Effective relax acquisition: a novel approach to classify relaxed state in alpha band EEG-based transformation.

IF 4.5 Q1 Computer Science
Diah Risqiwati, Adhi Dharma Wibawa, Evi Septiana Pane, Eko Mulyanto Yuniarno, Wardah Rahmatul Islamiyah, Mauridhi Hery Purnomo
{"title":"Effective relax acquisition: a novel approach to classify relaxed state in alpha band EEG-based transformation.","authors":"Diah Risqiwati, Adhi Dharma Wibawa, Evi Septiana Pane, Eko Mulyanto Yuniarno, Wardah Rahmatul Islamiyah, Mauridhi Hery Purnomo","doi":"10.1186/s40708-024-00225-y","DOIUrl":null,"url":null,"abstract":"<p><p>A relaxed state is essential for effective hypnotherapy, a crucial component of mental health treatments. During hypnotherapy sessions, neurologists rely on the patient's relaxed state to introduce positive suggestions. While EEG is a widely recognized method for detecting human emotions, analyzing EEG data presents challenges due to its multi-channel, multi-band nature, leading to high-dimensional data. Furthermore, determining the onset of relaxation remains challenging for neurologists. This paper presents the Effective Relax Acquisition (ERA) method designed to identify the beginning of a relaxed state. ERA employs sub-band sampling within the Alpha band for the frequency domain and segments the data into four-period groups for the time domain analysis. Data enhancement strategies include using Window Length (WL) and Overlapping Shifting Windows (OSW) scenarios. Dimensionality reduction is achieved through Principal Component Analysis (PCA) by prioritizing the most significant eigenvector values. Our experimental results indicate that the relaxed state is predominantly observable in the high Alpha sub-band, particularly within the fourth period group. The ERA demonstrates high accuracy with a WL of 3 s and OSW of 0.25 s using the KNN classifier (90.63%). These findings validate the effectiveness of ERA in accurately identifying relaxed states while managing the complexity of EEG data.</p>","PeriodicalId":37465,"journal":{"name":"Brain Informatics","volume":"11 1","pages":"12"},"PeriodicalIF":4.5000,"publicationDate":"2024-05-13","publicationTypes":"Journal Article","fieldsOfStudy":null,"isOpenAccess":false,"openAccessPdf":"https://www.ncbi.nlm.nih.gov/pmc/articles/PMC11091037/pdf/","citationCount":"0","resultStr":null,"platform":"Semanticscholar","paperid":null,"PeriodicalName":"Brain Informatics","FirstCategoryId":"1085","ListUrlMain":"https://doi.org/10.1186/s40708-024-00225-y","RegionNum":0,"RegionCategory":null,"ArticlePicture":[],"TitleCN":null,"AbstractTextCN":null,"PMCID":null,"EPubDate":"","PubModel":"","JCR":"Q1","JCRName":"Computer Science","Score":null,"Total":0}
引用次数: 0

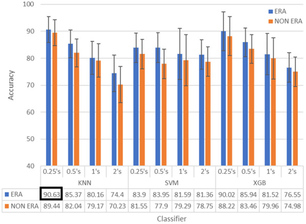
Abstract

A relaxed state is essential for effective hypnotherapy, a crucial component of mental health treatments. During hypnotherapy sessions, neurologists rely on the patient's relaxed state to introduce positive suggestions. While EEG is a widely recognized method for detecting human emotions, analyzing EEG data presents challenges due to its multi-channel, multi-band nature, leading to high-dimensional data. Furthermore, determining the onset of relaxation remains challenging for neurologists. This paper presents the Effective Relax Acquisition (ERA) method designed to identify the beginning of a relaxed state. ERA employs sub-band sampling within the Alpha band for the frequency domain and segments the data into four-period groups for the time domain analysis. Data enhancement strategies include using Window Length (WL) and Overlapping Shifting Windows (OSW) scenarios. Dimensionality reduction is achieved through Principal Component Analysis (PCA) by prioritizing the most significant eigenvector values. Our experimental results indicate that the relaxed state is predominantly observable in the high Alpha sub-band, particularly within the fourth period group. The ERA demonstrates high accuracy with a WL of 3 s and OSW of 0.25 s using the KNN classifier (90.63%). These findings validate the effectiveness of ERA in accurately identifying relaxed states while managing the complexity of EEG data.

