High-flow nasal cannula oxygen therapy is equally effective to noninvasive ventilation for mild-moderate acute respiratory distress syndrome in patients with acute pancreatitis: A single-center, retrospective cohort study.

IF 2 4区 医学 Q3 GASTROENTEROLOGY & HEPATOLOGY
Saudi Journal of Gastroenterology Pub Date : 2024-09-01 Epub Date: 2024-05-30 DOI:10.4103/sjg.sjg_24_24
Qingcheng Zhu, Wenzhen Zhou, Bingyu Ling, Huihui Wang, Dingyu Tan
{"title":"High-flow nasal cannula oxygen therapy is equally effective to noninvasive ventilation for mild-moderate acute respiratory distress syndrome in patients with acute pancreatitis: A single-center, retrospective cohort study.","authors":"Qingcheng Zhu, Wenzhen Zhou, Bingyu Ling, Huihui Wang, Dingyu Tan","doi":"10.4103/sjg.sjg_24_24","DOIUrl":null,"url":null,"abstract":"<p><strong>Background: </strong>The use of high-flow nasal cannula (HFNC) oxygen therapy is gaining popularity for the treatment of acute hypoxic respiratory failure. However, limited evidence exists regarding the effectiveness of HFNC for acute respiratory distress syndrome (ARDS) in patients with acute pancreatitis (AP).</p><p><strong>Methods: </strong>This retrospective analysis focused on AP patients with mild-moderate ARDS, who were treated with either HFNC or noninvasive ventilation (NIV) in the emergency medicine department, from January 2020 to December 2022. The primary endpoint was treatment failure, defined as either invasive ventilation or a switch to any other study treatment (NIV for patients in the NFNC group and vice versa).</p><p><strong>Results: </strong>A total of 146 patients with AP (68 in the HFNC group and 78 in the NIV group) were included in this study. The treatment failure rate in the HFNC group was 17.6% and 19.2% in the NIV group - a risk difference of -1.6% (95% CI, -11.3 to 14.0%; P = 0.806). The most common causes of failure in the HFNC group were aggravation of respiratory distress and hypoxemia. However, in the NIV group, the most common reasons for failure were treatment intolerance and exacerbation of respiratory distress. Treatment intolerance in the HFNC group was significantly lower than that in the NIV group (16.7% vs 60.0%, 95% CI -66.8 to -6.2; P = 0.023). Multivariate logistic regression analysis showed that body mass index (≥28), acute physiology and chronic health evaluation II score (≥15), partial arterial oxygen tension/fraction of inspired oxygen (≤200), and respiratory rate (≥32/min) at 1 hour were independent predictors of HFNC failure.</p><p><strong>Conclusion: </strong>In AP patients with mild-moderate ARDS, the usage of HFNC did not lead to a higher rate of treatment failure when compared to NIV. HFNC is an ideal choice of respiratory support for patients with NIV intolerance, but clinical application should pay attention to the influencing factors of its treatment failure.</p>","PeriodicalId":48881,"journal":{"name":"Saudi Journal of Gastroenterology","volume":" ","pages":"302-309"},"PeriodicalIF":2.0000,"publicationDate":"2024-09-01","publicationTypes":"Journal Article","fieldsOfStudy":null,"isOpenAccess":false,"openAccessPdf":"https://www.ncbi.nlm.nih.gov/pmc/articles/PMC11534195/pdf/","citationCount":"0","resultStr":null,"platform":"Semanticscholar","paperid":null,"PeriodicalName":"Saudi Journal of Gastroenterology","FirstCategoryId":"3","ListUrlMain":"https://doi.org/10.4103/sjg.sjg_24_24","RegionNum":4,"RegionCategory":"医学","ArticlePicture":[],"TitleCN":null,"AbstractTextCN":null,"PMCID":null,"EPubDate":"2024/5/30 0:00:00","PubModel":"Epub","JCR":"Q3","JCRName":"GASTROENTEROLOGY & HEPATOLOGY","Score":null,"Total":0}
引用次数: 0

Abstract

Background: The use of high-flow nasal cannula (HFNC) oxygen therapy is gaining popularity for the treatment of acute hypoxic respiratory failure. However, limited evidence exists regarding the effectiveness of HFNC for acute respiratory distress syndrome (ARDS) in patients with acute pancreatitis (AP).

Methods: This retrospective analysis focused on AP patients with mild-moderate ARDS, who were treated with either HFNC or noninvasive ventilation (NIV) in the emergency medicine department, from January 2020 to December 2022. The primary endpoint was treatment failure, defined as either invasive ventilation or a switch to any other study treatment (NIV for patients in the NFNC group and vice versa).

