Health Care System Overstretch and In-Hospital Mortality of Intubated Patients With COVID-19 in Greece From September 2020 to April 2022: Updated Retrospective Cohort Study.

JMIRx med Pub Date : 2024-06-10 DOI:10.2196/43341
Theodore Lytras
{"title":"Health Care System Overstretch and In-Hospital Mortality of Intubated Patients With COVID-19 in Greece From September 2020 to April 2022: Updated Retrospective Cohort Study.","authors":"Theodore Lytras","doi":"10.2196/43341","DOIUrl":null,"url":null,"abstract":"<p><strong>Background: </strong>Our previous analysis showed how in-hospital mortality of intubated patients with COVID-19 in Greece is adversely affected by patient load and regional disparities.</p><p><strong>Objective: </strong>We aimed to update this analysis to include the large Delta and Omicron waves that affected Greece during 2021-2022, while also considering the effect of vaccination on in-hospital mortality.</p><p><strong>Methods: </strong>Anonymized surveillance data were analyzed from all patients with COVID-19 in Greece intubated between September 1, 2020, and April 4, 2022, and followed up until May 17, 2022. Time-split Poisson regression was used to estimate the hazard of dying as a function of fixed and time-varying covariates: the daily total count of intubated patients with COVID-19 in Greece, age, sex, COVID-19 vaccination status, region of the hospital (Attica, Thessaloniki, or rest of Greece), being in an intensive care unit, and an indicator for the period from September 1, 2021.</p><p><strong>Results: </strong>A total of 14,011 intubated patients with COVID-19 were analyzed, of whom 10,466 (74.7%) died. Mortality was significantly higher with a load of 400-499 intubated patients, with an adjusted hazard ratio (HR) of 1.22 (95% CI 1.09-1.38), rising progressively up to 1.48 (95% CI 1.31-1.69) for a load of ≥800 patients. Hospitalization away from the Attica region was also independently associated with increased mortality (Thessaloniki: HR 1.22, 95% CI 1.13-1.32; rest of Greece: HR 1.64, 95% CI 1.54-1.75), as was hospitalization after September 1, 2021 (HR 1.21, 95% CI 1.09-1.36). COVID-19 vaccination did not affect the mortality of these already severely ill patients, the majority of whom (11,944/14,011, 85.2%) were unvaccinated.</p><p><strong>Conclusions: </strong>Our results confirm that in-hospital mortality of severely ill patients with COVID-19 is adversely affected by high patient load and regional disparities, and point to a further significant deterioration after September 1, 2021, especially away from Attica and Thessaloniki. This highlights the need for urgent strengthening of health care services in Greece, ensuring equitable and high-quality care for all.</p>","PeriodicalId":73558,"journal":{"name":"JMIRx med","volume":"5 ","pages":"e43341"},"PeriodicalIF":0.0000,"publicationDate":"2024-06-10","publicationTypes":"Journal Article","fieldsOfStudy":null,"isOpenAccess":false,"openAccessPdf":"https://www.ncbi.nlm.nih.gov/pmc/articles/PMC11185283/pdf/","citationCount":"0","resultStr":null,"platform":"Semanticscholar","paperid":null,"PeriodicalName":"JMIRx med","FirstCategoryId":"1085","ListUrlMain":"https://doi.org/10.2196/43341","RegionNum":0,"RegionCategory":null,"ArticlePicture":[],"TitleCN":null,"AbstractTextCN":null,"PMCID":null,"EPubDate":"","PubModel":"","JCR":"","JCRName":"","Score":null,"Total":0}
引用次数: 0

Abstract

Background: Our previous analysis showed how in-hospital mortality of intubated patients with COVID-19 in Greece is adversely affected by patient load and regional disparities.

Objective: We aimed to update this analysis to include the large Delta and Omicron waves that affected Greece during 2021-2022, while also considering the effect of vaccination on in-hospital mortality.

Methods: Anonymized surveillance data were analyzed from all patients with COVID-19 in Greece intubated between September 1, 2020, and April 4, 2022, and followed up until May 17, 2022. Time-split Poisson regression was used to estimate the hazard of dying as a function of fixed and time-varying covariates: the daily total count of intubated patients with COVID-19 in Greece, age, sex, COVID-19 vaccination status, region of the hospital (Attica, Thessaloniki, or rest of Greece), being in an intensive care unit, and an indicator for the period from September 1, 2021.

