Immersive Leadership Training for Physicians: Comparing Retrospective Pre- and Post-Test Virtual vs in-Person 6-Month Follow-Up of Learning.

IF 3.8 Q1 HEALTH POLICY & SERVICES
Journal of Healthcare Leadership Pub Date : 2024-06-24 eCollection Date: 2024-01-01 DOI:10.2147/JHL.S455105
Claudia S P Fernandez, Georgina Adatsi, Caroline N Hays, Cheryl C Noble, Michelle Abel-Shoup, AnnaMarie Connolly
{"title":"Immersive Leadership Training for Physicians: Comparing Retrospective Pre- and Post-Test Virtual vs in-Person 6-Month Follow-Up of Learning.","authors":"Claudia S P Fernandez, Georgina Adatsi, Caroline N Hays, Cheryl C Noble, Michelle Abel-Shoup, AnnaMarie Connolly","doi":"10.2147/JHL.S455105","DOIUrl":null,"url":null,"abstract":"<p><strong>Purpose: </strong>Little is known about the long-term efficacy of virtual leadership training for physicians. This study compares two highly similar groups of Obstetricians-Gynecologists' (OB-GYN) 6-month post-program changes in competency and skills after experiencing equity-centered leadership training in a virtual or in-person format.</p><p><strong>Participants and methods: </strong>Using a retrospective pre- and post-test method, we collected 6-month post-program data on 14 competencies for knowledge gains and skills use, comparing the virtual cohort (2021, n = 22) to the in-person cohort (2022, n = 33) in 55 total participants. Qualitative data from open-ended feedback questions informed on skills relevancy and professional impact since program participation.</p><p><strong>Results: </strong>Data indicate strong, statistically significant knowledge and skills retention in both cohorts, with 63% of the virtual and 85% of the in-person participants responding. Data indicate participants report the course having a positive impact on their healthcare provision and nearly all report they made changes to their communication and leadership approaches in the 6-months after the program. 59% of the virtual and 55% of the in-person cohorts report new leadership opportunities since their participation and that the course helped prepare them for those roles. Qualitative data support the need for the training, specific elements of the training these physicians found particularly helpful, and that the learning was \"sticky\", in that it stayed with them in the months post-program. There was a clear stated preference for in-person experiences.</p><p><strong>Conclusion: </strong>Either virtual or in-person leadership training can result in long-term (6-month) significant retention and application of knowledge and skills in physicians. While limited in size, this study suggests that in-person experiences seem to foster more effective bonds and also greater willingness to participate in post-program follow-up. Physicians find equity-centered leadership training to impact their subsequent communication and leadership practices and they report career benefits even in 6-month follow-up.</p>","PeriodicalId":44346,"journal":{"name":"Journal of Healthcare Leadership","volume":"16 ","pages":"235-254"},"PeriodicalIF":3.8000,"publicationDate":"2024-06-24","publicationTypes":"Journal Article","fieldsOfStudy":null,"isOpenAccess":false,"openAccessPdf":"https://www.ncbi.nlm.nih.gov/pmc/articles/PMC11213530/pdf/","citationCount":"0","resultStr":null,"platform":"Semanticscholar","paperid":null,"PeriodicalName":"Journal of Healthcare Leadership","FirstCategoryId":"1085","ListUrlMain":"https://doi.org/10.2147/JHL.S455105","RegionNum":0,"RegionCategory":null,"ArticlePicture":[],"TitleCN":null,"AbstractTextCN":null,"PMCID":null,"EPubDate":"2024/1/1 0:00:00","PubModel":"eCollection","JCR":"Q1","JCRName":"HEALTH POLICY & SERVICES","Score":null,"Total":0}
引用次数: 0

Abstract

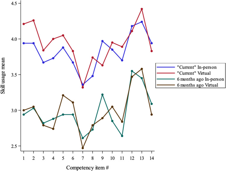
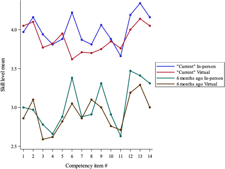
Purpose: Little is known about the long-term efficacy of virtual leadership training for physicians. This study compares two highly similar groups of Obstetricians-Gynecologists' (OB-GYN) 6-month post-program changes in competency and skills after experiencing equity-centered leadership training in a virtual or in-person format.

Participants and methods: Using a retrospective pre- and post-test method, we collected 6-month post-program data on 14 competencies for knowledge gains and skills use, comparing the virtual cohort (2021, n = 22) to the in-person cohort (2022, n = 33) in 55 total participants. Qualitative data from open-ended feedback questions informed on skills relevancy and professional impact since program participation.

