Deep Learning-Based Automatic Classification of Ischemic Stroke Subtype Using Diffusion-Weighted Images.

IF 8.6 1区 医学 Q1 CLINICAL NEUROLOGY
Journal of Stroke Pub Date : 2024-05-01 Epub Date: 2024-05-30 DOI:10.5853/jos.2024.00535
Wi-Sun Ryu, Dawid Schellingerhout, Hoyoun Lee, Keon-Joo Lee, Chi Kyung Kim, Beom Joon Kim, Jong-Won Chung, Jae-Sung Lim, Joon-Tae Kim, Dae-Hyun Kim, Jae-Kwan Cha, Leonard Sunwoo, Dongmin Kim, Sang-Il Suh, Oh Young Bang, Hee-Joon Bae, Dong-Eog Kim
{"title":"Deep Learning-Based Automatic Classification of Ischemic Stroke Subtype Using Diffusion-Weighted Images.","authors":"Wi-Sun Ryu, Dawid Schellingerhout, Hoyoun Lee, Keon-Joo Lee, Chi Kyung Kim, Beom Joon Kim, Jong-Won Chung, Jae-Sung Lim, Joon-Tae Kim, Dae-Hyun Kim, Jae-Kwan Cha, Leonard Sunwoo, Dongmin Kim, Sang-Il Suh, Oh Young Bang, Hee-Joon Bae, Dong-Eog Kim","doi":"10.5853/jos.2024.00535","DOIUrl":null,"url":null,"abstract":"<p><strong>Background and purpose: </strong>Accurate classification of ischemic stroke subtype is important for effective secondary prevention of stroke. We used diffusion-weighted image (DWI) and atrial fibrillation (AF) data to train a deep learning algorithm to classify stroke subtype.</p><p><strong>Methods: </strong>Model development was done in 2,988 patients with ischemic stroke from three centers by using U-net for infarct segmentation and EfficientNetV2 for subtype classification. Experienced neurologists (n=5) determined subtypes for external test datasets, while establishing a consensus for clinical trial datasets. Automatically segmented infarcts were fed into the model (DWI-only algorithm). Subsequently, another model was trained, with AF included as a categorical variable (DWI+AF algorithm). These models were tested: (1) internally against the opinion of the labeling experts, (2) against fresh external DWI data, and (3) against clinical trial dataset.</p><p><strong>Results: </strong>In the training-and-validation datasets, the mean (±standard deviation) age was 68.0±12.5 (61.1% male). In internal testing, compared with the experts, the DWI-only and the DWI+AF algorithms respectively achieved moderate (65.3%) and near-strong (79.1%) agreement. In external testing, both algorithms again showed good agreements (59.3%-60.7% and 73.7%-74.0%, respectively). In the clinical trial dataset, compared with the expert consensus, percentage agreements and Cohen's kappa were respectively 58.1% and 0.34 for the DWI-only vs. 72.9% and 0.57 for the DWI+AF algorithms. The corresponding values between experts were comparable (76.0% and 0.61) to the DWI+AF algorithm.</p><p><strong>Conclusion: </strong>Our model trained on a large dataset of DWI (both with or without AF information) was able to classify ischemic stroke subtypes comparable to a consensus of stroke experts.</p>","PeriodicalId":17135,"journal":{"name":"Journal of Stroke","volume":"26 2","pages":"300-311"},"PeriodicalIF":8.6000,"publicationDate":"2024-05-01","publicationTypes":"Journal Article","fieldsOfStudy":null,"isOpenAccess":false,"openAccessPdf":"https://www.ncbi.nlm.nih.gov/pmc/articles/PMC11164582/pdf/","citationCount":"0","resultStr":null,"platform":"Semanticscholar","paperid":null,"PeriodicalName":"Journal of Stroke","FirstCategoryId":"3","ListUrlMain":"https://doi.org/10.5853/jos.2024.00535","RegionNum":1,"RegionCategory":"医学","ArticlePicture":[],"TitleCN":null,"AbstractTextCN":null,"PMCID":null,"EPubDate":"2024/5/30 0:00:00","PubModel":"Epub","JCR":"Q1","JCRName":"CLINICAL NEUROLOGY","Score":null,"Total":0}
引用次数: 0

Abstract

Background and purpose: Accurate classification of ischemic stroke subtype is important for effective secondary prevention of stroke. We used diffusion-weighted image (DWI) and atrial fibrillation (AF) data to train a deep learning algorithm to classify stroke subtype.

