Synergistic Effects of Neratinib in Combination With Palbociclib or Miransertib in Brain Cancer Cells.

IF 2.2 Q3 ONCOLOGY
World Journal of Oncology Pub Date : 2024-06-01 Epub Date: 2024-05-07 DOI:10.14740/wjon1873
Ermira Mulliqi, Said Khelwatty, Anna Morgan, Keyoumars Ashkan, Helmout Modjtahedi
{"title":"Synergistic Effects of Neratinib in Combination With Palbociclib or Miransertib in Brain Cancer Cells.","authors":"Ermira Mulliqi, Said Khelwatty, Anna Morgan, Keyoumars Ashkan, Helmout Modjtahedi","doi":"10.14740/wjon1873","DOIUrl":null,"url":null,"abstract":"<p><strong>Background: </strong>Aberrant expression and activation of epidermal growth factor receptor (EGFR) resulted in approval of several forms of EGFR inhibitors in the treatment of patients with a wide range of epithelial cancers. However, no EGFR inhibitor has yet been approved for the treatment of patients with brain cancer, indicating that targeting EGFR alone may not be sufficient in some patients.</p><p><strong>Methods: </strong>In this study, we investigated the role of all members of the EGFR family, other growth factor receptors, cell-cycle proteins, and downstream cell signaling pathways (e.g., mitogen-activated protein kinase (MAPK), serine/threonine protein kinase (AKT), signal transducer and activator of transcription (STAT3), Src, Abelson murine leukemia viral oncogene homolog (Abl)) on the growth of a panel of human brain cancer cell lines (HBCCLs). We examined the growth response of HBCCLs to treatment with 17 targeted agents compared to two cytotoxic drugs.</p><p><strong>Results: </strong>Of the targeted agents, the irreversible pan-human epidermal growth factor receptor (HER) inhibitors neratinib and afatinib were more effective than erlotinib and lapatinib at inhibiting the growth of all HBCCLs, and the cyclin-dependent kinase (CDK)1/2/5/9 inhibitor dinaciclib was the most potent targeted agent. We found that treatment with Src/Abl/c-kit inhibitor dasatinib, signal transducer and activator of transcription (STAT3) inhibitor stattic, Abl/platelet-derived growth factor receptor (PDGFR)α/vascular endothelial growth factor (VEGFR)2/fibroblast growth factor receptor (FGFR)1 inhibitor ponatinib, and the tropomyosin receptor kinase (TRK)/ROS proto-oncogene 1 receptor tyrosine kinase (ROS)/anaplastic lymphoma kinase (ALK) inhibitor entrectinib, also inhibited the growth of all HBCCLs. Interestingly, these agents were more effective in inhibiting growth of HBCCLs when proliferating at a slower rate. In addition to inhibiting the proliferation of HBCCLs, treatment with neratinib, dinaciclib, dasatinib, stattic and trametinib inhibited the migration of brain tumor cell line A172.</p><p><strong>Conclusions: </strong>Notably, we found that treatment with neratinib in combination with palbociclib (CDK4/6 inhibitor), or miransertib (AKT1/2/3 inhibitor) resulted in synergistic growth inhibition of all HBCCLs. Our results support that repurposing drugs like neratinib in combination with the palbociclib or miransertib may be of therapeutic potential in brain cancer and warrants further investigations.</p>","PeriodicalId":46797,"journal":{"name":"World Journal of Oncology","volume":"15 3","pages":"492-505"},"PeriodicalIF":2.2000,"publicationDate":"2024-06-01","publicationTypes":"Journal Article","fieldsOfStudy":null,"isOpenAccess":false,"openAccessPdf":"https://www.ncbi.nlm.nih.gov/pmc/articles/PMC11092418/pdf/","citationCount":"0","resultStr":null,"platform":"Semanticscholar","paperid":null,"PeriodicalName":"World Journal of Oncology","FirstCategoryId":"1085","ListUrlMain":"https://doi.org/10.14740/wjon1873","RegionNum":0,"RegionCategory":null,"ArticlePicture":[],"TitleCN":null,"AbstractTextCN":null,"PMCID":null,"EPubDate":"2024/5/7 0:00:00","PubModel":"Epub","JCR":"Q3","JCRName":"ONCOLOGY","Score":null,"Total":0}
引用次数: 0

Abstract

Background: Aberrant expression and activation of epidermal growth factor receptor (EGFR) resulted in approval of several forms of EGFR inhibitors in the treatment of patients with a wide range of epithelial cancers. However, no EGFR inhibitor has yet been approved for the treatment of patients with brain cancer, indicating that targeting EGFR alone may not be sufficient in some patients.

