Impact of CT texture analysis on complication rate in CT-guided liver biopsies.

IF 1.7 Q3 GASTROENTEROLOGY & HEPATOLOGY
Clinical and Experimental Hepatology Pub Date : 2024-03-01 Epub Date: 2024-01-04 DOI:10.5114/ceh.2024.134141
Maike Niebur, Jakob Leonhardi, Anne-Kathrin Höhn, Manuel Florian Struck, Sebastian Ebel, Gordian Prasse, Timm Denecke, Hans-Jonas Meyer
{"title":"Impact of CT texture analysis on complication rate in CT-guided liver biopsies.","authors":"Maike Niebur, Jakob Leonhardi, Anne-Kathrin Höhn, Manuel Florian Struck, Sebastian Ebel, Gordian Prasse, Timm Denecke, Hans-Jonas Meyer","doi":"10.5114/ceh.2024.134141","DOIUrl":null,"url":null,"abstract":"<p><strong>Aim of the study: </strong>Texture analysis derived from computed tomography (CT) involves quantitative imaging parameters characterizing possible valuable associations with clinical purposes. Their prognostic capability in patients undergoing percutaneous CT-guided liver biopsy to identify associations with postinterventional bleeding complications and biopsy success is not sufficiently explored.</p><p><strong>Material and methods: </strong>Three hundred fifteen patients (124 female, 39%) with a mean age of 62.5 ±10.2 years underwent percutaneous CT-guided liver biopsy and were analyzed regarding clinical, procedure-related, and CT texture features.</p><p><strong>Results: </strong>Thirty patients (9.5%) presented with bleeding after biopsy (including two requiring interventional treatment), whereas 46 patients (14.6%) had negative biopsy successes. Distance of lesion from liver capsule was statistically significantly different in patients with and without bleeding (<i>p</i> = 0.015). Several texture features were statistically significantly different between the groups, S(0,1)SumAverg having the highest significance (<i>p</i> = 0.004). Regarding unsuccessful biopsy results, liver fibrosis was the only clinical feature with statistical significance (<i>p</i> = 0.049). Only two texture features (S(4,-4)InvDfMom and Teta3) were statistically different between the groups according to the biopsy result.</p><p><strong>Conclusions: </strong>Several CT texture features of the target lesion and the length from the capsule to the lesion were associated with bleeding complications after CT-guided percutaneous liver biopsy. This could be used to identify patients at risk at the beginning of the procedure.</p>","PeriodicalId":10281,"journal":{"name":"Clinical and Experimental Hepatology","volume":"10 1","pages":"72-78"},"PeriodicalIF":1.7000,"publicationDate":"2024-03-01","publicationTypes":"Journal Article","fieldsOfStudy":null,"isOpenAccess":false,"openAccessPdf":"https://www.ncbi.nlm.nih.gov/pmc/articles/PMC11100340/pdf/","citationCount":"0","resultStr":null,"platform":"Semanticscholar","paperid":null,"PeriodicalName":"Clinical and Experimental Hepatology","FirstCategoryId":"1085","ListUrlMain":"https://doi.org/10.5114/ceh.2024.134141","RegionNum":0,"RegionCategory":null,"ArticlePicture":[],"TitleCN":null,"AbstractTextCN":null,"PMCID":null,"EPubDate":"2024/1/4 0:00:00","PubModel":"Epub","JCR":"Q3","JCRName":"GASTROENTEROLOGY & HEPATOLOGY","Score":null,"Total":0}
引用次数: 0

Abstract

Aim of the study: Texture analysis derived from computed tomography (CT) involves quantitative imaging parameters characterizing possible valuable associations with clinical purposes. Their prognostic capability in patients undergoing percutaneous CT-guided liver biopsy to identify associations with postinterventional bleeding complications and biopsy success is not sufficiently explored.

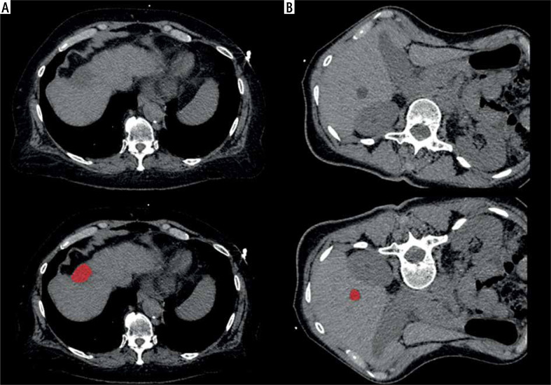
Material and methods: Three hundred fifteen patients (124 female, 39%) with a mean age of 62.5 ±10.2 years underwent percutaneous CT-guided liver biopsy and were analyzed regarding clinical, procedure-related, and CT texture features.