Abstract Image

Abstract Image

Abstract Image

有效获取放松状态:基于阿尔法波段脑电图转换的放松状态分类新方法。
放松状态对于有效的催眠疗法至关重要,而催眠疗法是心理健康治疗的重要组成部分。在催眠治疗过程中,神经学家依靠患者的放松状态来引入积极的建议。虽然脑电图是一种广受认可的检测人类情绪的方法,但由于脑电图数据具有多通道、多波段的特性,导致数据维度较高,因此分析脑电图数据面临着挑战。此外,对于神经学家来说,确定放松的开始仍然是一项挑战。本文介绍了有效放松采集(ERA)方法,旨在识别放松状态的开始。ERA采用阿尔法波段内的子波段采样进行频域分析,并将数据分成四个周期组进行时域分析。数据增强策略包括使用窗口长度(WL)和重叠移动窗口(OSW)方案。通过主成分分析(PCA),优先考虑最重要的特征向量值,从而实现降维。实验结果表明,松弛状态主要体现在高阿尔法子波段,尤其是第四周期组。使用 KNN 分类器(90.63%),ERA 在 3 秒的 WL 和 0.25 秒的 OSW 中表现出很高的准确性。这些研究结果验证了 ERA 在管理脑电图数据复杂性的同时准确识别放松状态的有效性。
本文章由计算机程序翻译,如有差异,请以英文原文为准。
求助全文
约1分钟内获得全文 求助全文
来源期刊
Brain Informatics
Brain Informatics Computer Science-Computer Science Applications
CiteScore
9.50
自引率
0.00%
发文量
27
审稿时长
13 weeks
期刊介绍: Brain Informatics is an international, peer-reviewed, interdisciplinary open-access journal published under the brand SpringerOpen, which provides a unique platform for researchers and practitioners to disseminate original research on computational and informatics technologies related to brain. This journal addresses the computational, cognitive, physiological, biological, physical, ecological and social perspectives of brain informatics. It also welcomes emerging information technologies and advanced neuro-imaging technologies, such as big data analytics and interactive knowledge discovery related to various large-scale brain studies and their applications. This journal will publish high-quality original research papers, brief reports and critical reviews in all theoretical, technological, clinical and interdisciplinary studies that make up the field of brain informatics and its applications in brain-machine intelligence, brain-inspired intelligent systems, mental health and brain disorders, etc. The scope of papers includes the following five tracks: Track 1: Cognitive and Computational Foundations of Brain Science Track 2: Human Information Processing Systems Track 3: Brain Big Data Analytics, Curation and Management Track 4: Informatics Paradigms for Brain and Mental Health Research Track 5: Brain-Machine Intelligence and Brain-Inspired Computing
×
引用
GB/T 7714-2015
复制
MLA
复制
APA
复制
导出至
BibTeX EndNote RefMan NoteFirst NoteExpress
×
提示
您的信息不完整,为了账户安全,请先补充。
现在去补充
×
提示
您因"违规操作"
具体请查看互助需知
我知道了
×
提示
确定
请完成安全验证×
copy
已复制链接
快去分享给好友吧!
我知道了
右上角分享
点击右上角分享
0
联系我们:info@booksci.cn Book学术提供免费学术资源搜索服务,方便国内外学者检索中英文文献。致力于提供最便捷和优质的服务体验。 Copyright © 2023 布克学术 All rights reserved.
京ICP备2023020795号-1
ghs 京公网安备 11010802042870号
Book学术文献互助
Book学术文献互助群
群 号:604180095
Book学术官方微信