Relationships between body condition score, body weight and body measurements in alpacas.

IF 3.1 2区 农林科学 Q1 VETERINARY SCIENCES
Johannes Buchallik-Schregel, Frederik Kiene, Juliane Buchallik, Hannah Marahrens, Nina Ossowski, Carolin Viktoria Schumacher, Berit Gerstel, Ulla Reimers, Martin Ganter, Matthias Gerhard Wagener
{"title":"Relationships between body condition score, body weight and body measurements in alpacas.","authors":"Johannes Buchallik-Schregel, Frederik Kiene, Juliane Buchallik, Hannah Marahrens, Nina Ossowski, Carolin Viktoria Schumacher, Berit Gerstel, Ulla Reimers, Martin Ganter, Matthias Gerhard Wagener","doi":"10.1186/s13620-024-00274-z","DOIUrl":null,"url":null,"abstract":"<p><strong>Background: </strong>The nutritional status in alpacas is often masked by their dense fibre coat. Its assessment is commonly approached by different body condition scores (BCS) that rely on manual palpation of defined anatomical regions. However, BCS is an important diagnostic tool to aid recognition of diseased South American camelids (SACs) and low BCS has been associated with conditions like anaemia and neutrophilia. For dose-dependent veterinary treatment, body weight (BW), that should be as accurate as possible, is required. As on-site weighing with scales is often not possible, BW can mostly only be roughly estimated. To date, it remains unclear whether BCS in alpacas provides reliable information on BW or the ratios of BW to body length commonly known as Body Mass Index (BMI) or Ponderal Index (PI). Equations to estimate BW based on body measurements are available in the literature. Nonetheless, respective equations were developed in growing alpacas or adult llamas and BCS was not included.</p><p><strong>Results: </strong>To compare six different BCS approaches and to examine the relationship between BCS and BW, body measurements and BCS scores were recorded in a herd of 105 alpacas. The examined BCS approaches showed significant (p < 0.05) but poor to moderate positive correlations to BW, BMI or PI. A solely visual inspection of BCS, in contrast, was not correlated with BW, BMI or PI. Equations previously developed in other studies provided an accurate estimation of BW. Multiple linear regression showed that the accuracy in predicting BW could be further increased by adding BCS data and sex.</p><p><strong>Conclusion: </strong>Our observations indicate that most selected BCS approaches are not only important measures of nutritional status but can also be used to create more accurate models for BW calculation in alpacas. The study also supports the claim that a purely visual inspection of alpacas is not an adequate method to evaluate the nutritional status of these animals.</p>","PeriodicalId":54916,"journal":{"name":"Irish Veterinary Journal","volume":"77 1","pages":"11"},"PeriodicalIF":3.1000,"publicationDate":"2024-05-30","publicationTypes":"Journal Article","fieldsOfStudy":null,"isOpenAccess":false,"openAccessPdf":"https://www.ncbi.nlm.nih.gov/pmc/articles/PMC11138088/pdf/","citationCount":"0","resultStr":null,"platform":"Semanticscholar","paperid":null,"PeriodicalName":"Irish Veterinary Journal","FirstCategoryId":"97","ListUrlMain":"https://doi.org/10.1186/s13620-024-00274-z","RegionNum":2,"RegionCategory":"农林科学","ArticlePicture":[],"TitleCN":null,"AbstractTextCN":null,"PMCID":null,"EPubDate":"","PubModel":"","JCR":"Q1","JCRName":"VETERINARY SCIENCES","Score":null,"Total":0}
引用次数: 0

Abstract

Background: The nutritional status in alpacas is often masked by their dense fibre coat. Its assessment is commonly approached by different body condition scores (BCS) that rely on manual palpation of defined anatomical regions. However, BCS is an important diagnostic tool to aid recognition of diseased South American camelids (SACs) and low BCS has been associated with conditions like anaemia and neutrophilia. For dose-dependent veterinary treatment, body weight (BW), that should be as accurate as possible, is required. As on-site weighing with scales is often not possible, BW can mostly only be roughly estimated. To date, it remains unclear whether BCS in alpacas provides reliable information on BW or the ratios of BW to body length commonly known as Body Mass Index (BMI) or Ponderal Index (PI). Equations to estimate BW based on body measurements are available in the literature. Nonetheless, respective equations were developed in growing alpacas or adult llamas and BCS was not included.