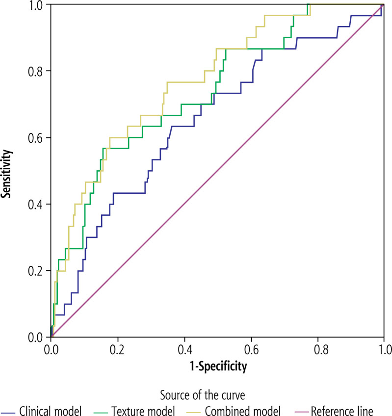
Results: Thirty patients (9.5%) presented with bleeding after biopsy (including two requiring interventional treatment), whereas 46 patients (14.6%) had negative biopsy successes. Distance of lesion from liver capsule was statistically significantly different in patients with and without bleeding (p = 0.015). Several texture features were statistically significantly different between the groups, S(0,1)SumAverg having the highest significance (p = 0.004). Regarding unsuccessful biopsy results, liver fibrosis was the only clinical feature with statistical significance (p = 0.049). Only two texture features (S(4,-4)InvDfMom and Teta3) were statistically different between the groups according to the biopsy result.

Conclusions: Several CT texture features of the target lesion and the length from the capsule to the lesion were associated with bleeding complications after CT-guided percutaneous liver biopsy. This could be used to identify patients at risk at the beginning of the procedure.

Abstract Image

Abstract Image

CT 纹理分析对 CT 引导下肝脏活检并发症发生率的影响。
研究目的由计算机断层扫描(CT)得出的纹理分析涉及定量成像参数,这些参数与临床目的可能存在有价值的关联。在接受经皮 CT 引导肝脏活检的患者中,其预后能力与介入后出血并发症和活检成功率的关系尚未得到充分探讨:315 名患者(124 名女性,39%)接受了经皮 CT 引导的肝脏活检,平均年龄为 62.5 ±10.2 岁,对患者的临床、手术相关和 CT 纹理特征进行了分析:30例患者(9.5%)活检后出现出血(其中2例需要介入治疗),46例患者(14.6%)活检结果为阴性。有出血和无出血患者的病灶与肝囊的距离有显著统计学差异(P = 0.015)。几种纹理特征在组间有显著统计学差异,S(0,1)SumAverg 的显著性最高(p = 0.004)。关于不成功的活检结果,肝纤维化是唯一具有统计学意义(p = 0.049)的临床特征。根据活检结果,只有两个纹理特征(S(4,-4)InvDfMom和Teta3)在组间存在统计学差异:结论:靶病灶的几个CT纹理特征和囊到病灶的长度与CT引导下经皮肝穿刺活检术后出血并发症有关。结论:CT引导下经皮肝穿刺活检术后出血并发症与靶病灶的几个CT纹理特征和囊到病灶的长度有关,可用于在手术开始时识别高危患者。
本文章由计算机程序翻译,如有差异,请以英文原文为准。
求助全文
约1分钟内获得全文 求助全文
来源期刊
Clinical and Experimental Hepatology
Clinical and Experimental Hepatology GASTROENTEROLOGY & HEPATOLOGY-
CiteScore
2.80
自引率
0.00%
发文量
32
期刊介绍: Clinical and Experimental Hepatology – quarterly of the Polish Association for Study of Liver – is a scientific and educational, peer-reviewed journal publishing original and review papers describing clinical and basic investigations in the field of hepatology.
×
引用
GB/T 7714-2015
复制
MLA
复制
APA
复制
导出至
BibTeX EndNote RefMan NoteFirst NoteExpress
×
提示
您的信息不完整,为了账户安全,请先补充。
现在去补充
×
提示
您因"违规操作"
具体请查看互助需知
我知道了
×
提示
确定
请完成安全验证×
copy
已复制链接
快去分享给好友吧!
我知道了
右上角分享
点击右上角分享
0
联系我们:info@booksci.cn Book学术提供免费学术资源搜索服务,方便国内外学者检索中英文文献。致力于提供最便捷和优质的服务体验。 Copyright © 2023 布克学术 All rights reserved.
京ICP备2023020795号-1
ghs 京公网安备 11010802042870号
Book学术文献互助
Book学术文献互助群
群 号:604180095
Book学术官方微信