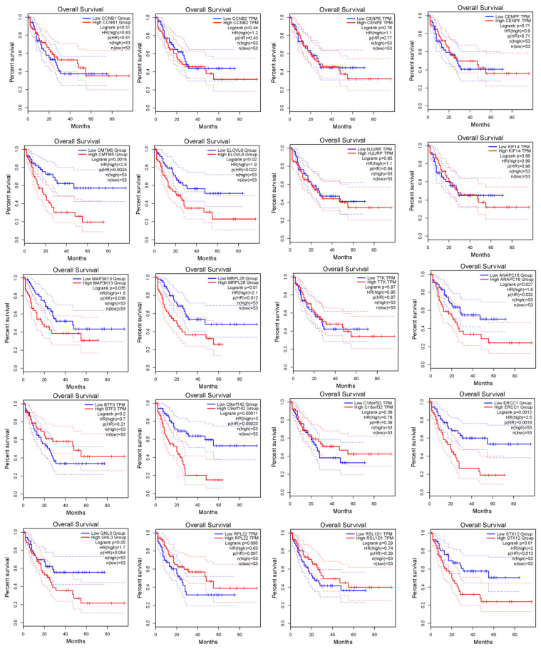
Results: The transcriptome profiles of our AML samples showed different molecular signature profiles according to their beta-catenin levels(high-low). A total of 20 genes have been identified as hub genes. Among these, TTK, HJURP, KIF14, BTF3, RPL17 and RSL1D1 were found to be associated with beta-catenin and poor survival in AML. Furthermore, for the first time in our study, the ELOV6 gene, which is the most highly up-regulated gene in human AML samples, was correlated with a poor prognosis via high beta-catenin levels.

Conclusion: It is suggested that the identification of beta-catenin-related gene profiles in AML may help to select new therapeutic targets for the treatment of AML.

Abstract Image

Abstract Image

Abstract Image

急性髓细胞性白血病患者 CD34+ 造血干细胞和祖细胞中 Beta 连环素相关基因的转录组分析
背景:急性髓性白血病(AML)是一种造血干细胞疾病,其特征是正常造血干细胞/祖细胞不受控制地增殖和分化受损。在急性髓细胞性白血病中,有几种控制造血干细胞增殖和分化的途径受到损害。在急性髓细胞性白血病中,Wnt/β-catenin信号通路被激活,而β-catenin被认为是这一通路的关键因素,经常被强调。本研究旨在确定 AML 中 beta-catenin 的表达水平和 beta-catenin 相关基因:本研究采用 qRT-PCR 方法测定了 19 例 AML 患者和 3 例对照组的 beta 连环素基因表达水平。根据β-catenin的表达水平对AML分组进行转录组分析。使用注释可视化和综合发现数据库(DAVID)、基因本体(GO)、京都基因和基因组百科全书(KEGG)、STRING在线工具对差异表达基因(DEGs)进行了详细研究:AML样本的转录组图谱根据其β-catenin水平(高-低)显示出不同的分子特征图谱。共有 20 个基因被鉴定为中枢基因。其中,TTK、HJURP、KIF14、BTF3、RPL17和RSL1D1被发现与β-catenin和急性髓细胞性白血病的不良生存率相关。此外,在我们的研究中,ELOV6 基因是人类 AML 样本中最高调的基因,它首次通过高水平的 beta 连环素与不良预后相关:结论:对急性髓细胞性白血病中β-catenin相关基因谱的鉴定有助于选择治疗急性髓细胞性白血病的新靶点。
本文章由计算机程序翻译,如有差异,请以英文原文为准。
求助全文
约1分钟内获得全文 求助全文
来源期刊
CiteScore
4.20
自引率
6.20%
发文量
113
审稿时长
12 weeks
期刊介绍: Reciprocal interdependence between infectious and hematologic diseases (malignant and non-malignant) is well known. This relationship is particularly evident in Mediterranean countries. Parasitosis as Malaria, Leishmaniosis, B Hookworms, Teniasis, very common in the southeast Mediterranean area, infect about a billion people and manifest prevalently with anemia so that they are usually diagnosed mostly by experienced hematologist on blood or bone marrow smear. On the other hand, infections are also a significant problem in patients affected by hematological malignancies. The blood is the primary vector of HIV infection, which otherwise manifest with symptoms related to a reduction in T lymphocytes. In turn, infections can favor the insurgency of hematological malignancies. The causative relationship between Epstein-Barr virus infection, Helicobacter pylori, hepatitis C virus, HIV and lymphoproliferative diseases is well known.
×
引用
GB/T 7714-2015
复制
MLA
复制
APA
复制
导出至
BibTeX EndNote RefMan NoteFirst NoteExpress
×
提示
您的信息不完整,为了账户安全,请先补充。
现在去补充
×
提示
您因"违规操作"
具体请查看互助需知
我知道了
×
提示
确定
请完成安全验证×
copy
已复制链接
快去分享给好友吧!
我知道了
右上角分享
点击右上角分享
0
联系我们:info@booksci.cn Book学术提供免费学术资源搜索服务,方便国内外学者检索中英文文献。致力于提供最便捷和优质的服务体验。 Copyright © 2023 布克学术 All rights reserved.
京ICP备2023020795号-1
ghs 京公网安备 11010802042870号
Book学术文献互助
Book学术文献互助群
群 号:604180095
Book学术官方微信