Extracellular Water Ratio and Phase Angle as Predictors of Exacerbation in Chronic Obstructive Pulmonary Disease.

IF 2.3 Q3 RESPIRATORY SYSTEM
An-Ni Xie, Wen-Jian Huang, Chih-Yuan Ko
{"title":"Extracellular Water Ratio and Phase Angle as Predictors of Exacerbation in Chronic Obstructive Pulmonary Disease.","authors":"An-Ni Xie, Wen-Jian Huang, Chih-Yuan Ko","doi":"10.3390/arm92030023","DOIUrl":null,"url":null,"abstract":"<p><strong>Background: </strong>Chronic obstructive pulmonary disease (COPD), characterized by high-energy metabolism, often leads to malnutrition and is linked to exacerbations. This study investigates the association of malnutrition-related body composition and handgrip strength changes with exacerbation frequencies in COPD patients.</p><p><strong>Methods: </strong>We analyzed 77 acute exacerbation COPD (AECOPD) patients and 82 stable COPD patients, categorized as frequent and infrequent exacerbators. Assessments included body composition, handgrip strength, nutritional risk, dyspnea scale, and COPD assessment.</p><p><strong>Results: </strong>Among AECOPD patients, there were 22 infrequent and 55 frequent exacerbators. Infrequent exacerbators showed better muscle parameters, extracellular water ratio, phase angle, and handgrip strength. Significant differences in intracellular water, total cellular water, protein, and body cell mass were observed between groups. Logistic regression indicated that extracellular water ratio (OR = 1.086) and phase angle (OR = 0.396) were independently associated with exacerbation risk. Thresholds for exacerbation risk were identified as 0.393 for extracellular water ratio and 4.85° for phase angle. In stable COPD, 13 frequent and 69 infrequent exacerbators were compared, showing no significant differences in weight, muscle, and adipose parameters, but significant differences in extracellular water ratio, phase angle, and handgrip strength.</p><p><strong>Conclusions: </strong>These findings suggest that increased exacerbations in COPD patients correlate with higher extracellular water ratios and lower phase angles.</p>","PeriodicalId":7391,"journal":{"name":"Advances in respiratory medicine","volume":"92 3","pages":"230-240"},"PeriodicalIF":2.3000,"publicationDate":"2024-05-31","publicationTypes":"Journal Article","fieldsOfStudy":null,"isOpenAccess":false,"openAccessPdf":"https://www.ncbi.nlm.nih.gov/pmc/articles/PMC11200775/pdf/","citationCount":"0","resultStr":null,"platform":"Semanticscholar","paperid":null,"PeriodicalName":"Advances in respiratory medicine","FirstCategoryId":"1085","ListUrlMain":"https://doi.org/10.3390/arm92030023","RegionNum":0,"RegionCategory":null,"ArticlePicture":[],"TitleCN":null,"AbstractTextCN":null,"PMCID":null,"EPubDate":"","PubModel":"","JCR":"Q3","JCRName":"RESPIRATORY SYSTEM","Score":null,"Total":0}
引用次数: 0

Abstract

Background: Chronic obstructive pulmonary disease (COPD), characterized by high-energy metabolism, often leads to malnutrition and is linked to exacerbations. This study investigates the association of malnutrition-related body composition and handgrip strength changes with exacerbation frequencies in COPD patients.

Methods: We analyzed 77 acute exacerbation COPD (AECOPD) patients and 82 stable COPD patients, categorized as frequent and infrequent exacerbators. Assessments included body composition, handgrip strength, nutritional risk, dyspnea scale, and COPD assessment.

