Tofacitinib Monotherapy in Rheumatoid Arthritis: Clinical Trials and Real-World Data Contextualization of Patients, Efficacy, and Treatment Retention.

IF 1.7 Q3 RHEUMATOLOGY
Open Access Rheumatology-Research and Reviews Pub Date : 2024-06-11 eCollection Date: 2024-01-01 DOI:10.2147/OARRR.S446431
Janet Pope, Axel Finckh, Lucia Silva-Fernández, Peter Mandl, Haiyun Fan, Jose L Rivas, Monica Valderrama, Maria Montoro
{"title":"Tofacitinib Monotherapy in Rheumatoid Arthritis: Clinical Trials and Real-World Data Contextualization of Patients, Efficacy, and Treatment Retention.","authors":"Janet Pope, Axel Finckh, Lucia Silva-Fernández, Peter Mandl, Haiyun Fan, Jose L Rivas, Monica Valderrama, Maria Montoro","doi":"10.2147/OARRR.S446431","DOIUrl":null,"url":null,"abstract":"<p><strong>Purpose: </strong>To evaluate the characteristics, efficacy, and retention of tofacitinib monotherapy in patients with rheumatoid arthritis using data from randomized controlled trials (RCTs) and real-world data (RWD).</p><p><strong>Patients and methods: </strong>Three patient groups receiving tofacitinib 5 mg twice daily (BID) monotherapy were defined for post hoc RCT/long-term extension (LTE) analyses: (1) disease-modifying antirheumatic drug (DMARD)-inadequate responder patients from phase 3/3b/4 RCTs; (2) methotrexate-naïve patients from a phase 3 RCT; and (3) index study patients continuing in an LTE study. Outcomes included low disease activity (LDA)/remission rates defined by Clinical Disease Activity Index (CDAI); Disease Activity Score in 28 joints (DAS28-4), erythrocyte sedimentation rate; DAS28-4, C-reactive protein (DAS28-4[CRP]); and rates of/time to discontinuation due to lack of efficacy/adverse events. RWD were identified by non-systematic literature searches of PubMed, Embase, and American College of Rheumatology/European Alliance of Associations for Rheumatology congress abstracts (2012-2022).</p><p><strong>Results: </strong>RCT/LTE analyses included 1000/498 patients receiving tofacitinib 5 mg BID monotherapy. Baseline disease activity was high; patients tended to receive concomitant glucocorticoids; most were biologic DMARD-naïve. CDAI LDA rates were 32.2-62.2% for Groups 1/2 (months 3-12) and 64.0-70.7% for Group 3 (months 12-72). In Groups 1, 2, and 3, 4.0%, 15.6%, and 27.7% of patients, respectively, discontinued tofacitinib monotherapy due to lack of efficacy/adverse events. From 11 RWD publications, 16.6-66.1% received tofacitinib monotherapy. Consistent with clinical data, tofacitinib monotherapy effectiveness (month 6 CDAI LDA, 30.2%; month 3 DAS28-4[CRP] remission, 53.4%) and persistence were observed in RWD, with retention comparable to tofacitinib combination therapy.</p><p><strong>Conclusion: </strong>Tofacitinib monotherapy demonstrated clinically significant responses/persistence in RCT/LTE analyses, with effectiveness observed and persistence comparable to combination therapy in RWD.</p><p><strong>Trial registration: </strong>NCT00814307, NCT02187055, NCT01039688, NCT00413699, NCT00661661 (ClinicalTrials.gov).</p>","PeriodicalId":45545,"journal":{"name":"Open Access Rheumatology-Research and Reviews","volume":"16 ","pages":"115-126"},"PeriodicalIF":1.7000,"publicationDate":"2024-06-11","publicationTypes":"Journal Article","fieldsOfStudy":null,"isOpenAccess":false,"openAccessPdf":"https://www.ncbi.nlm.nih.gov/pmc/articles/PMC11179645/pdf/","citationCount":"0","resultStr":null,"platform":"Semanticscholar","paperid":null,"PeriodicalName":"Open Access Rheumatology-Research and Reviews","FirstCategoryId":"1085","ListUrlMain":"https://doi.org/10.2147/OARRR.S446431","RegionNum":0,"RegionCategory":null,"ArticlePicture":[],"TitleCN":null,"AbstractTextCN":null,"PMCID":null,"EPubDate":"2024/1/1 0:00:00","PubModel":"eCollection","JCR":"Q3","JCRName":"RHEUMATOLOGY","Score":null,"Total":0}
引用次数: 0

Abstract

Purpose: To evaluate the characteristics, efficacy, and retention of tofacitinib monotherapy in patients with rheumatoid arthritis using data from randomized controlled trials (RCTs) and real-world data (RWD).

Patients and methods: Three patient groups receiving tofacitinib 5 mg twice daily (BID) monotherapy were defined for post hoc RCT/long-term extension (LTE) analyses: (1) disease-modifying antirheumatic drug (DMARD)-inadequate responder patients from phase 3/3b/4 RCTs; (2) methotrexate-naïve patients from a phase 3 RCT; and (3) index study patients continuing in an LTE study. Outcomes included low disease activity (LDA)/remission rates defined by Clinical Disease Activity Index (CDAI); Disease Activity Score in 28 joints (DAS28-4), erythrocyte sedimentation rate; DAS28-4, C-reactive protein (DAS28-4[CRP]); and rates of/time to discontinuation due to lack of efficacy/adverse events. RWD were identified by non-systematic literature searches of PubMed, Embase, and American College of Rheumatology/European Alliance of Associations for Rheumatology congress abstracts (2012-2022).