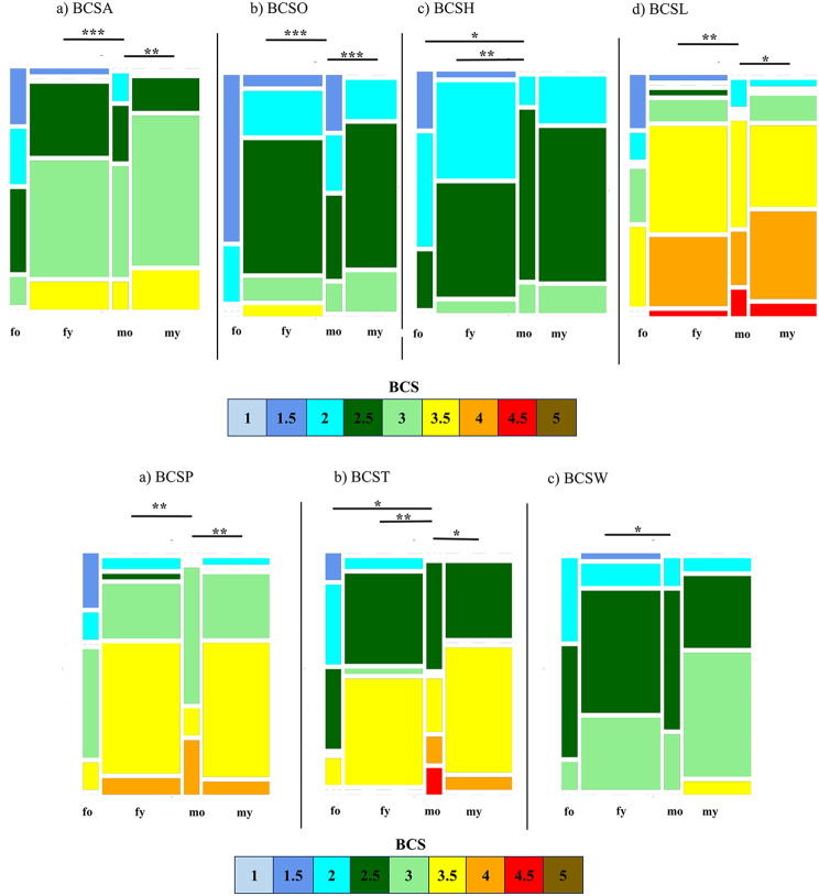
Results: To compare six different BCS approaches and to examine the relationship between BCS and BW, body measurements and BCS scores were recorded in a herd of 105 alpacas. The examined BCS approaches showed significant (p < 0.05) but poor to moderate positive correlations to BW, BMI or PI. A solely visual inspection of BCS, in contrast, was not correlated with BW, BMI or PI. Equations previously developed in other studies provided an accurate estimation of BW. Multiple linear regression showed that the accuracy in predicting BW could be further increased by adding BCS data and sex.

Conclusion: Our observations indicate that most selected BCS approaches are not only important measures of nutritional status but can also be used to create more accurate models for BW calculation in alpacas. The study also supports the claim that a purely visual inspection of alpacas is not an adequate method to evaluate the nutritional status of these animals.

Abstract Image

Abstract Image

Abstract Image

羊驼身体状况评分、体重和身体测量值之间的关系。
背景:羊驼的营养状况往往被其浓密的纤维被所掩盖。对其营养状况的评估通常采用不同的体况评分(BCS),这种评分依赖于对特定解剖区域的人工触诊。然而,体况评分是一种重要的诊断工具,有助于识别患病的南美驼科动物(SAC),低体况评分与贫血和中性粒细胞增多等病症有关。兽医在进行剂量治疗时,需要尽可能精确的体重(BW)。由于通常无法使用体重秤进行现场称重,体重大多只能粗略估计。迄今为止,尚不清楚羊驼的体重测量(BCS)是否能提供可靠的体重信息,也不清楚体重与体长的比率(通常称为体重指数(BMI)或躯干指数(PI))。根据身体测量值估算体重的公式可在文献中找到。不过,这些公式都是针对成长中的羊驼或成年美洲驼开发的,并不包括BCS:为了比较六种不同的 BCS 方法并研究 BCS 与体重之间的关系,我们记录了 105 头羊驼的身体测量数据和 BCS 分数。所研究的 BCS 方法均显示出显著的(p 结论:我们的观察结果表明,大多数选定的 BCS 方法都能显著提高羊驼的体重:我们的观察结果表明,大多数选定的 BCS 方法不仅是衡量营养状况的重要指标,还可用于建立更精确的羊驼体重计算模型。这项研究还支持这样一种观点,即对羊驼进行纯粹的目测并不是评估这些动物营养状况的适当方法。
本文章由计算机程序翻译,如有差异,请以英文原文为准。
求助全文
约1分钟内获得全文 求助全文
来源期刊
Irish Veterinary Journal
Irish Veterinary Journal 农林科学-兽医学
CiteScore
4.80
自引率
3.40%
发文量
1
审稿时长
>36 weeks
期刊介绍: Irish Veterinary Journal is an open access journal with a vision to make a substantial contribution to the dissemination of evidence-based knowledge that will promote optimal health and welfare of both domestic and wild species of animals. Irish Veterinary Journal has a clinical research focus with an emphasis on the effective management of health in both individual and populations of animals. Published studies will be relevant to both the international veterinary profession and veterinary scientists. Papers relating to veterinary education, veterinary ethics, veterinary public health, or relevant studies in the area of social science (participatory research) are also within the scope of Irish Veterinary Journal.
×
引用
GB/T 7714-2015
复制
MLA
复制
APA
复制
导出至
BibTeX EndNote RefMan NoteFirst NoteExpress
×
提示
您的信息不完整,为了账户安全,请先补充。
现在去补充
×
提示
您因"违规操作"
具体请查看互助需知
我知道了
×
提示
确定
请完成安全验证×
copy
已复制链接
快去分享给好友吧!
我知道了
右上角分享
点击右上角分享
0
联系我们:info@booksci.cn Book学术提供免费学术资源搜索服务,方便国内外学者检索中英文文献。致力于提供最便捷和优质的服务体验。 Copyright © 2023 布克学术 All rights reserved.
京ICP备2023020795号-1
ghs 京公网安备 11010802042870号
Book学术文献互助
Book学术文献互助群
群 号:604180095
Book学术官方微信