Results: Data indicate strong, statistically significant knowledge and skills retention in both cohorts, with 63% of the virtual and 85% of the in-person participants responding. Data indicate participants report the course having a positive impact on their healthcare provision and nearly all report they made changes to their communication and leadership approaches in the 6-months after the program. 59% of the virtual and 55% of the in-person cohorts report new leadership opportunities since their participation and that the course helped prepare them for those roles. Qualitative data support the need for the training, specific elements of the training these physicians found particularly helpful, and that the learning was "sticky", in that it stayed with them in the months post-program. There was a clear stated preference for in-person experiences.

Conclusion: Either virtual or in-person leadership training can result in long-term (6-month) significant retention and application of knowledge and skills in physicians. While limited in size, this study suggests that in-person experiences seem to foster more effective bonds and also greater willingness to participate in post-program follow-up. Physicians find equity-centered leadership training to impact their subsequent communication and leadership practices and they report career benefits even in 6-month follow-up.

Abstract Image

Abstract Image

针对医生的沉浸式领导力培训:比较虚拟测试前和测试后的回顾性学习与面对面的 6 个月跟踪学习。
目的:人们对医生虚拟领导力培训的长期效果知之甚少。本研究比较了两组高度相似的妇产科医生(OB-GYN)在接受虚拟或现场形式的以公平为中心的领导力培训后 6 个月在能力和技能方面的变化:我们采用回顾性前测和后测的方法,在总共 55 名参与者中,比较了虚拟学员(2021 年,n = 22)和现场学员(2022 年,n = 33)在 14 项能力方面的知识增长和技能使用情况,收集了课程结束后 6 个月的数据。来自开放式反馈问题的定性数据说明了技能的相关性和参加项目后对专业的影响:结果:数据显示,两批学员的知识和技能保留率都很高,且在统计学上有显著意义,63% 的虚拟学员和 85% 的面授学员做出了回应。数据显示,学员们表示该课程对他们提供医疗保健服务产生了积极影响,几乎所有学员都表示,在课程结束后的 6 个月内,他们对自己的沟通和领导方法做出了改变。59% 的虚拟学员和 55% 的现场学员表示,参加课程后获得了新的领导机会,课程帮助他们为担任这些角色做好了准备。定性数据证明了培训的必要性,这些医生认为培训的具体内容特别有帮助,而且学习具有 "粘性",即在课程结束后的几个月内仍能保持。他们明确表示更喜欢亲身体验:无论是虚拟还是面对面的领导力培训,都能使医生长期(6 个月)保持并应用知识和技能。虽然规模有限,但这项研究表明,面对面的体验似乎能促进更有效的联系,也更愿意参与项目后的跟踪。医生们发现,以公平为中心的领导力培训会影响他们之后的沟通和领导力实践,即使在 6 个月的后续跟踪中,他们也会报告职业生涯中的收益。
本文章由计算机程序翻译,如有差异,请以英文原文为准。
求助全文
约1分钟内获得全文 求助全文
来源期刊
Journal of Healthcare Leadership
Journal of Healthcare Leadership HEALTH POLICY & SERVICES-
CiteScore
5.40
自引率
2.30%
发文量
27
审稿时长
16 weeks
期刊介绍: Efficient and successful modern healthcare depends on a growing group of professionals working together as an interdisciplinary team. However, many forces shape the delivery of healthcare; changes are being driven by the markets, transformations in concepts of health and wellbeing, technology and research and discovery. Dynamic leadership will guide these necessary transformations. The Journal of Healthcare Leadership is an international, peer-reviewed, open access journal focusing on leadership for the healthcare professions. The publication strives to amalgamate current and future healthcare professionals and managers by providing key insights into leadership progress and challenges to improve patient care. The journal aspires to inform key decision makers and those professionals with ambitions of leadership and management; it seeks to connect professionals who are engaged in similar endeavours and to provide wisdom from those working in other industries. Senior and trainee doctors, nurses and allied healthcare professionals, medical students, healthcare managers and allied leaders are invited to contribute to this publication
×
引用
GB/T 7714-2015
复制
MLA
复制
APA
复制
导出至
BibTeX EndNote RefMan NoteFirst NoteExpress
×
提示
您的信息不完整,为了账户安全,请先补充。
现在去补充
×
提示
您因"违规操作"
具体请查看互助需知
我知道了
×
提示
确定
请完成安全验证×
copy
已复制链接
快去分享给好友吧!
我知道了
右上角分享
点击右上角分享
0
联系我们:info@booksci.cn Book学术提供免费学术资源搜索服务,方便国内外学者检索中英文文献。致力于提供最便捷和优质的服务体验。 Copyright © 2023 布克学术 All rights reserved.
京ICP备2023020795号-1
ghs 京公网安备 11010802042870号
Book学术文献互助
Book学术文献互助群
群 号:604180095
Book学术官方微信