Evaluating the between-day reliability and likelihood of change of a test battery incorporating vastus lateralis muscle thickness, ankle-brachial pressure index, maximal voluntary torque, and six-minute walk test in patients with claudication.

IF 0.9 4区 医学 Q4 PERIPHERAL VASCULAR DISEASE
Vascular Pub Date : 2025-06-01 Epub Date: 2024-05-28 DOI:10.1177/17085381241257735
Thomas Parkington, David Broom, Thomas Maden-Wilkinson, Shah Nawaz, Markos Klonizakis
{"title":"Evaluating the between-day reliability and likelihood of change of a test battery incorporating vastus lateralis muscle thickness, ankle-brachial pressure index, maximal voluntary torque, and six-minute walk test in patients with claudication.","authors":"Thomas Parkington, David Broom, Thomas Maden-Wilkinson, Shah Nawaz, Markos Klonizakis","doi":"10.1177/17085381241257735","DOIUrl":null,"url":null,"abstract":"<p><p>ObjectiveThe study aims to evaluate the between-day reliability of a proposed test battery for patients with claudication that can be used for monitoring the effectiveness of exercise interventions and other therapeutic strategies tailored to this patient population.MethodsTwenty-five men with claudication were recruited. The test battery consisted of the Vastus Lateralis muscle thickness (VL-MT), ankle-brachial pressure index (ABI), unilateral isometric knee extension maximal voluntary torque (MVT) and 6-minute walk test (6MWT). A single investigator conducted the tests for each patient on two separate testing sessions (T1 and T2) 5-7 days apart.ResultsGood to excellent reliability was observed for VL-MT (ICC = 0.95, 95% LOA = ±3.10 mm, SEM = 0.81 mm), ABI (ICC = 0.97, 95% LOA = ±0.10, SEM = 0.02), MVT (ICC = 0.97, 95% LOA = ±24.0 N·m, SEM = 6.31 N·m), 6MWT distance (ICC = 0.99, 95% LOA = ±39.6 m, SEM = 11.0 m), 6MWT time to claudication (ICC = 0.99, 95% LOA = ±30.8 s, SEM = 7.8 s), and 6MWT ratings of pain (ICC = 0.87, 95% LOA = ±2.4 CR-10<sup>+</sup>, SEM = 0.7 CR-10<sup>+</sup> ). Analysis derived from reliability data indicates a change of 1.4 mm for VL-MT, 0.14 for ABI, 12 N·m for MVT, 25 m for 6MWT distance, 15 s for 6MWT time to claudication and 1 CR-10<sup>+</sup> for 6MWT ratings of pain is required to be interpreted as the minimum 'likely' change (76% chance).ConclusionsThe test battery provides a reliable assessment of patients with claudication and can be widely used to evaluate the effects of exercise programmes and other therapeutic interventions. For the individual, changes in VL-MT, ABI, MVT, and 6MWT greater than the minimum likely change as a result of an exercise programme or an intervention are likely changes and less influenced by error associated with the test.</p>","PeriodicalId":23549,"journal":{"name":"Vascular","volume":" ","pages":"687-694"},"PeriodicalIF":0.9000,"publicationDate":"2025-06-01","publicationTypes":"Journal Article","fieldsOfStudy":null,"isOpenAccess":false,"openAccessPdf":"https://www.ncbi.nlm.nih.gov/pmc/articles/PMC12092948/pdf/","citationCount":"0","resultStr":null,"platform":"Semanticscholar","paperid":null,"PeriodicalName":"Vascular","FirstCategoryId":"3","ListUrlMain":"https://doi.org/10.1177/17085381241257735","RegionNum":4,"RegionCategory":"医学","ArticlePicture":[],"TitleCN":null,"AbstractTextCN":null,"PMCID":null,"EPubDate":"2024/5/28 0:00:00","PubModel":"Epub","JCR":"Q4","JCRName":"PERIPHERAL VASCULAR DISEASE","Score":null,"Total":0}
引用次数: 0

