Use of Fludrocortisone for Hyperkalemia in Chronic Kidney Disease Not Yet on Dialysis.

Q3 Medicine
Electrolyte and Blood Pressure Pub Date : 2024-06-01 Epub Date: 2024-06-27 DOI:10.5049/EBP.2024.22.1.8
Eun Kyoung Lee, Won Seok Yang
{"title":"Use of Fludrocortisone for Hyperkalemia in Chronic Kidney Disease Not Yet on Dialysis.","authors":"Eun Kyoung Lee, Won Seok Yang","doi":"10.5049/EBP.2024.22.1.8","DOIUrl":null,"url":null,"abstract":"<p><strong>Background: </strong>Hyperkalemia is a frequent and potentially lethal complication of chronic kidney disease (CKD). We retrospectively examined the potassium-lowering effect of oral fludrocortisone and its adverse effects in hyperkalemic CKD patients not yet on dialysis.</p><p><strong>Methods: </strong>Thirty-three patients (23 men and 10 women, ages 69±14 years) were included. To control hyperkalemia at the outpatient clinic, twenty-one patients (Group 1) received fludrocortisone (0.05-0.1 mg/day) without changes in angiotensin II receptor blockers (ARBs) and calcium polystyrene sulfonate (CPS), while twelve patients (Group 2) were treated with fludrocortisone in addition to stopping ARBs and/or adding low-dose CPS.</p><p><strong>Results: </strong>Fludrocortisone was administered for a median of 169 days (interquartile range, 47-445). At the first follow-up after fludrocortisone administration, serum potassium dropped from 6.14±0.32 mEq/L to 4.52±1.06 mEq/L (p<0.001) in Group 1 and from 6.37±0.35 mEq/L to 4.08±0.74 mEq/L (p<0.01) in Group 2. Ten patients in Group 1 and five patients in Group 2 measured serum potassium levels at four outpatient visits before and after fludrocortisone administration, respectively. The frequency of serum potassium ≥6.0 mEq/L decreased from 19/40 (48%) to 2/40 (5%) (p<0.001) in Group 1 and from 11/20 (55%) to 0/20 (0%) (p<0.001) in Group 2. Eleven patients experienced sodium retention-related problems after fludrocortisone administration: 7 with worsening leg edema, 2 with pleural effusions, and 2 with pulmonary edema.</p><p><strong>Conclusion: </strong>In pre-dialysis CKD patients, fludrocortisone at low doses effectively reduced serum potassium levels; however, sodium retention was a common adverse effect.</p>","PeriodicalId":35352,"journal":{"name":"Electrolyte and Blood Pressure","volume":"22 1","pages":"8-15"},"PeriodicalIF":0.0000,"publicationDate":"2024-06-01","publicationTypes":"Journal Article","fieldsOfStudy":null,"isOpenAccess":false,"openAccessPdf":"https://www.ncbi.nlm.nih.gov/pmc/articles/PMC11214912/pdf/","citationCount":"0","resultStr":null,"platform":"Semanticscholar","paperid":null,"PeriodicalName":"Electrolyte and Blood Pressure","FirstCategoryId":"1085","ListUrlMain":"https://doi.org/10.5049/EBP.2024.22.1.8","RegionNum":0,"RegionCategory":null,"ArticlePicture":[],"TitleCN":null,"AbstractTextCN":null,"PMCID":null,"EPubDate":"2024/6/27 0:00:00","PubModel":"Epub","JCR":"Q3","JCRName":"Medicine","Score":null,"Total":0}
引用次数: 0

Abstract

Background: Hyperkalemia is a frequent and potentially lethal complication of chronic kidney disease (CKD). We retrospectively examined the potassium-lowering effect of oral fludrocortisone and its adverse effects in hyperkalemic CKD patients not yet on dialysis.

Methods: Thirty-three patients (23 men and 10 women, ages 69±14 years) were included. To control hyperkalemia at the outpatient clinic, twenty-one patients (Group 1) received fludrocortisone (0.05-0.1 mg/day) without changes in angiotensin II receptor blockers (ARBs) and calcium polystyrene sulfonate (CPS), while twelve patients (Group 2) were treated with fludrocortisone in addition to stopping ARBs and/or adding low-dose CPS.

