Ten-year Durability, Hemodynamic Performance, and Clinical Outcomes after Transcatheter Aortic Valve Implantation Using a Self-expanding Device.

IF 2.7 Q2 CARDIAC & CARDIOVASCULAR SYSTEMS
Cardiology and Therapy Pub Date : 2024-09-01 Epub Date: 2024-05-12 DOI:10.1007/s40119-024-00369-2
Karim Elbasha, Jatinderjit Kaur, Mohammad Abdelghani, Martin Landt, Sultan Alotaibi, Ahmed Abdelaziz, Mohamed Abdel-Wahab, Ralph Toelg, Volker Geist, Gert Richardt, Abdelhakim Allali
{"title":"Ten-year Durability, Hemodynamic Performance, and Clinical Outcomes after Transcatheter Aortic Valve Implantation Using a Self-expanding Device.","authors":"Karim Elbasha, Jatinderjit Kaur, Mohammad Abdelghani, Martin Landt, Sultan Alotaibi, Ahmed Abdelaziz, Mohamed Abdel-Wahab, Ralph Toelg, Volker Geist, Gert Richardt, Abdelhakim Allali","doi":"10.1007/s40119-024-00369-2","DOIUrl":null,"url":null,"abstract":"<p><strong>Introduction: </strong>The expansion of transcatheter aortic valve implantation (TAVI) to low-risk and younger patients has increased the relevance of the long-term durability of transcatheter heart valves (THV). The present study aims to assess the 10-year durability, hemodynamic performance, and clinical outcomes after TAVI using the CoreValve system.</p><p><strong>Methods: </strong>An analysis from a prospective registry with predefined clinical and echocardiographic follow-up included 302 patients who underwent TAVI with the CoreValve system between 2007 and 2015. Bioprosthetic valve failure (BVF) was defined as any bioprosthetic valve dysfunction-related death, re-intervention, or severe hemodynamic valve deterioration.</p><p><strong>Results: </strong>At the time of TAVI, the mean age was 80.41 ± 7.01 years, and the Society of Thoracic Surgeons (STS) score was 6.13 ± 5.23%. At latest follow-up (median [IQR]: 5 [2-7] years), cumulative all-cause mortality rates at 3, 5, 7, and 10 years was 23.7%, 40%, 65.8%, and 89.8%, respectively. Mean aortic valve area and transvalvular gradient post-TAVI and at 5, 7, and 10 years were 1.94, 1.87, 1.69, and 1.98 cm<sup>2</sup> (p = 0.236) and 8.3, 9.0, 8.2, and 10.1 mmHg (p = 0.796), respectively. Overall, 11 patients had BVF, of whom six had structural valve deterioration (SVD). The 10-year actual and actuarial freedom from BVF was 96.1% and 78.8%, and from SVD was 97.9% and 80.9%, respectively. Three patients developed significant non-SVD due to severe paravalvular leakage, and two patients were diagnosed with infective endocarditis.</p><p><strong>Conclusion: </strong>Using an early-generation self-expanding bioprosthesis, we documented durable hemodynamic performance and low rates of BVF and SVD up to 10 years after TAVI.</p>","PeriodicalId":9561,"journal":{"name":"Cardiology and Therapy","volume":" ","pages":"529-540"},"PeriodicalIF":2.7000,"publicationDate":"2024-09-01","publicationTypes":"Journal Article","fieldsOfStudy":null,"isOpenAccess":false,"openAccessPdf":"https://www.ncbi.nlm.nih.gov/pmc/articles/PMC11333656/pdf/","citationCount":"0","resultStr":null,"platform":"Semanticscholar","paperid":null,"PeriodicalName":"Cardiology and Therapy","FirstCategoryId":"1085","ListUrlMain":"https://doi.org/10.1007/s40119-024-00369-2","RegionNum":0,"RegionCategory":null,"ArticlePicture":[],"TitleCN":null,"AbstractTextCN":null,"PMCID":null,"EPubDate":"2024/5/12 0:00:00","PubModel":"Epub","JCR":"Q2","JCRName":"CARDIAC & CARDIOVASCULAR SYSTEMS","Score":null,"Total":0}
引用次数: 0

Abstract

Introduction: The expansion of transcatheter aortic valve implantation (TAVI) to low-risk and younger patients has increased the relevance of the long-term durability of transcatheter heart valves (THV). The present study aims to assess the 10-year durability, hemodynamic performance, and clinical outcomes after TAVI using the CoreValve system.

Methods: An analysis from a prospective registry with predefined clinical and echocardiographic follow-up included 302 patients who underwent TAVI with the CoreValve system between 2007 and 2015. Bioprosthetic valve failure (BVF) was defined as any bioprosthetic valve dysfunction-related death, re-intervention, or severe hemodynamic valve deterioration.