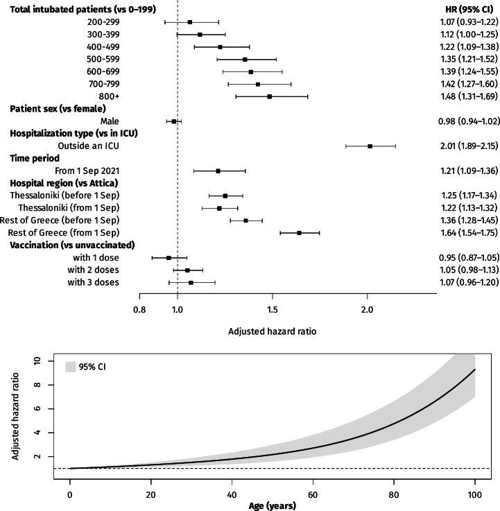
Results: A total of 14,011 intubated patients with COVID-19 were analyzed, of whom 10,466 (74.7%) died. Mortality was significantly higher with a load of 400-499 intubated patients, with an adjusted hazard ratio (HR) of 1.22 (95% CI 1.09-1.38), rising progressively up to 1.48 (95% CI 1.31-1.69) for a load of ≥800 patients. Hospitalization away from the Attica region was also independently associated with increased mortality (Thessaloniki: HR 1.22, 95% CI 1.13-1.32; rest of Greece: HR 1.64, 95% CI 1.54-1.75), as was hospitalization after September 1, 2021 (HR 1.21, 95% CI 1.09-1.36). COVID-19 vaccination did not affect the mortality of these already severely ill patients, the majority of whom (11,944/14,011, 85.2%) were unvaccinated.

Conclusions: Our results confirm that in-hospital mortality of severely ill patients with COVID-19 is adversely affected by high patient load and regional disparities, and point to a further significant deterioration after September 1, 2021, especially away from Attica and Thessaloniki. This highlights the need for urgent strengthening of health care services in Greece, ensuring equitable and high-quality care for all.

Abstract Image

Abstract Image

2020 年 9 月至 2022 年 4 月希腊医疗系统过度扩张与 COVID-19 插管患者的院内死亡率:最新回顾性队列研究。
背景:我们之前的分析表明,在希腊,COVID-19插管患者的院内死亡率受到患者负荷和地区差异的不利影响:我们旨在更新这一分析,以纳入 2021-2022 年期间影响希腊的德尔塔波和欧米克隆波,同时考虑疫苗接种对院内死亡率的影响:我们对 2020 年 9 月 1 日至 2022 年 4 月 4 日期间在希腊插管的所有 COVID-19 患者的匿名监测数据进行了分析,并随访至 2022 年 5 月 17 日。采用时间分割泊松回归估算死亡风险与固定和时变协变量的函数关系:希腊COVID-19插管患者的每日总人数、年龄、性别、COVID-19疫苗接种情况、医院所在地区(阿提卡、塞萨洛尼基或希腊其他地区)、是否在重症监护室以及2021年9月1日起的指标:结果:共分析了 14011 名 COVID-19 插管患者,其中 10466 人(74.7%)死亡。插管患者人数在400-499人之间时,死亡率明显较高,调整后的危险比(HR)为1.22(95% CI 1.09-1.38),插管患者人数≥800人时,死亡率逐渐升高至1.48(95% CI 1.31-1.69)。在阿提卡大区以外的地方住院也与死亡率的升高有关(塞萨洛尼基:HR 1.22,95% CI:1.31-1.69):HR为1.22,95% CI为1.13-1.32;希腊其他地区:HR为1.64,95% CI为1.54-1.75),2021年9月1日之后住院也与死亡率增加有关(HR为1.21,95% CI为1.09-1.36)。接种COVID-19疫苗不会影响这些重症患者的死亡率,其中大部分(11,944/14,011,85.2%)患者未接种疫苗:我们的研究结果证实,COVID-19 重症患者的院内死亡率受到了高患者负荷和地区差异的不利影响,并表明在 2021 年 9 月 1 日之后,尤其是在阿提卡和塞萨洛尼基以外的地区,情况会进一步显著恶化。这突出表明,希腊急需加强医疗服务,确保为所有人提供公平和高质量的医疗服务。
本文章由计算机程序翻译,如有差异,请以英文原文为准。
求助全文
约1分钟内获得全文 求助全文
来源期刊
自引率
0.00%
发文量
0
×
引用
GB/T 7714-2015
复制
MLA
复制
APA
复制
导出至
BibTeX EndNote RefMan NoteFirst NoteExpress
×
提示
您的信息不完整,为了账户安全,请先补充。
现在去补充
×
提示
您因"违规操作"
具体请查看互助需知
我知道了
×
提示
确定
请完成安全验证×
copy
已复制链接
快去分享给好友吧!
我知道了
右上角分享
点击右上角分享
0
联系我们:info@booksci.cn Book学术提供免费学术资源搜索服务,方便国内外学者检索中英文文献。致力于提供最便捷和优质的服务体验。 Copyright © 2023 布克学术 All rights reserved.
京ICP备2023020795号-1
ghs 京公网安备 11010802042870号
Book学术文献互助
Book学术文献互助群
群 号:604180095
Book学术官方微信