Comparison between SeHCAT test and clinical response to cholestyramine in patients with chronic diarrhea and high suspicion of bile acid malabsorption: A single-center prospective study

IF 2.3 3区 医学 Q3 GASTROENTEROLOGY & HEPATOLOGY
Annalisa Schiepatti, Irene Bossert, Marta Cincotta, Carolina Arianna Zanini, Stiliano Maimaris, Daniela D'Ambrosio, Giuseppe Trifirò, Federico Biagi
{"title":"Comparison between SeHCAT test and clinical response to cholestyramine in patients with chronic diarrhea and high suspicion of bile acid malabsorption: A single-center prospective study","authors":"Annalisa Schiepatti,&nbsp;Irene Bossert,&nbsp;Marta Cincotta,&nbsp;Carolina Arianna Zanini,&nbsp;Stiliano Maimaris,&nbsp;Daniela D'Ambrosio,&nbsp;Giuseppe Trifirò,&nbsp;Federico Biagi","doi":"10.1111/1751-2980.13289","DOIUrl":null,"url":null,"abstract":"<div>\n \n <section>\n \n <h3> Objectives</h3>\n \n <p>We aimed to evaluate the clinical response to cholestyramine in patients with functional chronic diarrhea and a high clinical suspicion of bile-acid diarrhea (BAD) investigated with 75-selenium homocholic acid taurine (SeHCAT) test.</p>\n </section>\n \n <section>\n \n <h3> Methods</h3>\n \n <p>Adult patients attending our outpatient clinic between January and December 2021 for chronic diarrhea with suspicion of BAD were proposed SeHCAT testing and a therapeutic trial of cholestyramine 4–8 g daily. Clinical response to cholestyramine was evaluated at 1, 3, 6, and 12 months. Clinical and demographic data were analyzed according to SeHCAT test results.</p>\n </section>\n \n <section>\n \n <h3> Results</h3>\n \n <p>Among the 50 patients with chronic diarrhea and clinical suspicion of BAD, 13 (26.0%) refused either SeHCAT testing or cholestyramine therapy. Finally, 37 patients (31 females, age 44 ± 14 years) agreed to undergo SeHCAT and were started on cholestyramine (median follow-up 14 months [interquartile range 6–16 months]). Initial response to cholestyramine was similar in patients with positive and negative SeHCAT test results, but improved over time in those with a positive test result. Long-term response (100% vs 65.2%, <i>P</i> = 0.02) and necessity of maintenance therapy for symptom control were more common in those with positive SeHCAT test result (71.4% vs 26.1%, <i>P</i> = 0.02). However, response to cholestyramine was also frequent in patients with a negative test result.</p>\n </section>\n \n <section>\n \n <h3> Conclusions</h3>\n \n <p>The SeHCAT test accurately identifies patients with BAD who benefit from long-term cholestyramine treatment. Nevertheless, cholestyramine may be also effective in patients with chronic diarrhea but negative SeHCAT test result.</p>\n </section>\n </div>","PeriodicalId":15564,"journal":{"name":"Journal of Digestive Diseases","volume":"25 5","pages":"279-284"},"PeriodicalIF":2.3000,"publicationDate":"2024-06-20","publicationTypes":"Journal Article","fieldsOfStudy":null,"isOpenAccess":false,"openAccessPdf":"https://onlinelibrary.wiley.com/doi/epdf/10.1111/1751-2980.13289","citationCount":"0","resultStr":null,"platform":"Semanticscholar","paperid":null,"PeriodicalName":"Journal of Digestive Diseases","FirstCategoryId":"3","ListUrlMain":"https://onlinelibrary.wiley.com/doi/10.1111/1751-2980.13289","RegionNum":3,"RegionCategory":"医学","ArticlePicture":[],"TitleCN":null,"AbstractTextCN":null,"PMCID":null,"EPubDate":"","PubModel":"","JCR":"Q3","JCRName":"GASTROENTEROLOGY & HEPATOLOGY","Score":null,"Total":0}
引用次数: 0

Abstract

Objectives

We aimed to evaluate the clinical response to cholestyramine in patients with functional chronic diarrhea and a high clinical suspicion of bile-acid diarrhea (BAD) investigated with 75-selenium homocholic acid taurine (SeHCAT) test.