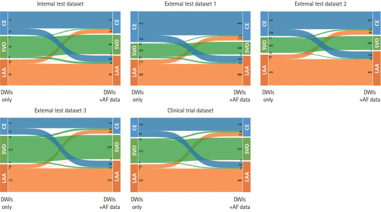
Methods: Model development was done in 2,988 patients with ischemic stroke from three centers by using U-net for infarct segmentation and EfficientNetV2 for subtype classification. Experienced neurologists (n=5) determined subtypes for external test datasets, while establishing a consensus for clinical trial datasets. Automatically segmented infarcts were fed into the model (DWI-only algorithm). Subsequently, another model was trained, with AF included as a categorical variable (DWI+AF algorithm). These models were tested: (1) internally against the opinion of the labeling experts, (2) against fresh external DWI data, and (3) against clinical trial dataset.

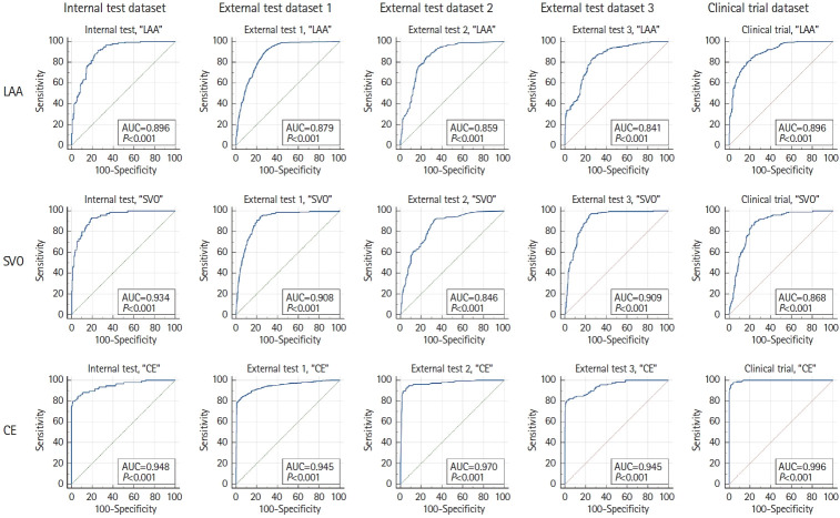
Results: In the training-and-validation datasets, the mean (±standard deviation) age was 68.0±12.5 (61.1% male). In internal testing, compared with the experts, the DWI-only and the DWI+AF algorithms respectively achieved moderate (65.3%) and near-strong (79.1%) agreement. In external testing, both algorithms again showed good agreements (59.3%-60.7% and 73.7%-74.0%, respectively). In the clinical trial dataset, compared with the expert consensus, percentage agreements and Cohen's kappa were respectively 58.1% and 0.34 for the DWI-only vs. 72.9% and 0.57 for the DWI+AF algorithms. The corresponding values between experts were comparable (76.0% and 0.61) to the DWI+AF algorithm.

Conclusion: Our model trained on a large dataset of DWI (both with or without AF information) was able to classify ischemic stroke subtypes comparable to a consensus of stroke experts.

