THE VALUE OF PREOPERATIVE PROGNOSTIC NUTRITIONAL INDEX IN GASTRIC CANCER AFTER CURATIVE RESECTION.

IF 1.8
Francisco Tustumi, Marina Alessandra Pereira, André Safatle Lisak, Marcus Fernando Kodama Pertille Ramos, Ulysses Ribeiro Junior, André Roncon Dias
{"title":"THE VALUE OF PREOPERATIVE PROGNOSTIC NUTRITIONAL INDEX IN GASTRIC CANCER AFTER CURATIVE RESECTION.","authors":"Francisco Tustumi, Marina Alessandra Pereira, André Safatle Lisak, Marcus Fernando Kodama Pertille Ramos, Ulysses Ribeiro Junior, André Roncon Dias","doi":"10.1590/0102-6720202400012e1805","DOIUrl":null,"url":null,"abstract":"<p><strong>Background: </strong>Predicting short- and long-term outcomes of oncological therapies is crucial for developing effective treatment strategies. Malnutrition and the host immune status significantly affect outcomes in major surgeries.</p><p><strong>Aims: </strong>To assess the value of preoperative prognostic nutritional index (PNI) in predicting outcomes in gastric cancer patients.</p><p><strong>Methods: </strong>A retrospective cohort analysis was conducted on patients undergoing curative-intent surgery for gastric adenocarcinoma between 2009 and 2020. PNI was calculated as follows: PNI=(10 x albumin [g/dL])+(0.005 x lymphocytes [nº/mm3]). The optimal cutoff value was determined by the receiver operating characteristic curve (PNI cutoff=52), and patients were grouped into low and high PNI.</p><p><strong>Results: </strong>Of the 529 patients included, 315 (59.5%) were classified as a low-PNI group (PNI<52) and 214 (40.5%) as a high-PNI group (PNI≥52). Older age (p=0.050), male sex (p=0.003), American Society of Anesthesiologists score (ASA) III/IV (p=0.001), lower hemoglobin level (p<0.001), lower body mass index (p=0.001), higher neutrophil-lymphocyte ratio (p<0.001), D1 lymphadenectomy, advanced pT stage, pN+ and more advanced pTNM stage were related to low-PNI patient. Furthermore, 30-day (1.4 vs. 4.8%; p=0.036) and 90-day (3.3 vs. 10.5%; p=0.002) mortality rates were higher in low-PNI compared to high-PNI group. Disease-free and overall survival were worse in low-PNI patients compared to high-PNI (p<0.001 for both). ASA III/IV score, low-PNI, pT3/T4, and pN+ were independent risk factors for worse survival.</p><p><strong>Conclusions: </strong>Preoperative PNI can predict short- and long-term outcomes of patients with gastric cancer after curative gastrectomy. Low PNI is an independent factor related to worse disease-free and overall survival.</p>","PeriodicalId":72298,"journal":{"name":"Arquivos brasileiros de cirurgia digestiva : ABCD = Brazilian archives of digestive surgery","volume":"37 ","pages":"e1805"},"PeriodicalIF":1.8000,"publicationDate":"2024-06-17","publicationTypes":"Journal Article","fieldsOfStudy":null,"isOpenAccess":false,"openAccessPdf":"https://www.ncbi.nlm.nih.gov/pmc/articles/PMC11182628/pdf/","citationCount":"0","resultStr":null,"platform":"Semanticscholar","paperid":null,"PeriodicalName":"Arquivos brasileiros de cirurgia digestiva : ABCD = Brazilian archives of digestive surgery","FirstCategoryId":"1085","ListUrlMain":"https://doi.org/10.1590/0102-6720202400012e1805","RegionNum":0,"RegionCategory":null,"ArticlePicture":[],"TitleCN":null,"AbstractTextCN":null,"PMCID":null,"EPubDate":"2024/1/1 0:00:00","PubModel":"eCollection","JCR":"","JCRName":"","Score":null,"Total":0}
引用次数: 0

Abstract

Background: Predicting short- and long-term outcomes of oncological therapies is crucial for developing effective treatment strategies. Malnutrition and the host immune status significantly affect outcomes in major surgeries.