Methods: In this study, we investigated the role of all members of the EGFR family, other growth factor receptors, cell-cycle proteins, and downstream cell signaling pathways (e.g., mitogen-activated protein kinase (MAPK), serine/threonine protein kinase (AKT), signal transducer and activator of transcription (STAT3), Src, Abelson murine leukemia viral oncogene homolog (Abl)) on the growth of a panel of human brain cancer cell lines (HBCCLs). We examined the growth response of HBCCLs to treatment with 17 targeted agents compared to two cytotoxic drugs.

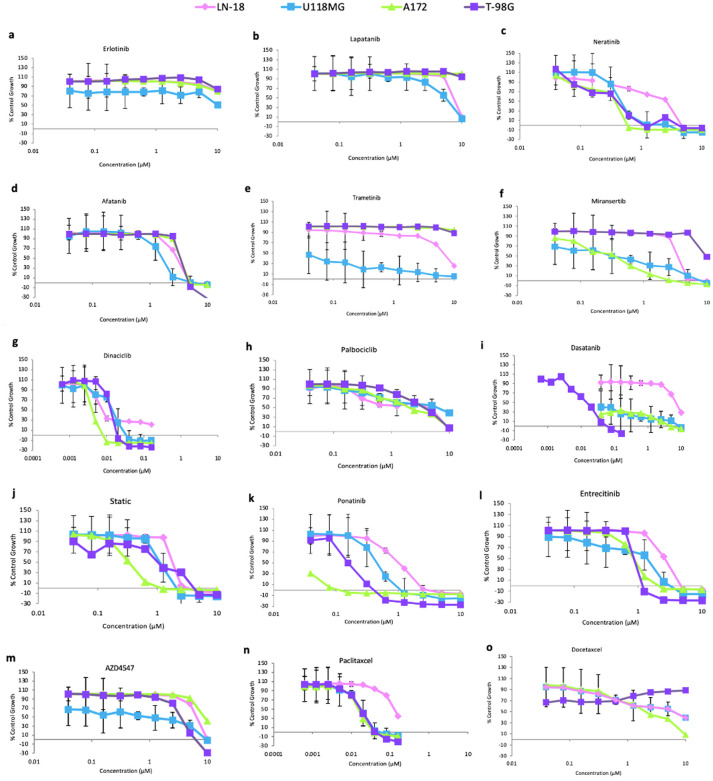
Results: Of the targeted agents, the irreversible pan-human epidermal growth factor receptor (HER) inhibitors neratinib and afatinib were more effective than erlotinib and lapatinib at inhibiting the growth of all HBCCLs, and the cyclin-dependent kinase (CDK)1/2/5/9 inhibitor dinaciclib was the most potent targeted agent. We found that treatment with Src/Abl/c-kit inhibitor dasatinib, signal transducer and activator of transcription (STAT3) inhibitor stattic, Abl/platelet-derived growth factor receptor (PDGFR)α/vascular endothelial growth factor (VEGFR)2/fibroblast growth factor receptor (FGFR)1 inhibitor ponatinib, and the tropomyosin receptor kinase (TRK)/ROS proto-oncogene 1 receptor tyrosine kinase (ROS)/anaplastic lymphoma kinase (ALK) inhibitor entrectinib, also inhibited the growth of all HBCCLs. Interestingly, these agents were more effective in inhibiting growth of HBCCLs when proliferating at a slower rate. In addition to inhibiting the proliferation of HBCCLs, treatment with neratinib, dinaciclib, dasatinib, stattic and trametinib inhibited the migration of brain tumor cell line A172.

Conclusions: Notably, we found that treatment with neratinib in combination with palbociclib (CDK4/6 inhibitor), or miransertib (AKT1/2/3 inhibitor) resulted in synergistic growth inhibition of all HBCCLs. Our results support that repurposing drugs like neratinib in combination with the palbociclib or miransertib may be of therapeutic potential in brain cancer and warrants further investigations.