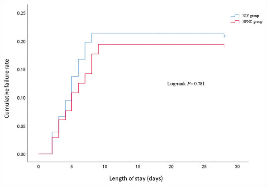
Results: A total of 146 patients with AP (68 in the HFNC group and 78 in the NIV group) were included in this study. The treatment failure rate in the HFNC group was 17.6% and 19.2% in the NIV group - a risk difference of -1.6% (95% CI, -11.3 to 14.0%; P = 0.806). The most common causes of failure in the HFNC group were aggravation of respiratory distress and hypoxemia. However, in the NIV group, the most common reasons for failure were treatment intolerance and exacerbation of respiratory distress. Treatment intolerance in the HFNC group was significantly lower than that in the NIV group (16.7% vs 60.0%, 95% CI -66.8 to -6.2; P = 0.023). Multivariate logistic regression analysis showed that body mass index (≥28), acute physiology and chronic health evaluation II score (≥15), partial arterial oxygen tension/fraction of inspired oxygen (≤200), and respiratory rate (≥32/min) at 1 hour were independent predictors of HFNC failure.

Conclusion: In AP patients with mild-moderate ARDS, the usage of HFNC did not lead to a higher rate of treatment failure when compared to NIV. HFNC is an ideal choice of respiratory support for patients with NIV intolerance, but clinical application should pay attention to the influencing factors of its treatment failure.

Abstract Image

Abstract Image

对于急性胰腺炎患者的轻中度急性呼吸窘迫综合征,高流量鼻插管氧疗与无创通气同样有效:单中心回顾性队列研究。
背景:使用高流量鼻插管(HFNC)氧疗治疗急性缺氧性呼吸衰竭越来越受欢迎。然而,关于高流量鼻插管治疗急性胰腺炎(AP)患者急性呼吸窘迫综合征(ARDS)的有效性,目前证据有限:这项回顾性分析主要针对 2020 年 1 月至 2022 年 12 月期间在急诊科接受 HFNC 或无创通气(NIV)治疗的轻中度 ARDS 急性胰腺炎患者。主要终点是治疗失败,定义为有创通气或改用任何其他研究疗法(NFNC 组患者改用 NIV,反之亦然):本研究共纳入 146 名 AP 患者(高频通气治疗组 68 人,NIV 组 78 人)。HFNC组的治疗失败率为17.6%,NIV组为19.2%,风险差异为-1.6%(95% CI,-11.3%至14.0%;P = 0.806)。HFNC 组最常见的失败原因是呼吸窘迫加重和低氧血症。而在 NIV 组,最常见的失败原因是治疗不耐受和呼吸窘迫加重。HFNC 组的治疗不耐受率明显低于 NIV 组(16.7% vs 60.0%,95% CI -66.8 to -6.2;P = 0.023)。多变量逻辑回归分析显示,体重指数(≥28)、急性生理学和慢性健康评估 II 评分(≥15)、动脉血氧分压/吸入氧分压(≤200)和 1 小时呼吸频率(≥32/分钟)是预测 HFNC 失败的独立因素:结论:在轻度-中度 ARDS 的 AP 患者中,与 NIV 相比,使用 HFNC 不会导致更高的治疗失败率。HFNC是不耐受NIV患者呼吸支持的理想选择,但临床应用时应注意其治疗失败的影响因素。
本文章由计算机程序翻译,如有差异,请以英文原文为准。
求助全文
约1分钟内获得全文 求助全文
来源期刊
Saudi Journal of Gastroenterology
Saudi Journal of Gastroenterology GASTROENTEROLOGY & HEPATOLOGY-
CiteScore
4.40
自引率
3.70%
发文量
63
审稿时长
28 weeks
期刊介绍: The Saudi Journal of Gastroenterology (SJG) is an open access peer-reviewed publication. Authors are invited to submit articles in the field of gastroenterology, hepatology and nutrition, with a wide spectrum of coverage including basic science, epidemiology, diagnostics, therapeutics, public health, and standards of health care in relation to the concerned specialty. Review articles are usually by invitation. However review articles of current interest and a high standard of scientific value could also be considered for publication.
×
引用
GB/T 7714-2015
复制
MLA
复制
APA
复制
导出至
BibTeX EndNote RefMan NoteFirst NoteExpress
×
提示
您的信息不完整,为了账户安全,请先补充。
现在去补充
×
提示
您因"违规操作"
具体请查看互助需知
我知道了
×
提示
确定
请完成安全验证×
copy
已复制链接
快去分享给好友吧!
我知道了
右上角分享
点击右上角分享
0
联系我们:info@booksci.cn Book学术提供免费学术资源搜索服务,方便国内外学者检索中英文文献。致力于提供最便捷和优质的服务体验。 Copyright © 2023 布克学术 All rights reserved.
京ICP备2023020795号-1
ghs 京公网安备 11010802042870号
Book学术文献互助
Book学术文献互助群
群 号:604180095
Book学术官方微信