Differences of nutritional intake habits and Dietary Inflammatory Index score between occupational classifications in the Korean working population.

IF 1.8 Q4 PUBLIC, ENVIRONMENTAL & OCCUPATIONAL HEALTH
Annals of Occupational and Environmental Medicine Pub Date : 2024-03-18 eCollection Date: 2024-01-01 DOI:10.35371/aoem.2024.36.e5
Seung Hee Woo, Yangwoo Kim, Kyungho Ju, Juhyeong Kim, Jaechul Song, Soo-Jin Lee, Jeehee Min
{"title":"Differences of nutritional intake habits and Dietary Inflammatory Index score between occupational classifications in the Korean working population.","authors":"Seung Hee Woo, Yangwoo Kim, Kyungho Ju, Juhyeong Kim, Jaechul Song, Soo-Jin Lee, Jeehee Min","doi":"10.35371/aoem.2024.36.e5","DOIUrl":null,"url":null,"abstract":"<p><strong>Background: </strong>Human nutrient intake is closely related to the conditions of their workplace.</p><p><strong>Methods: </strong>This study used data from the Korean National Health and Nutritional Examination Survey (KNHANES) conducted between 2016 and 2020. The study population comprised individuals aged 19 to 65 years who were engaged in paid work, excluding soldiers (total = 12,201, male = 5,872, female = 6,329). The primary outcome of interest was the Dietary Inflammatory Index (DII) score, which was calculated using dietary intake data. Generalized linear models were used for statistical analyses.</p><p><strong>Results: </strong>Pink-collar workers had higher DII scores, indicating a potentially higher inflammatory diet than white-collar workers (mean: 2.18 vs. 1.89, <i>p</i> < 0.001). Green and blue-collar workers displayed lower levels of dietary inflammation (green: 1.64 vs. 1.89, <i>p</i> = 0.019, blue: 1.79 vs. 1.89, <i>p</i> = 0.022). After adjusting for sex, age, income, education, and energy intake, the sole trend that persisted was the comparison between white-collar and pink-collar workers.</p><p><strong>Conclusions: </strong>DII scores and dietary patterns differed among occupational groups and genders.</p>","PeriodicalId":46631,"journal":{"name":"Annals of Occupational and Environmental Medicine","volume":"36 ","pages":"e5"},"PeriodicalIF":1.8000,"publicationDate":"2024-03-18","publicationTypes":"Journal Article","fieldsOfStudy":null,"isOpenAccess":false,"openAccessPdf":"https://www.ncbi.nlm.nih.gov/pmc/articles/PMC11016782/pdf/","citationCount":"0","resultStr":null,"platform":"Semanticscholar","paperid":null,"PeriodicalName":"Annals of Occupational and Environmental Medicine","FirstCategoryId":"1085","ListUrlMain":"https://doi.org/10.35371/aoem.2024.36.e5","RegionNum":0,"RegionCategory":null,"ArticlePicture":[],"TitleCN":null,"AbstractTextCN":null,"PMCID":null,"EPubDate":"2024/1/1 0:00:00","PubModel":"eCollection","JCR":"Q4","JCRName":"PUBLIC, ENVIRONMENTAL & OCCUPATIONAL HEALTH","Score":null,"Total":0}
引用次数: 0

Abstract

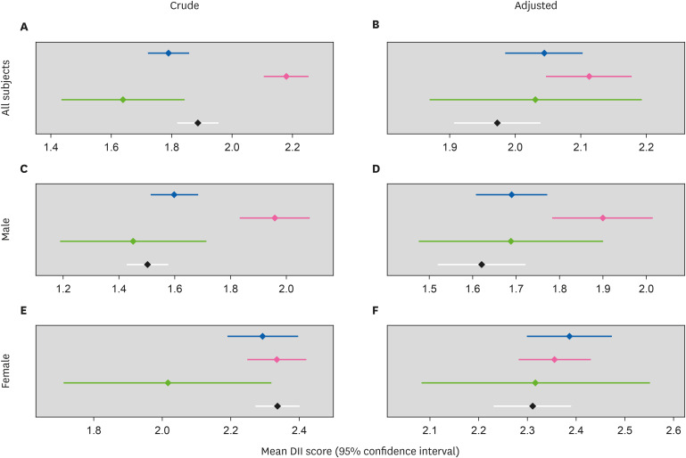
Background: Human nutrient intake is closely related to the conditions of their workplace.