Aims: To assess the value of preoperative prognostic nutritional index (PNI) in predicting outcomes in gastric cancer patients.

Methods: A retrospective cohort analysis was conducted on patients undergoing curative-intent surgery for gastric adenocarcinoma between 2009 and 2020. PNI was calculated as follows: PNI=(10 x albumin [g/dL])+(0.005 x lymphocytes [nº/mm3]). The optimal cutoff value was determined by the receiver operating characteristic curve (PNI cutoff=52), and patients were grouped into low and high PNI.

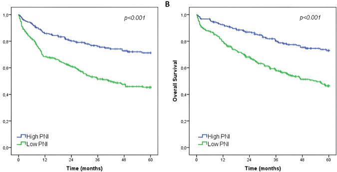
Results: Of the 529 patients included, 315 (59.5%) were classified as a low-PNI group (PNI<52) and 214 (40.5%) as a high-PNI group (PNI≥52). Older age (p=0.050), male sex (p=0.003), American Society of Anesthesiologists score (ASA) III/IV (p=0.001), lower hemoglobin level (p<0.001), lower body mass index (p=0.001), higher neutrophil-lymphocyte ratio (p<0.001), D1 lymphadenectomy, advanced pT stage, pN+ and more advanced pTNM stage were related to low-PNI patient. Furthermore, 30-day (1.4 vs. 4.8%; p=0.036) and 90-day (3.3 vs. 10.5%; p=0.002) mortality rates were higher in low-PNI compared to high-PNI group. Disease-free and overall survival were worse in low-PNI patients compared to high-PNI (p<0.001 for both). ASA III/IV score, low-PNI, pT3/T4, and pN+ were independent risk factors for worse survival.

Conclusions: Preoperative PNI can predict short- and long-term outcomes of patients with gastric cancer after curative gastrectomy. Low PNI is an independent factor related to worse disease-free and overall survival.

Abstract Image

Abstract Image

Abstract Image

胃癌根治性切除术后术前预后营养指数的价值。
背景:预测肿瘤治疗的短期和长期预后对于制定有效的治疗策略至关重要。目的:评估术前预后营养指数(PNI)在预测胃癌患者预后方面的价值:方法:对2009年至2020年间接受胃腺癌根治性手术的患者进行回顾性队列分析。PNI 的计算方法如下PNI=(10 x 白蛋白[g/dL])+(0.005 x 淋巴细胞[nº/mm3])。根据接收者操作特征曲线确定最佳临界值(PNI 临界值=52),并将患者分为低 PNI 和高 PNI 两组:结果:在纳入的 529 例患者中,有 315 例(59.5%)被归为低 PNI 组(PNIC 结论:术前 PNI 可以预测术后的预后:术前 PNI 可以预测胃癌根治性切除术后患者的短期和长期预后。低 PNI 是导致无病生存率和总生存率降低的一个独立因素。
本文章由计算机程序翻译,如有差异,请以英文原文为准。
求助全文
约1分钟内获得全文 求助全文
来源期刊
自引率
0.00%
发文量
0
×
引用
GB/T 7714-2015
复制
MLA
复制
APA
复制
导出至
BibTeX EndNote RefMan NoteFirst NoteExpress
×
提示
您的信息不完整,为了账户安全,请先补充。
现在去补充
×
提示
您因"违规操作"
具体请查看互助需知
我知道了
×
提示
确定
请完成安全验证×
copy
已复制链接
快去分享给好友吧!
我知道了
右上角分享
点击右上角分享
0
联系我们:info@booksci.cn Book学术提供免费学术资源搜索服务,方便国内外学者检索中英文文献。致力于提供最便捷和优质的服务体验。 Copyright © 2023 布克学术 All rights reserved.
京ICP备2023020795号-1
ghs 京公网安备 11010802042870号
Book学术文献互助
Book学术文献互助群
群 号:604180095
Book学术官方微信