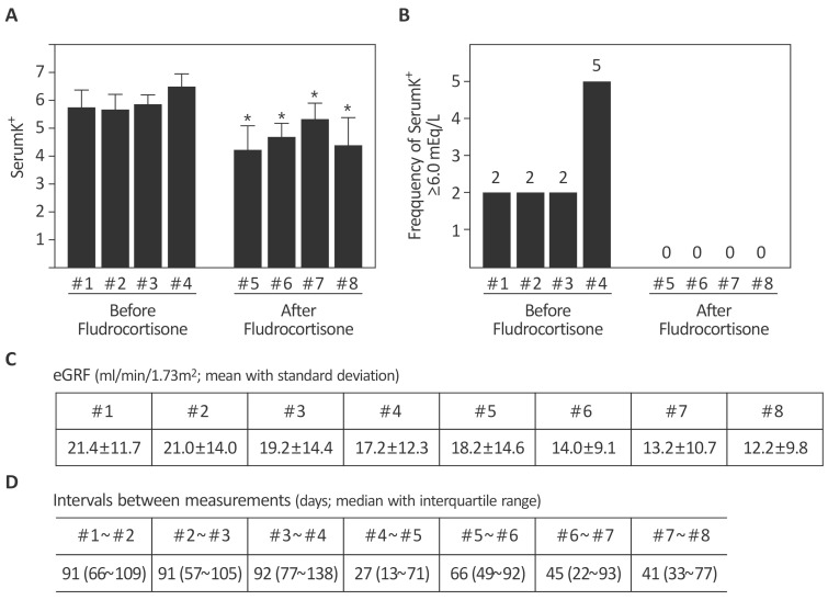
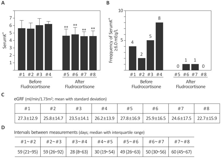
Results: Fludrocortisone was administered for a median of 169 days (interquartile range, 47-445). At the first follow-up after fludrocortisone administration, serum potassium dropped from 6.14±0.32 mEq/L to 4.52±1.06 mEq/L (p<0.001) in Group 1 and from 6.37±0.35 mEq/L to 4.08±0.74 mEq/L (p<0.01) in Group 2. Ten patients in Group 1 and five patients in Group 2 measured serum potassium levels at four outpatient visits before and after fludrocortisone administration, respectively. The frequency of serum potassium ≥6.0 mEq/L decreased from 19/40 (48%) to 2/40 (5%) (p<0.001) in Group 1 and from 11/20 (55%) to 0/20 (0%) (p<0.001) in Group 2. Eleven patients experienced sodium retention-related problems after fludrocortisone administration: 7 with worsening leg edema, 2 with pleural effusions, and 2 with pulmonary edema.

Conclusion: In pre-dialysis CKD patients, fludrocortisone at low doses effectively reduced serum potassium levels; however, sodium retention was a common adverse effect.

Abstract Image

Abstract Image

Abstract Image

使用氟氢可的松治疗尚未透析的慢性肾病患者的高钾血症。
背景:高钾血症是慢性肾脏病(CKD)的一种常见并可能致命的并发症。我们对尚未进行透析的高钾血症 CKD 患者口服氟氢可的松的降钾效果及其不良反应进行了回顾性研究:方法:纳入 33 例患者(男性 23 例,女性 10 例,年龄 69±14 岁)。为了在门诊控制高钾血症,21 名患者(第 1 组)接受氟氢可的松(0.05-0.1 毫克/天)治疗,同时不改变血管紧张素 II 受体阻滞剂(ARBs)和聚苯乙烯磺酸钙(CPS)的剂量;12 名患者(第 2 组)在停用 ARBs 和/或添加小剂量 CPS 的同时接受氟氢可的松治疗:氟氢可的松的用药时间中位数为169天(四分位数间距为47-445)。在氟氢可的松用药后的首次随访中,血清钾从 6.14±0.32 mEq/L 降至 4.52±1.06 mEq/L(pConclusion):在透析前的慢性肾脏病患者中,小剂量氟氢可的松可有效降低血清钾水平;但钠潴留是常见的不良反应。
本文章由计算机程序翻译,如有差异,请以英文原文为准。
求助全文
约1分钟内获得全文 求助全文
来源期刊
Electrolyte and Blood Pressure
Electrolyte and Blood Pressure Medicine-Internal Medicine
CiteScore
2.10
自引率
0.00%
发文量
0
×
引用
GB/T 7714-2015
复制
MLA
复制
APA
复制
导出至
BibTeX EndNote RefMan NoteFirst NoteExpress
×
提示
您的信息不完整,为了账户安全,请先补充。
现在去补充
×
提示
您因"违规操作"
具体请查看互助需知
我知道了
×
提示
确定
请完成安全验证×
copy
已复制链接
快去分享给好友吧!
我知道了
右上角分享
点击右上角分享
0
联系我们:info@booksci.cn Book学术提供免费学术资源搜索服务,方便国内外学者检索中英文文献。致力于提供最便捷和优质的服务体验。 Copyright © 2023 布克学术 All rights reserved.
京ICP备2023020795号-1
ghs 京公网安备 11010802042870号
Book学术文献互助
Book学术文献互助群
群 号:604180095
Book学术官方微信