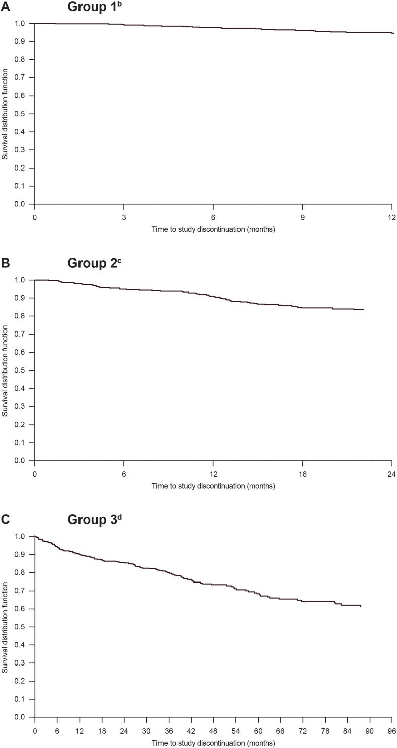
Results: RCT/LTE analyses included 1000/498 patients receiving tofacitinib 5 mg BID monotherapy. Baseline disease activity was high; patients tended to receive concomitant glucocorticoids; most were biologic DMARD-naïve. CDAI LDA rates were 32.2-62.2% for Groups 1/2 (months 3-12) and 64.0-70.7% for Group 3 (months 12-72). In Groups 1, 2, and 3, 4.0%, 15.6%, and 27.7% of patients, respectively, discontinued tofacitinib monotherapy due to lack of efficacy/adverse events. From 11 RWD publications, 16.6-66.1% received tofacitinib monotherapy. Consistent with clinical data, tofacitinib monotherapy effectiveness (month 6 CDAI LDA, 30.2%; month 3 DAS28-4[CRP] remission, 53.4%) and persistence were observed in RWD, with retention comparable to tofacitinib combination therapy.

Conclusion: Tofacitinib monotherapy demonstrated clinically significant responses/persistence in RCT/LTE analyses, with effectiveness observed and persistence comparable to combination therapy in RWD.

Trial registration: NCT00814307, NCT02187055, NCT01039688, NCT00413699, NCT00661661 (ClinicalTrials.gov).

Abstract Image

Abstract Image

Abstract Image

类风湿性关节炎的托法替尼单药治疗:临床试验和真实世界数据:患者、疗效和治疗保留率的内涵。
目的:利用来自随机对照试验(RCT)和真实世界数据(RWD)的数据,评估类风湿关节炎患者接受托法替尼单药治疗的特点、疗效和保留率:定义了接受托法替尼5毫克、每日两次(BID)单药治疗的三组患者,用于RCT/长期延长期(LTE)的事后分析:(1)3/3b/4期RCT的疾病修饰抗风湿药(DMARD)反应不足患者;(2)3期RCT的甲氨蝶呤无效患者;(3)LTE研究中继续接受指标研究的患者。研究结果包括由临床疾病活动指数(CDAI)、28个关节疾病活动评分(DAS28-4)、红细胞沉降率、DAS28-4、C反应蛋白(DAS28-4[CRP])定义的低疾病活动率(LDA)/缓解率;以及因疗效不佳/不良事件而停药的比率/时间。通过对 PubMed、Embase 和美国风湿病学会/欧洲风湿病学协会联盟大会摘要(2012-2022 年)进行非系统性文献检索,确定了 RWD:RCT/LTE分析包括1000/498例接受托法替尼5毫克BID单药治疗的患者。基线疾病活动度较高;患者倾向于同时接受糖皮质激素治疗;大多数患者对生物制剂DMARD一无所知。1/2组(3-12个月)的CDAI LDA率为32.2%-62.2%,3组(12-72个月)的CDAI LDA率为64.0%-70.7%。在第1、2和3组中,分别有4.0%、15.6%和27.7%的患者因疗效不佳/不良事件而停止托法替尼单药治疗。在11篇RWD文献中,16.6%-66.1%的患者接受了托法替尼单药治疗。与临床数据一致,在RWD中观察到了托法替尼单药治疗的有效性(第6个月CDAI LDA,30.2%;第3个月DAS28-4[CRP]缓解,53.4%)和持续性,其保留率与托法替尼联合疗法相当:结论:在RCT/LTE分析中,托法替尼单药治疗显示出具有临床意义的应答/持续性,在RWD中观察到有效性,持续性与联合疗法相当:试验注册:NCT00814307、NCT02187055、NCT01039688、NCT00413699、NCT00661661(ClinicalTrials.gov)。
本文章由计算机程序翻译,如有差异,请以英文原文为准。
求助全文
约1分钟内获得全文 求助全文
来源期刊
CiteScore
3.80
自引率
0.00%
发文量
34
审稿时长
16 weeks
×
引用
GB/T 7714-2015
复制
MLA
复制
APA
复制
导出至
BibTeX EndNote RefMan NoteFirst NoteExpress
×
提示
您的信息不完整,为了账户安全,请先补充。
现在去补充
×
提示
您因"违规操作"
具体请查看互助需知
我知道了
×
提示
确定
请完成安全验证×
copy
已复制链接
快去分享给好友吧!
我知道了
右上角分享
点击右上角分享
0
联系我们:info@booksci.cn Book学术提供免费学术资源搜索服务,方便国内外学者检索中英文文献。致力于提供最便捷和优质的服务体验。 Copyright © 2023 布克学术 All rights reserved.
京ICP备2023020795号-1
ghs 京公网安备 11010802042870号
Book学术文献互助
Book学术文献互助群
群 号:604180095
Book学术官方微信