A Multimodal Ensemble Deep Learning Model for Functional Outcome Prognosis of Stroke Patients.

IF 8.6 1区 医学 Q1 CLINICAL NEUROLOGY
Journal of Stroke Pub Date : 2024-05-01 Epub Date: 2024-05-30 DOI:10.5853/jos.2023.03426
Hye-Soo Jung, Eun-Jae Lee, Dae-Il Chang, Han Jin Cho, Jun Lee, Jae-Kwan Cha, Man-Seok Park, Kyung Ho Yu, Jin-Man Jung, Seong Hwan Ahn, Dong-Eog Kim, Ju Hun Lee, Keun-Sik Hong, Sung-Il Sohn, Kyung-Pil Park, Sun U Kwon, Jong S Kim, Jun Young Chang, Bum Joon Kim, Dong-Wha Kang
{"title":"A Multimodal Ensemble Deep Learning Model for Functional Outcome Prognosis of Stroke Patients.","authors":"Hye-Soo Jung, Eun-Jae Lee, Dae-Il Chang, Han Jin Cho, Jun Lee, Jae-Kwan Cha, Man-Seok Park, Kyung Ho Yu, Jin-Man Jung, Seong Hwan Ahn, Dong-Eog Kim, Ju Hun Lee, Keun-Sik Hong, Sung-Il Sohn, Kyung-Pil Park, Sun U Kwon, Jong S Kim, Jun Young Chang, Bum Joon Kim, Dong-Wha Kang","doi":"10.5853/jos.2023.03426","DOIUrl":null,"url":null,"abstract":"<p><strong>Background and purpose: </strong>The accurate prediction of functional outcomes in patients with acute ischemic stroke (AIS) is crucial for informed clinical decision-making and optimal resource utilization. As such, this study aimed to construct an ensemble deep learning model that integrates multimodal imaging and clinical data to predict the 90-day functional outcomes after AIS.</p><p><strong>Methods: </strong>We used data from the Korean Stroke Neuroimaging Initiative database, a prospective multicenter stroke registry to construct an ensemble model integrated individual 3D convolutional neural networks for diffusion-weighted imaging and fluid-attenuated inversion recovery (FLAIR), along with a deep neural network for clinical data, to predict 90-day functional independence after AIS using a modified Rankin Scale (mRS) of 3-6. To evaluate the performance of the ensemble model, we compared the area under the curve (AUC) of the proposed method with that of individual models trained on each modality to identify patients with AIS with an mRS score of 3-6.</p><p><strong>Results: </strong>Of the 2,606 patients with AIS, 993 (38.1%) achieved an mRS score of 3-6 at 90 days post-stroke. Our model achieved AUC values of 0.830 (standard cross-validation [CV]) and 0.779 (time-based CV), which significantly outperformed the other models relying on single modalities: b-value of 1,000 s/mm2 (P<0.001), apparent diffusion coefficient map (P<0.001), FLAIR (P<0.001), and clinical data (P=0.004).</p><p><strong>Conclusion: </strong>The integration of multimodal imaging and clinical data resulted in superior prediction of the 90-day functional outcomes in AIS patients compared to the use of a single data modality.</p>","PeriodicalId":17135,"journal":{"name":"Journal of Stroke","volume":"26 2","pages":"312-320"},"PeriodicalIF":8.6000,"publicationDate":"2024-05-01","publicationTypes":"Journal Article","fieldsOfStudy":null,"isOpenAccess":false,"openAccessPdf":"https://www.ncbi.nlm.nih.gov/pmc/articles/PMC11164594/pdf/","citationCount":"0","resultStr":null,"platform":"Semanticscholar","paperid":null,"PeriodicalName":"Journal of Stroke","FirstCategoryId":"3","ListUrlMain":"https://doi.org/10.5853/jos.2023.03426","RegionNum":1,"RegionCategory":"医学","ArticlePicture":[],"TitleCN":null,"AbstractTextCN":null,"PMCID":null,"EPubDate":"2024/5/30 0:00:00","PubModel":"Epub","JCR":"Q1","JCRName":"CLINICAL NEUROLOGY","Score":null,"Total":0}
引用次数: 0

Abstract

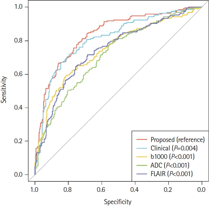
Background and purpose: The accurate prediction of functional outcomes in patients with acute ischemic stroke (AIS) is crucial for informed clinical decision-making and optimal resource utilization. As such, this study aimed to construct an ensemble deep learning model that integrates multimodal imaging and clinical data to predict the 90-day functional outcomes after AIS.