Abstract

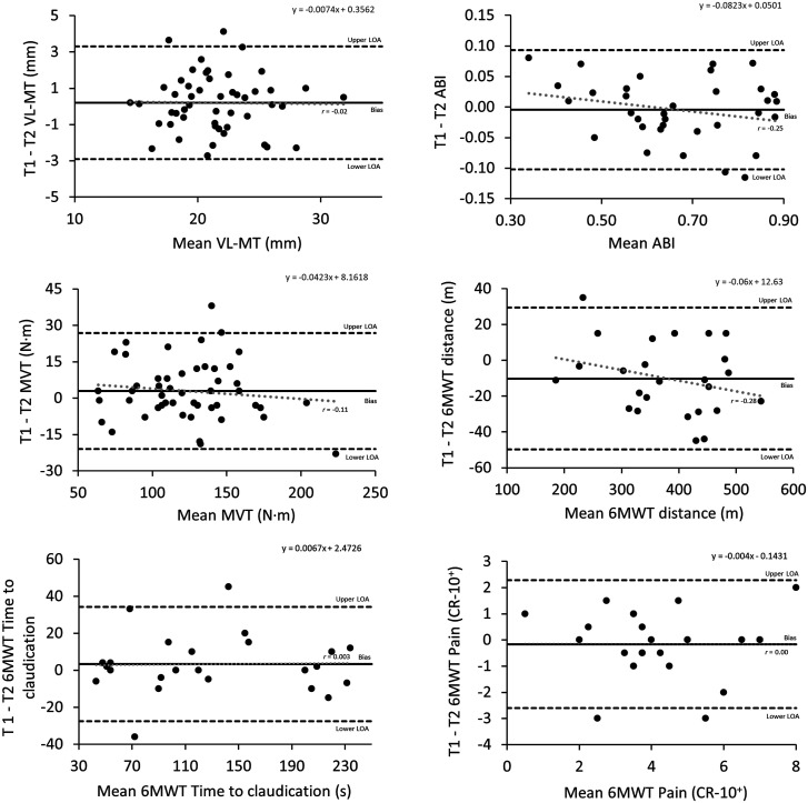
ObjectiveThe study aims to evaluate the between-day reliability of a proposed test battery for patients with claudication that can be used for monitoring the effectiveness of exercise interventions and other therapeutic strategies tailored to this patient population.MethodsTwenty-five men with claudication were recruited. The test battery consisted of the Vastus Lateralis muscle thickness (VL-MT), ankle-brachial pressure index (ABI), unilateral isometric knee extension maximal voluntary torque (MVT) and 6-minute walk test (6MWT). A single investigator conducted the tests for each patient on two separate testing sessions (T1 and T2) 5-7 days apart.ResultsGood to excellent reliability was observed for VL-MT (ICC = 0.95, 95% LOA = ±3.10 mm, SEM = 0.81 mm), ABI (ICC = 0.97, 95% LOA = ±0.10, SEM = 0.02), MVT (ICC = 0.97, 95% LOA = ±24.0 N·m, SEM = 6.31 N·m), 6MWT distance (ICC = 0.99, 95% LOA = ±39.6 m, SEM = 11.0 m), 6MWT time to claudication (ICC = 0.99, 95% LOA = ±30.8 s, SEM = 7.8 s), and 6MWT ratings of pain (ICC = 0.87, 95% LOA = ±2.4 CR-10+, SEM = 0.7 CR-10+ ). Analysis derived from reliability data indicates a change of 1.4 mm for VL-MT, 0.14 for ABI, 12 N·m for MVT, 25 m for 6MWT distance, 15 s for 6MWT time to claudication and 1 CR-10+ for 6MWT ratings of pain is required to be interpreted as the minimum 'likely' change (76% chance).ConclusionsThe test battery provides a reliable assessment of patients with claudication and can be widely used to evaluate the effects of exercise programmes and other therapeutic interventions. For the individual, changes in VL-MT, ABI, MVT, and 6MWT greater than the minimum likely change as a result of an exercise programme or an intervention are likely changes and less influenced by error associated with the test.

Abstract Image

Abstract Image

Abstract Image

评估包含跛行患者外侧肌肌厚、踝肱压指数、最大自主扭力和六分钟步行测试的测试组合的日间可靠性和变化可能性。
研究目的本研究旨在评估针对跛行患者提出的测试组合的日间可靠性,该测试组合可用于监测针对该患者群体的运动干预和其他治疗策略的有效性:方法:招募了 25 名男性跛行患者。方法:招募了 25 名患有跛行的男性患者,测试项目包括腹外肌厚度 (VL-MT)、踝肱压指数 (ABI)、单侧等长伸膝最大自主扭矩 (MVT) 和 6 分钟步行测试 (6MWT)。由一名研究人员在两次不同的测试(T1 和 T2)中对每名患者进行测试,两次测试相隔 5-7 天:结果:VL-MT(ICC = 0.95,95% LOA = ±3.10 mm,SEM = 0.81 mm)、ABI(ICC = 0.97,95% LOA = ±0.10,SEM = 0.02)、MVT(ICC = 0.97,95% LOA = ±24.0 N-m,SEM = 6.31 N-m)、6MWT 距离(ICC = 0.99,95% LOA = ±39.6 m,SEM = 11.0 m)、6MWT 至跛行时间(ICC = 0.99,95% LOA = ±30.8 s,SEM = 7.8 s)和 6MWT 疼痛评分(ICC = 0.87,95% LOA = ±2.4 CR-10+,SEM = 0.7 CR-10+ )。根据可靠性数据进行的分析表明,VL-MT 变化 1.4 mm、ABI 变化 0.14、MVT 变化 12 N-m、6MWT 距离变化 25 m、6MWT 至跛行时间变化 15 s 以及 6MWT 疼痛评分变化 1 CR-10+ 即可解释为最小 "可能 "变化(76% 的概率):该测试电池可对跛行患者进行可靠的评估,并可广泛用于评估运动计划和其他治疗干预措施的效果。对个人而言,运动计划或干预措施导致的 VL-MT、ABI、MVT 和 6MWT 的变化大于最小可能变化,则为可能变化,受测试相关误差的影响较小。
本文章由计算机程序翻译,如有差异,请以英文原文为准。
求助全文
约1分钟内获得全文 求助全文
来源期刊
Vascular
Vascular 医学-外周血管病
CiteScore
2.30
自引率
9.10%
发文量
196
审稿时长
6-12 weeks
期刊介绍: Vascular provides readers with new and unusual up-to-date articles and case reports focusing on vascular and endovascular topics. It is a highly international forum for the discussion and debate of all aspects of this distinct surgical specialty. It also features opinion pieces, literature reviews and controversial issues presented from various points of view.
×
引用
GB/T 7714-2015
复制
MLA
复制
APA
复制
导出至
BibTeX EndNote RefMan NoteFirst NoteExpress
×
提示
您的信息不完整,为了账户安全,请先补充。
现在去补充
×
提示
您因"违规操作"
具体请查看互助需知
我知道了
×
提示
确定
请完成安全验证×
copy
已复制链接
快去分享给好友吧!
我知道了
右上角分享
点击右上角分享
0
联系我们:info@booksci.cn Book学术提供免费学术资源搜索服务,方便国内外学者检索中英文文献。致力于提供最便捷和优质的服务体验。 Copyright © 2023 布克学术 All rights reserved.
京ICP备2023020795号-1
ghs 京公网安备 11010802042870号
Book学术文献互助
Book学术文献互助群
群 号:604180095
Book学术官方微信