Methods: This study used data from the Korean National Health and Nutritional Examination Survey (KNHANES) conducted between 2016 and 2020. The study population comprised individuals aged 19 to 65 years who were engaged in paid work, excluding soldiers (total = 12,201, male = 5,872, female = 6,329). The primary outcome of interest was the Dietary Inflammatory Index (DII) score, which was calculated using dietary intake data. Generalized linear models were used for statistical analyses.

Results: Pink-collar workers had higher DII scores, indicating a potentially higher inflammatory diet than white-collar workers (mean: 2.18 vs. 1.89, p < 0.001). Green and blue-collar workers displayed lower levels of dietary inflammation (green: 1.64 vs. 1.89, p = 0.019, blue: 1.79 vs. 1.89, p = 0.022). After adjusting for sex, age, income, education, and energy intake, the sole trend that persisted was the comparison between white-collar and pink-collar workers.

Conclusions: DII scores and dietary patterns differed among occupational groups and genders.

Abstract Image

Abstract Image

Abstract Image

韩国劳动人口不同职业分类的营养摄入习惯和膳食炎症指数得分差异。
背景:人类的营养摄入量与工作场所的条件密切相关:本研究使用了 2016 年至 2020 年期间进行的韩国国民健康与营养调查(KNHANES)的数据。研究人群包括 19 至 65 岁从事有偿工作的个人,不包括士兵(总人数 = 12,201 人,男性 = 5,872 人,女性 = 6,329 人)。研究的主要结果是膳食炎症指数(DII)得分,该得分通过膳食摄入数据计算得出。统计分析采用广义线性模型:结果:粉领工人的膳食炎症指数得分较高,表明其膳食炎症程度可能高于白领工人(平均值:2.18 vs. 1.89,p < 0.001)。绿领和蓝领工人的饮食炎症水平较低(绿领:1.64 vs. 1.89,p = 0.019;蓝领:1.79 vs. 1.89,p = 0.022)。在对性别、年龄、收入、教育程度和能量摄入进行调整后,白领和粉领工人之间的比较是唯一持续的趋势:结论:不同职业群体和性别的 DII 分数和饮食模式存在差异。
本文章由计算机程序翻译,如有差异,请以英文原文为准。
求助全文
约1分钟内获得全文 求助全文
来源期刊
Annals of Occupational and Environmental Medicine
Annals of Occupational and Environmental Medicine PUBLIC, ENVIRONMENTAL & OCCUPATIONAL HEALTH-
CiteScore
1.90
自引率
0.00%
发文量
25
审稿时长
16 weeks
期刊介绍: Annals of Occupational and Environmental Medicine (AOEM) is an open access journal that considers original contributions relevant to occupational and environmental medicine and related fields, in the form of original articles, review articles, short letters and case reports. AOEM is aimed at clinicians and researchers working in the wide-ranging discipline of occupational and environmental medicine. Topic areas focus on, but are not limited to, interactions between work and health, covering occupational and environmental epidemiology, toxicology, hygiene, diagnosis and treatment of diseases, management, organization and policy. As the official journal of the Korean Society of Occupational and Environmental Medicine (KSOEM), members and authors based in the Republic of Korea are entitled to a discounted article-processing charge when they publish in AOEM.
×
引用
GB/T 7714-2015
复制
MLA
复制
APA
复制
导出至
BibTeX EndNote RefMan NoteFirst NoteExpress
×
提示
您的信息不完整,为了账户安全,请先补充。
现在去补充
×
提示
您因"违规操作"
具体请查看互助需知
我知道了
×
提示
确定
请完成安全验证×
copy
已复制链接
快去分享给好友吧!
我知道了
右上角分享
点击右上角分享
0
联系我们:info@booksci.cn Book学术提供免费学术资源搜索服务,方便国内外学者检索中英文文献。致力于提供最便捷和优质的服务体验。 Copyright © 2023 布克学术 All rights reserved.
京ICP备2023020795号-1
ghs 京公网安备 11010802042870号
Book学术文献互助
Book学术文献互助群
群 号:604180095
Book学术官方微信