Methods: We used data from the Korean Stroke Neuroimaging Initiative database, a prospective multicenter stroke registry to construct an ensemble model integrated individual 3D convolutional neural networks for diffusion-weighted imaging and fluid-attenuated inversion recovery (FLAIR), along with a deep neural network for clinical data, to predict 90-day functional independence after AIS using a modified Rankin Scale (mRS) of 3-6. To evaluate the performance of the ensemble model, we compared the area under the curve (AUC) of the proposed method with that of individual models trained on each modality to identify patients with AIS with an mRS score of 3-6.

Results: Of the 2,606 patients with AIS, 993 (38.1%) achieved an mRS score of 3-6 at 90 days post-stroke. Our model achieved AUC values of 0.830 (standard cross-validation [CV]) and 0.779 (time-based CV), which significantly outperformed the other models relying on single modalities: b-value of 1,000 s/mm2 (P<0.001), apparent diffusion coefficient map (P<0.001), FLAIR (P<0.001), and clinical data (P=0.004).

Conclusion: The integration of multimodal imaging and clinical data resulted in superior prediction of the 90-day functional outcomes in AIS patients compared to the use of a single data modality.

Abstract Image

Abstract Image

Abstract Image

用于脑卒中患者功能预后的多模态集合深度学习模型
背景与目的:准确预测急性缺血性脑卒中(AIS)患者的功能预后对于做出明智的临床决策和优化资源利用至关重要。因此,本研究旨在构建一个集成多模态成像和临床数据的集合深度学习模型,以预测急性缺血性脑卒中(AIS)后 90 天的功能预后:我们利用韩国卒中神经影像倡议数据库(一个前瞻性多中心卒中登记处)中的数据,构建了一个集合模型,该模型集成了用于弥散加权成像和流体衰减反转恢复(FLAIR)的单个三维卷积神经网络,以及用于临床数据的深度神经网络,以使用改良Rankin量表(mRS)3-6预测AIS后90天的功能独立性。为了评估集合模型的性能,我们比较了所提出方法的曲线下面积(AUC)和在每种模式下训练的单个模型的曲线下面积,以识别 mRS 评分为 3-6 分的 AIS 患者:在2606名AIS患者中,993人(38.1%)在卒中后90天的mRS评分为3-6分。我们的模型的AUC值为0.830(标准交叉验证[CV])和0.779(基于时间的CV),明显优于其他依赖单一模式的模型:b值为1,000 s/mm2(PC结论:与使用单一数据模式相比,整合多模态成像和临床数据能更好地预测 AIS 患者的 90 天功能预后。
本文章由计算机程序翻译,如有差异,请以英文原文为准。
求助全文
约1分钟内获得全文 求助全文
来源期刊
Journal of Stroke
Journal of Stroke CLINICAL NEUROLOGYPERIPHERAL VASCULAR DISE-PERIPHERAL VASCULAR DISEASE
CiteScore
11.00
自引率
3.70%
发文量
52
审稿时长
12 weeks
期刊介绍: The Journal of Stroke (JoS) is a peer-reviewed publication that focuses on clinical and basic investigation of cerebral circulation and associated diseases in stroke-related fields. Its aim is to enhance patient management, education, clinical or experimental research, and professionalism. The journal covers various areas of stroke research, including pathophysiology, risk factors, symptomatology, imaging, treatment, and rehabilitation. Basic science research is included when it provides clinically relevant information. The JoS is particularly interested in studies that highlight characteristics of stroke in the Asian population, as they are underrepresented in the literature. The JoS had an impact factor of 8.2 in 2022 and aims to provide high-quality research papers to readers while maintaining a strong reputation. It is published three times a year, on the last day of January, May, and September. The online version of the journal is considered the main version as it includes all available content. Supplementary issues are occasionally published. The journal is indexed in various databases, including SCI(E), Pubmed, PubMed Central, Scopus, KoreaMed, Komci, Synapse, Science Central, Google Scholar, and DOI/Crossref. It is also the official journal of the Korean Stroke Society since 1999, with the abbreviated title J Stroke.
×
引用
GB/T 7714-2015
复制
MLA
复制
APA
复制
导出至
BibTeX EndNote RefMan NoteFirst NoteExpress
×
提示
您的信息不完整,为了账户安全,请先补充。
现在去补充
×
提示
您因"违规操作"
具体请查看互助需知
我知道了
×
提示
确定
请完成安全验证×
copy
已复制链接
快去分享给好友吧!
我知道了
右上角分享
点击右上角分享
0
联系我们:info@booksci.cn Book学术提供免费学术资源搜索服务,方便国内外学者检索中英文文献。致力于提供最便捷和优质的服务体验。 Copyright © 2023 布克学术 All rights reserved.
京ICP备2023020795号-1
ghs 京公网安备 11010802042870号
Book学术文献互助
Book学术文献互助群
群 号:604180095
Book学术官方微信