Abstract Image

Abstract Image

Abstract Image

奈拉替尼与 Palbociclib 或 Miransertib 联用对脑癌细胞的协同作用
背景:表皮生长因子受体(EGFR)的异常表达和激活导致多种形式的表皮生长因子受体抑制剂被批准用于治疗各种上皮癌患者。然而,目前还没有一种表皮生长因子受体抑制剂被批准用于治疗脑癌患者,这表明仅针对表皮生长因子受体可能不足以治疗某些患者:在这项研究中,我们调查了表皮生长因子受体家族的所有成员、其他生长因子受体、细胞周期蛋白和下游细胞信号通路(如:丝裂原活化蛋白激酶)的作用、我们研究了表皮生长因子受体家族的所有成员、其他生长因子受体、细胞周期蛋白和下游细胞信号通路(如丝氨酸/苏氨酸蛋白激酶(MAPK)、丝氨酸/苏氨酸蛋白激酶(AKT)、信号转导和转录激活因子(STAT3)、Src、阿贝尔森鼠白血病病毒癌基因同源物(Abl))对人类脑癌细胞系(HBCCLs)生长的作用。与两种细胞毒性药物相比,我们研究了 17 种靶向药物对 HBCCLs 生长的影响:结果:在这些靶向药物中,不可逆的泛人表皮生长因子受体(HER)抑制剂奈拉替尼和阿法替尼比厄洛替尼和拉帕替尼更有效地抑制所有HBCCL的生长,而细胞周期蛋白依赖性激酶(CDK)1/2/5/9抑制剂地那西利布是最有效的靶向药物。我们发现,Src/Abl/c-kit抑制剂达沙替尼、转录信号转导和激活剂(STAT3)抑制剂司他替、Abl/血小板衍生生长因子受体(PDGFR)α/血管内皮生长因子(VEGFR)2/成纤维细胞生长因子受体(FGFR)1抑制剂泊纳替尼以及肌球蛋白受体生长因子抑制剂达沙替尼对所有HBCCL都有抑制作用、肌球蛋白受体激酶(TRK)/ROS 原癌基因 1 受体酪氨酸激酶(ROS)/无性淋巴瘤激酶(ALK)抑制剂 entrectinib 也抑制了所有 HBCCLs 的生长。有趣的是,这些药物在抑制增殖速度较慢的 HBCCLs 生长方面更为有效。除了抑制 HBCCLs 的增殖外,奈拉替尼、地纳克利、达沙替尼、司他替尼和曲美替尼还能抑制脑肿瘤细胞株 A172 的迁移:值得注意的是,我们发现neratinib与palbociclib(CDK4/6抑制剂)或miransertib(AKT1/2/3抑制剂)联合治疗可协同抑制所有HBCCLs的生长。我们的研究结果表明,neratinib等药物与palbociclib或miransertib联用可能具有治疗脑癌的潜力,值得进一步研究。
本文章由计算机程序翻译,如有差异,请以英文原文为准。
求助全文
约1分钟内获得全文 求助全文
来源期刊
CiteScore
6.10
自引率
15.40%
发文量
37
期刊介绍: World Journal of Oncology, bimonthly, publishes original contributions describing basic research and clinical investigation of cancer, on the cellular, molecular, prevention, diagnosis, therapy and prognosis aspects. The submissions can be basic research or clinical investigation oriented. This journal welcomes those submissions focused on the clinical trials of new treatment modalities for cancer, and those submissions focused on molecular or cellular research of the oncology pathogenesis. Case reports submitted for consideration of publication should explore either a novel genomic event/description or a new safety signal from an oncolytic agent. The areas of interested manuscripts are these disciplines: tumor immunology and immunotherapy; cancer molecular pharmacology and chemotherapy; drug sensitivity and resistance; cancer epidemiology; clinical trials; cancer pathology; radiobiology and radiation oncology; solid tumor oncology; hematological malignancies; surgical oncology; pediatric oncology; molecular oncology and cancer genes; gene therapy; cancer endocrinology; cancer metastasis; prevention and diagnosis of cancer; other cancer related subjects. The types of manuscripts accepted are original article, review, editorial, short communication, case report, letter to the editor, book review.
×
引用
GB/T 7714-2015
复制
MLA
复制
APA
复制
导出至
BibTeX EndNote RefMan NoteFirst NoteExpress
×
提示
您的信息不完整,为了账户安全,请先补充。
现在去补充
×
提示
您因"违规操作"
具体请查看互助需知
我知道了
×
提示
确定
请完成安全验证×
copy
已复制链接
快去分享给好友吧!
我知道了
右上角分享
点击右上角分享
0
联系我们:info@booksci.cn Book学术提供免费学术资源搜索服务,方便国内外学者检索中英文文献。致力于提供最便捷和优质的服务体验。 Copyright © 2023 布克学术 All rights reserved.
京ICP备2023020795号-1
ghs 京公网安备 11010802042870号
Book学术文献互助
Book学术文献互助群
群 号:604180095
Book学术官方微信