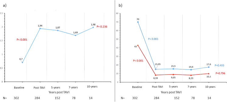
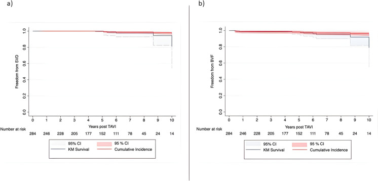
Results: At the time of TAVI, the mean age was 80.41 ± 7.01 years, and the Society of Thoracic Surgeons (STS) score was 6.13 ± 5.23%. At latest follow-up (median [IQR]: 5 [2-7] years), cumulative all-cause mortality rates at 3, 5, 7, and 10 years was 23.7%, 40%, 65.8%, and 89.8%, respectively. Mean aortic valve area and transvalvular gradient post-TAVI and at 5, 7, and 10 years were 1.94, 1.87, 1.69, and 1.98 cm2 (p = 0.236) and 8.3, 9.0, 8.2, and 10.1 mmHg (p = 0.796), respectively. Overall, 11 patients had BVF, of whom six had structural valve deterioration (SVD). The 10-year actual and actuarial freedom from BVF was 96.1% and 78.8%, and from SVD was 97.9% and 80.9%, respectively. Three patients developed significant non-SVD due to severe paravalvular leakage, and two patients were diagnosed with infective endocarditis.

Conclusion: Using an early-generation self-expanding bioprosthesis, we documented durable hemodynamic performance and low rates of BVF and SVD up to 10 years after TAVI.

