Development of a nomogram to predict the risk of secondary failure of platelet recovery in patients with β-thalassemia major after hematopoietic stem cell transplantation: a retrospective study.

IF 3.1 3区 医学 Q2 HEMATOLOGY
Therapeutic Advances in Hematology Pub Date : 2024-05-09 eCollection Date: 2024-01-01 DOI:10.1177/20406207241245190
Yanni Xie, Gaohui Yang, Lin Pan, Zhaoping Gan, Yumei Huang, Yongrong Lai, Rongrong Liu
{"title":"Development of a nomogram to predict the risk of secondary failure of platelet recovery in patients with β-thalassemia major after hematopoietic stem cell transplantation: a retrospective study.","authors":"Yanni Xie, Gaohui Yang, Lin Pan, Zhaoping Gan, Yumei Huang, Yongrong Lai, Rongrong Liu","doi":"10.1177/20406207241245190","DOIUrl":null,"url":null,"abstract":"<p><strong>Background: </strong>Secondary failure of platelet recovery (SFPR) is a common complication that influences survival and quality of life of patients with β-thalassemia major (β-TM) after hematopoietic stem cell transplantation (HSCT).</p><p><strong>Objectives: </strong>A model to predict the risk of SFPR in β-TM patients after HSCT was developed.</p><p><strong>Design: </strong>A retrospective study was used to develop the prediction model.</p><p><strong>Methods: </strong>The clinical data for 218 β-TM patients who received HSCT comprised the training set, and those for another 89 patients represented the validation set. The least absolute shrinkage and selection operator regression algorithm was used to identify the critical clinical factors with nonzero coefficients for constructing the nomogram. Calibration curve, C-index, and receiver operating characteristic curve assessments and decision curve analysis (DCA) were used to evaluate the calibration, discrimination, accuracy, and clinical usefulness of the nomogram. Internal and external validation were used to test and verify the predictive model.</p><p><strong>Results: </strong>The nomogram based on pretransplant serum ferritin, hepatomegaly, mycophenolate mofetil use, and posttransplant serum albumin could be conveniently used to predict the SFPR risk of thalassemia patients after HSCT. The calibration curve of the nomogram revealed good concordance between the training and validation sets. The nomogram showed good discrimination with a C-index of 0.780 (95% CI: 70.3-85.7) and 0.868 (95% CI: 78.5-95.1) and AUCs of 0.780 and 0.868 in the training and validation sets, respectively. A high C-index value of 0.766 was reached in the interval validation assessment. DCA confirmed that the nomogram was clinically useful when intervention was decided at the possibility threshold ranging from 3% to 83%.</p><p><strong>Conclusion: </strong>We constructed a nomogram model to predict the risk of SFPR in patients with β-TM after HSCT. The nomogram has a good predictive ability and may be used by clinicians to identify SFPR patients early and recommend effective preventive measures.</p>","PeriodicalId":23048,"journal":{"name":"Therapeutic Advances in Hematology","volume":"15 ","pages":"20406207241245190"},"PeriodicalIF":3.1000,"publicationDate":"2024-05-09","publicationTypes":"Journal Article","fieldsOfStudy":null,"isOpenAccess":false,"openAccessPdf":"https://www.ncbi.nlm.nih.gov/pmc/articles/PMC11084996/pdf/","citationCount":"0","resultStr":null,"platform":"Semanticscholar","paperid":null,"PeriodicalName":"Therapeutic Advances in Hematology","FirstCategoryId":"3","ListUrlMain":"https://doi.org/10.1177/20406207241245190","RegionNum":3,"RegionCategory":"医学","ArticlePicture":[],"TitleCN":null,"AbstractTextCN":null,"PMCID":null,"EPubDate":"2024/1/1 0:00:00","PubModel":"eCollection","JCR":"Q2","JCRName":"HEMATOLOGY","Score":null,"Total":0}
引用次数: 0

Abstract

Background: Secondary failure of platelet recovery (SFPR) is a common complication that influences survival and quality of life of patients with β-thalassemia major (β-TM) after hematopoietic stem cell transplantation (HSCT).

Objectives: A model to predict the risk of SFPR in β-TM patients after HSCT was developed.

Design: A retrospective study was used to develop the prediction model.