Abstract Image

Abstract Image

Abstract Image

利用扩散加权图像进行基于深度学习的缺血性中风亚型自动分类
背景和目的:缺血性卒中亚型的准确分类对于有效的卒中二级预防非常重要。我们利用弥散加权成像(DWI)和心房颤动(AF)数据训练了一种深度学习算法来对中风亚型进行分类:使用 U-net 进行梗死分割,使用 EfficientNetV2 进行亚型分类,对来自三个中心的 2988 名缺血性脑卒中患者进行了模型开发。经验丰富的神经学家(5 人)为外部测试数据集确定亚型,同时为临床试验数据集达成共识。自动分割的梗塞被输入模型(仅 DWI 算法)。随后,训练了另一个模型,将房颤作为一个分类变量(DWI+AF 算法)。对这些模型进行了测试:(1) 与标注专家的意见进行内部测试;(2) 与新鲜的外部 DWI 数据进行测试;(3) 与临床试验数据集进行测试:在训练和验证数据集中,平均年龄(±标准差)为 68.0±12.5(61.1% 为男性)。在内部测试中,与专家相比,纯 DWI 算法和 DWI+AF 算法分别达到了中等(65.3%)和接近强(79.1%)的一致性。在外部测试中,两种算法再次显示出良好的一致性(分别为 59.3%-60.7% 和 73.7%-74.0% )。在临床试验数据集中,与专家共识相比,纯 DWI 算法的一致性百分比和 Cohen's kappa 分别为 58.1%和 0.34,而 DWI+AF 算法的一致性百分比和 Cohen's kappa 分别为 72.9%和 0.57。专家之间的相应数值(76.0% 和 0.61)与 DWI+AF 算法相当:结论:我们在大型 DWI 数据集(含或不含房颤信息)上训练的模型能够对缺血性卒中亚型进行分类,与卒中专家的共识相当。
本文章由计算机程序翻译,如有差异,请以英文原文为准。
求助全文
约1分钟内获得全文 求助全文
来源期刊
Journal of Stroke
Journal of Stroke CLINICAL NEUROLOGYPERIPHERAL VASCULAR DISE-PERIPHERAL VASCULAR DISEASE
CiteScore
11.00
自引率
3.70%
发文量
52
审稿时长
12 weeks
期刊介绍: The Journal of Stroke (JoS) is a peer-reviewed publication that focuses on clinical and basic investigation of cerebral circulation and associated diseases in stroke-related fields. Its aim is to enhance patient management, education, clinical or experimental research, and professionalism. The journal covers various areas of stroke research, including pathophysiology, risk factors, symptomatology, imaging, treatment, and rehabilitation. Basic science research is included when it provides clinically relevant information. The JoS is particularly interested in studies that highlight characteristics of stroke in the Asian population, as they are underrepresented in the literature. The JoS had an impact factor of 8.2 in 2022 and aims to provide high-quality research papers to readers while maintaining a strong reputation. It is published three times a year, on the last day of January, May, and September. The online version of the journal is considered the main version as it includes all available content. Supplementary issues are occasionally published. The journal is indexed in various databases, including SCI(E), Pubmed, PubMed Central, Scopus, KoreaMed, Komci, Synapse, Science Central, Google Scholar, and DOI/Crossref. It is also the official journal of the Korean Stroke Society since 1999, with the abbreviated title J Stroke.
×
引用
GB/T 7714-2015
复制
MLA
复制
APA
复制
导出至
BibTeX EndNote RefMan NoteFirst NoteExpress
×
提示
您的信息不完整,为了账户安全,请先补充。
现在去补充
×
提示
您因"违规操作"
具体请查看互助需知
我知道了
×
提示
确定
请完成安全验证×
copy
已复制链接
快去分享给好友吧!
我知道了
右上角分享
点击右上角分享
0
联系我们:info@booksci.cn Book学术提供免费学术资源搜索服务,方便国内外学者检索中英文文献。致力于提供最便捷和优质的服务体验。 Copyright © 2023 布克学术 All rights reserved.
京ICP备2023020795号-1
ghs 京公网安备 11010802042870号
Book学术文献互助
Book学术文献互助群
群 号:604180095
Book学术官方微信