Methods

Adult patients attending our outpatient clinic between January and December 2021 for chronic diarrhea with suspicion of BAD were proposed SeHCAT testing and a therapeutic trial of cholestyramine 4–8 g daily. Clinical response to cholestyramine was evaluated at 1, 3, 6, and 12 months. Clinical and demographic data were analyzed according to SeHCAT test results.

Results

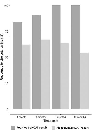
Among the 50 patients with chronic diarrhea and clinical suspicion of BAD, 13 (26.0%) refused either SeHCAT testing or cholestyramine therapy. Finally, 37 patients (31 females, age 44 ± 14 years) agreed to undergo SeHCAT and were started on cholestyramine (median follow-up 14 months [interquartile range 6–16 months]). Initial response to cholestyramine was similar in patients with positive and negative SeHCAT test results, but improved over time in those with a positive test result. Long-term response (100% vs 65.2%, P = 0.02) and necessity of maintenance therapy for symptom control were more common in those with positive SeHCAT test result (71.4% vs 26.1%, P = 0.02). However, response to cholestyramine was also frequent in patients with a negative test result.

Conclusions

The SeHCAT test accurately identifies patients with BAD who benefit from long-term cholestyramine treatment. Nevertheless, cholestyramine may be also effective in patients with chronic diarrhea but negative SeHCAT test result.

Abstract Image

高度怀疑胆汁酸吸收不良的慢性腹泻患者的 SeHCAT 试验与胆汁淤积症临床反应的比较:单中心前瞻性研究
方法2021年1月至12月期间,因慢性腹泻到我院门诊就诊并怀疑患有胆汁酸腹泻(BAD)的成人患者,建议进行SeHCAT测试和每天4-8克胆汁酸腹泻治疗试验。在 1、3、6 和 12 个月时对胆色素的临床反应进行评估。根据 SeHCAT 检测结果对临床和人口统计学数据进行了分析。结果在 50 名慢性腹泻且临床怀疑为 BAD 的患者中,有 13 人(26.0%)拒绝 SeHCAT 检测或胆碱酯酶治疗。最后,37 名患者(31 名女性,年龄为 44 ± 14 岁)同意接受 SeHCAT 检测,并开始服用胆司他明(中位随访时间为 14 个月(四分位间范围为 6-16 个月))。SeHCAT 检测结果呈阳性和阴性的患者对胆色素的初始反应相似,但检测结果呈阳性的患者的反应随时间推移有所改善。SeHCAT检测结果呈阳性的患者中,长期应答率(100% vs 65.2%,P = 0.02)和为控制症状而进行维持治疗的必要性更高(71.4% vs 26.1%,P = 0.02)。结论 SeHCAT 检测能准确识别出从长期胆司他敏治疗中获益的 BAD 患者。尽管如此,胆司他敏对SeHCAT检测结果阴性的慢性腹泻患者也可能有效。
本文章由计算机程序翻译,如有差异,请以英文原文为准。
求助全文
约1分钟内获得全文 求助全文
来源期刊
Journal of Digestive Diseases
Journal of Digestive Diseases 医学-胃肠肝病学
CiteScore
5.40
自引率
2.90%
发文量
81
审稿时长
6-12 weeks
期刊介绍: The Journal of Digestive Diseases is the official English-language journal of the Chinese Society of Gastroenterology. The journal is published twelve times per year and includes peer-reviewed original papers, review articles and commentaries concerned with research relating to the esophagus, stomach, small intestine, colon, liver, biliary tract and pancreas.
×
引用
GB/T 7714-2015
复制
MLA
复制
APA
复制
导出至
BibTeX EndNote RefMan NoteFirst NoteExpress
×
提示
您的信息不完整,为了账户安全,请先补充。
现在去补充
×
提示
您因"违规操作"
具体请查看互助需知
我知道了
×
提示
确定
请完成安全验证×
copy
已复制链接
快去分享给好友吧!
我知道了
右上角分享
点击右上角分享
0
联系我们:info@booksci.cn Book学术提供免费学术资源搜索服务,方便国内外学者检索中英文文献。致力于提供最便捷和优质的服务体验。 Copyright © 2023 布克学术 All rights reserved.
京ICP备2023020795号-1
ghs 京公网安备 11010802042870号
Book学术文献互助
Book学术文献互助群
群 号:604180095
Book学术官方微信