Abstract Image

Abstract Image

使用自扩张装置进行经导管主动脉瓣植入术后的十年耐久性、血流动力学表现和临床结果。
导言:随着经导管主动脉瓣植入术(TAVI)在低风险和年轻患者中的推广,经导管心脏瓣膜(THV)的长期耐久性变得更加重要。本研究旨在评估使用CoreValve系统进行TAVI后的10年耐久性、血液动力学表现和临床结果:方法:通过对预先确定的临床和超声心动图随访的前瞻性登记资料进行分析,纳入了 302 名在 2007 年至 2015 年期间使用 CoreValve 系统进行 TAVI 的患者。生物人工瓣膜功能衰竭(BVF)定义为任何与生物人工瓣膜功能障碍相关的死亡、再次介入或严重血流动力学瓣膜恶化:进行TAVI手术时,患者的平均年龄为(80.41 ± 7.01)岁,胸外科医师协会(STS)评分为(6.13 ± 5.23)%。在最近的随访中(中位数[IQR]:5 [2-7]年),3年、5年、7年和10年的累积全因死亡率分别为23.7%、40%、65.8%和89.8%。TAVI术后及5、7和10年的平均主动脉瓣面积和跨瓣梯度分别为1.94、1.87、1.69和1.98平方厘米(P = 0.236)和8.3、9.0、8.2和10.1毫米汞柱(P = 0.796)。共有 11 名患者出现 BVF,其中 6 名出现结构性瓣膜退化 (SVD)。BVF的10年实际和精算自由度分别为96.1%和78.8%,SVD的10年实际和精算自由度分别为97.9%和80.9%。三名患者因严重的腔瓣旁漏而出现了严重的非SVD,两名患者被诊断为感染性心内膜炎:结论:使用早期一代自膨胀生物前列腺假体,我们记录了TAVI术后10年的持久血流动力学表现以及较低的BVF和SVD发生率。
本文章由计算机程序翻译,如有差异,请以英文原文为准。
求助全文
约1分钟内获得全文 求助全文
来源期刊
Cardiology and Therapy
Cardiology and Therapy CARDIAC & CARDIOVASCULAR SYSTEMS-
CiteScore
5.30
自引率
0.00%
发文量
38
审稿时长
6 weeks
期刊介绍: Aims and Scope Cardiology and Therapy is an international, open access, peer reviewed (single-blind), rapid-publication journal dedicated to the publication of high-quality clinical (all phases), observational, real-world, and health outcomes research around the discovery, development, and use of cardiovascular therapies and interventions, including devices. Studies relating to diagnosis and diagnostics, pharmacoeconomics, public health, quality of life, as well as patient care, management and education are also encouraged. Areas of focus include, but are not limited to, ischaemic heart disease and acute cardiac care, myocardial, valvular, pericardial and congenital heart disease, vascular and pulmonary disease (including hypertension), arrhythmias, heart failure, non-invasive diagnostic techniques, and invasive and interventional cardiology as well as cardiovascular surgery. The journal is of interest to a broad audience of pharmaceutical and healthcare professionals and publishes original research, reviews, case reports/case series, trial protocols and short communications such as commentaries and editorials. Cardiolology and Therapy will consider all scientifically sound research be it positive, confirmatory or negative data. Submissions are welcomed whether they relate to an international and/or a country-specific audience, something that is crucially important when researchers are trying to target more specific patient populations. This inclusive approach allows the journal to assist in the dissemination of quality research, which may be considered of insufficient interest by other journals. Rapid Publication The journal’s publication timelines aim for a rapid peer review of 2 weeks. If an article is accepted it will be published 3–4 weeks from acceptance. The rapid timelines are achieved through the combination of a dedicated in-house editorial team, who manage article workflow, and an extensive Editorial and Advisory Board who assist with peer review. This allows the journal to support the rapid dissemination of research, whilst still providing robust peer review. Combined with the journal’s open access model this allows for the rapid, efficient communication of the latest research and reviews, fostering the advancement of cardiovascular therapies. Personal Service The journal’s dedicated in-house editorial team offer a personal “concierge service” meaning authors will always have an editorial contact able to update them on the status of their manuscript. The editorial team check all manuscripts to ensure that articles conform to the most recent COPE, GPP and ICMJE publishing guidelines. This supports the publication of ethically sound and transparent research. Digital Features and Plain Language Summaries Cardiology and Therapy offers a range of additional features designed to increase the visibility, readership and educational value of the journal’s content. Each article is accompanied by key summary points, giving a time-efficient overview of the content to a wide readership. Articles may be accompanied by plain language summaries to assist readers who have some knowledge of, but not in-depth expertise in, the area to understand the scientific content and overall implications of the article. The journal also provides the option to include various types of digital features including animated abstracts, video abstracts, slide decks, audio slides, instructional videos, infographics, podcasts and animations. All additional features are peer reviewed to the same high standard as the article itself. If you consider that your paper would benefit from the inclusion of a digital feature, please let us know. Our editorial team are able to create high-quality slide decks and infographics in-house, and video abstracts through our partner Research Square, and would be happy to assist in any way we can. For further information about digital features, please contact the journal editor (see ‘Contact the Journal’ for email address), and see the ‘Guidelines for digital features and plain language summaries’ document under ‘Submission guidelines’. For examples of digital features please visit our showcase page https://springerhealthcare.com/expertise/publishing-digital-features/ Publication Fees Upon acceptance of your article for publication, authors will be required to pay the mandatory Rapid Service Fee of £3650/€4500/$5100. The journal will consider fee discounts for developing countries and this is decided on a case by case basis. Open Access All articles published by Cardiology and Therapy are published open access. Peer Review Process Upon submission, manuscripts are assessed by the editorial team to ensure they fit within the aims and scope of the journal and are also checked for plagiarism. All suitable submissions are then subject to a comprehensive single-blind peer review. Reviewers are selected based on their relevant expertise and publication history in the subject area. The journal has an extensive pool of editorial and advisory board members who have been selected to assist with peer review based on the afore-mentioned criteria. At least two extensive reviews are required to make the editorial decision, with the exception of some article types such as Commentaries, Editorials and Letters which are generally reviewed by one member of the Editorial Board. Where reviewer recommendations are conflicted, the editorial board will be contacted for further advice and a presiding decision. Manuscripts are then either accepted, rejected or authors are required to make major or minor revisions (both reviewer comments and editorial comments may need to be addressed). Once a revised manuscript is re-submitted, it is assessed along with the responses to reviewer comments and if it has been adequately revised it will be accepted for publication. Accepted manuscripts are then copyedited and typeset by the production team before online publication. Appeals against decisions following peer review are considered on a case by case basis and should be sent to the journal editor. Preprints We encourage posting of preprints of primary research manuscripts on preprint servers, authors’ or institutional websites, and open communications between researchers whether on community preprint servers or preprint commenting platforms. Posting of preprints is not considered prior publication and will not jeopardize consideration in our journals. Authors should disclose details of preprint posting during the submission process or at any other point during consideration in one of our journals. Once the preprint is published, it is the author’s responsibility to ensure that the preprint record is updated with a publication reference, including the DOI and a URL link to the published version of the article on the journal website. Copyright Cardiology and Therapy is published under the Creative Commons Attribution-Noncommercial License, which allows users to read, copy, distribute, and make derivative works for non-commercial purposes from the material, as long as the author of the original work is cited. The author assigns the exclusive right to any commercial use of the article to Springer. For more information about the Creative Commons Attribution-Noncommercial License, click here: http://creativecommons.org/licenses/by-nc/4.0. Contact For more information about the journal, including pre-submission enquiries, please contact matthew.evans@springer.com
×
引用
GB/T 7714-2015
复制
MLA
复制
APA
复制
导出至
BibTeX EndNote RefMan NoteFirst NoteExpress
×
提示
您的信息不完整,为了账户安全,请先补充。
现在去补充
×
提示
您因"违规操作"
具体请查看互助需知
我知道了
×
提示
确定
请完成安全验证×
copy
已复制链接
快去分享给好友吧!
我知道了
右上角分享
点击右上角分享
0
联系我们:info@booksci.cn Book学术提供免费学术资源搜索服务,方便国内外学者检索中英文文献。致力于提供最便捷和优质的服务体验。 Copyright © 2023 布克学术 All rights reserved.
京ICP备2023020795号-1
ghs 京公网安备 11010802042870号
Book学术文献互助
Book学术文献互助群
群 号:604180095
Book学术官方微信