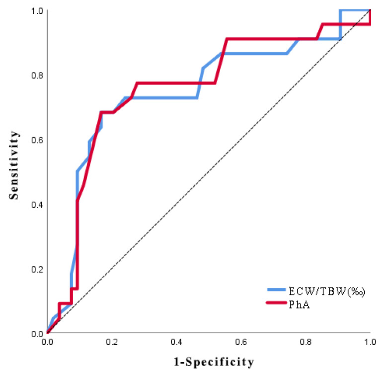
Results: Among AECOPD patients, there were 22 infrequent and 55 frequent exacerbators. Infrequent exacerbators showed better muscle parameters, extracellular water ratio, phase angle, and handgrip strength. Significant differences in intracellular water, total cellular water, protein, and body cell mass were observed between groups. Logistic regression indicated that extracellular water ratio (OR = 1.086) and phase angle (OR = 0.396) were independently associated with exacerbation risk. Thresholds for exacerbation risk were identified as 0.393 for extracellular water ratio and 4.85° for phase angle. In stable COPD, 13 frequent and 69 infrequent exacerbators were compared, showing no significant differences in weight, muscle, and adipose parameters, but significant differences in extracellular water ratio, phase angle, and handgrip strength.

Conclusions: These findings suggest that increased exacerbations in COPD patients correlate with higher extracellular water ratios and lower phase angles.

Abstract Image

Abstract Image

Abstract Image

细胞外水比率和相位角作为慢性阻塞性肺病病情恶化的预测指标
背景:慢性阻塞性肺病(COPD)以高能量代谢为特征,经常导致营养不良,并与病情加重有关。本研究调查了与营养不良相关的身体成分和握力变化与慢性阻塞性肺病患者病情加重频率的关系:我们分析了 77 名急性加重期慢性阻塞性肺病(AECOPD)患者和 82 名稳定期慢性阻塞性肺病患者,将其分为经常加重和不经常加重两类。评估内容包括身体成分、握力、营养风险、呼吸困难量表和慢性阻塞性肺病评估:结果:在 AECOPD 患者中,有 22 名不经常恶化者和 55 名经常恶化者。不经常恶化者的肌肉参数、细胞外水比率、相位角和握力都较好。各组之间在细胞内水、细胞总水、蛋白质和体细胞质量方面存在显著差异。逻辑回归结果表明,细胞外水分比(OR = 1.086)和相位角(OR = 0.396)与病情恶化风险独立相关。细胞外水分比和相位角的阈值分别为 0.393 和 4.85°。在稳定期慢性阻塞性肺病患者中,比较了13名经常恶化者和69名不经常恶化者,结果显示体重、肌肉和脂肪参数无显著差异,但细胞外水分比、相位角和手握强度有显著差异:这些研究结果表明,慢性阻塞性肺病患者病情加重与较高的细胞外水比率和较低的相位角有关。
本文章由计算机程序翻译,如有差异,请以英文原文为准。
求助全文
约1分钟内获得全文 求助全文
来源期刊
Advances in respiratory medicine
Advances in respiratory medicine RESPIRATORY SYSTEM-
CiteScore
2.60
自引率
0.00%
发文量
90
期刊介绍: "Advances in Respiratory Medicine" is a new international title for "Pneumonologia i Alergologia Polska", edited bimonthly and addressed to respiratory professionals. The Journal contains peer-reviewed original research papers, short communications, case-reports, recommendations of the Polish Respiratory Society concerning the diagnosis and treatment of lung diseases, editorials, postgraduate education articles, letters and book reviews in the field of pneumonology, allergology, oncology, immunology and infectious diseases. "Advances in Respiratory Medicine" is an open access, official journal of Polish Society of Lung Diseases, Polish Society of Allergology and National Research Institute of Tuberculosis and Lung Diseases.
×
引用
GB/T 7714-2015
复制
MLA
复制
APA
复制
导出至
BibTeX EndNote RefMan NoteFirst NoteExpress
×
提示
您的信息不完整,为了账户安全,请先补充。
现在去补充
×
提示
您因"违规操作"
具体请查看互助需知
我知道了
×
提示
确定
请完成安全验证×
copy
已复制链接
快去分享给好友吧!
我知道了
右上角分享
点击右上角分享
0
联系我们:info@booksci.cn Book学术提供免费学术资源搜索服务,方便国内外学者检索中英文文献。致力于提供最便捷和优质的服务体验。 Copyright © 2023 布克学术 All rights reserved.
京ICP备2023020795号-1
ghs 京公网安备 11010802042870号
Book学术文献互助
Book学术文献互助群
群 号:604180095
Book学术官方微信