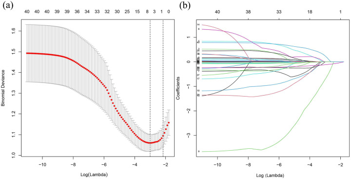
Methods: The clinical data for 218 β-TM patients who received HSCT comprised the training set, and those for another 89 patients represented the validation set. The least absolute shrinkage and selection operator regression algorithm was used to identify the critical clinical factors with nonzero coefficients for constructing the nomogram. Calibration curve, C-index, and receiver operating characteristic curve assessments and decision curve analysis (DCA) were used to evaluate the calibration, discrimination, accuracy, and clinical usefulness of the nomogram. Internal and external validation were used to test and verify the predictive model.

Results: The nomogram based on pretransplant serum ferritin, hepatomegaly, mycophenolate mofetil use, and posttransplant serum albumin could be conveniently used to predict the SFPR risk of thalassemia patients after HSCT. The calibration curve of the nomogram revealed good concordance between the training and validation sets. The nomogram showed good discrimination with a C-index of 0.780 (95% CI: 70.3-85.7) and 0.868 (95% CI: 78.5-95.1) and AUCs of 0.780 and 0.868 in the training and validation sets, respectively. A high C-index value of 0.766 was reached in the interval validation assessment. DCA confirmed that the nomogram was clinically useful when intervention was decided at the possibility threshold ranging from 3% to 83%.

Conclusion: We constructed a nomogram model to predict the risk of SFPR in patients with β-TM after HSCT. The nomogram has a good predictive ability and may be used by clinicians to identify SFPR patients early and recommend effective preventive measures.

Abstract Image

Abstract Image

Abstract Image

制定预测造血干细胞移植后重型β地中海贫血患者血小板恢复二次失败风险的提名图:一项回顾性研究。
背景:继发性血小板恢复失败(SFPR)是一种常见并发症,影响造血干细胞移植(HSCT)后重型β地中海贫血(β-TM)患者的生存和生活质量:目的:建立一个预测造血干细胞移植后β-地中海贫血患者SFPR风险的模型:设计:采用回顾性研究开发预测模型:218名接受造血干细胞移植的β-TM患者的临床数据构成训练集,另外89名患者的临床数据构成验证集。采用最小绝对收缩和选择算子回归算法确定系数不为零的关键临床因素,以构建提名图。校准曲线、C-指数、接收者工作特征曲线评估和决策曲线分析(DCA)用于评估提名图的校准、区分度、准确性和临床实用性。内部和外部验证用于测试和验证预测模型:结果:基于移植前血清铁蛋白、肝肿大、使用霉酚酸酯和移植后血清白蛋白的提名图可方便地用于预测造血干细胞移植后地中海贫血患者的 SFPR 风险。提名图的校准曲线显示,训练集和验证集之间具有良好的一致性。在训练集和验证集中,提名图显示出良好的区分度,C 指数分别为 0.780(95% CI:70.3-85.7)和 0.868(95% CI:78.5-95.1),AUC 分别为 0.780 和 0.868。在区间验证评估中,C-指数值高达 0.766。DCA证实,在3%至83%的可能性阈值范围内决定干预时,提名图在临床上是有用的:我们构建了一个预测造血干细胞移植后β-TM患者SFPR风险的提名图模型。结论:我们构建了一个预测造血干细胞移植后β-TM 患者 SFPR 风险的提名图模型,该提名图具有良好的预测能力,临床医生可利用它来早期识别 SFPR 患者并推荐有效的预防措施。
本文章由计算机程序翻译,如有差异,请以英文原文为准。
求助全文
约1分钟内获得全文 求助全文
来源期刊
CiteScore
4.30
自引率
0.00%
发文量
54
审稿时长
7 weeks
期刊介绍: Therapeutic Advances in Hematology delivers the highest quality peer-reviewed articles, reviews, and scholarly comment on pioneering efforts and innovative studies across all areas of hematology. The journal has a strong clinical and pharmacological focus and is aimed at clinicians and researchers in hematology, providing a forum in print and online for publishing the highest quality articles in this area.
×
引用
GB/T 7714-2015
复制
MLA
复制
APA
复制
导出至
BibTeX EndNote RefMan NoteFirst NoteExpress
×
提示
您的信息不完整,为了账户安全,请先补充。
现在去补充
×
提示
您因"违规操作"
具体请查看互助需知
我知道了
×
提示
确定
请完成安全验证×
copy
已复制链接
快去分享给好友吧!
我知道了
右上角分享
点击右上角分享
0
联系我们:info@booksci.cn Book学术提供免费学术资源搜索服务,方便国内外学者检索中英文文献。致力于提供最便捷和优质的服务体验。 Copyright © 2023 布克学术 All rights reserved.
京ICP备2023020795号-1
ghs 京公网安备 11010802042870号
Book学术文献互助
Book学术文献互助群
群 号:604180095
Book学术官方微信