Mortality Burden Due to Short-term Exposure to Fine Particulate Matter in Korea.

IF 2.1 Q2 PUBLIC, ENVIRONMENTAL & OCCUPATIONAL HEALTH
Jongmin Oh, Youn-Hee Lim, Changwoo Han, Dong-Wook Lee, Jisun Myung, Yun-Chul Hong, Soontae Kim, Hyun-Joo Bae
{"title":"Mortality Burden Due to Short-term Exposure to Fine Particulate Matter in Korea.","authors":"Jongmin Oh, Youn-Hee Lim, Changwoo Han, Dong-Wook Lee, Jisun Myung, Yun-Chul Hong, Soontae Kim, Hyun-Joo Bae","doi":"10.3961/jpmph.23.514","DOIUrl":null,"url":null,"abstract":"<p><strong>Objectives: </strong>Excess mortality associated with long-term exposure to fine particulate matter (PM2.5) has been documented. However, research on the disease burden following short-term exposure is scarce. We investigated the cause-specific mortality burden of short-term exposure to PM2.5 by considering the potential non-linear concentration-response relationship in Korea.</p><p><strong>Methods: </strong>Daily cause-specific mortality rates and PM2.5 exposure levels from 2010 to 2019 were collected for 8 Korean cities and 9 provinces. A generalized additive mixed model was employed to estimate the non-linear relationship between PM2.5 exposure and cause-specific mortality levels. We assumed no detrimental health effects of PM2.5 concentrations below 15 μg/m3. Overall deaths attributable to short-term PM2.5 exposure were estimated by summing the daily numbers of excess deaths associated with ambient PM2.5 exposure.</p><p><strong>Results: </strong>Of the 2 749 704 recorded deaths, 2 453 686 (89.2%) were non-accidental, 591 267 (21.5%) were cardiovascular, and 141 066 (5.1%) were respiratory in nature. A non-linear relationship was observed between all-cause mortality and exposure to PM2.5 at lag0, whereas linear associations were evident for cause-specific mortalities. Overall, 10 814 all-cause, 7855 non-accidental, 1642 cardiovascular, and 708 respiratory deaths were attributed to short-term exposure to PM2.5. The estimated number of all-cause excess deaths due to short-term PM2.5 exposure in 2019 was 1039 (95% confidence interval, 604 to 1472).</p><p><strong>Conclusions: </strong>Our findings indicate an association between short-term PM2.5 exposure and various mortality rates (all-cause, non-accidental, cardiovascular, and respiratory) in Korea over the period from 2010 to 2019. Consequently, action plans should be developed to reduce deaths attributable to short-term exposure to PM2.5.</p>","PeriodicalId":16893,"journal":{"name":"Journal of Preventive Medicine and Public Health","volume":"57 2","pages":"185-196"},"PeriodicalIF":2.1000,"publicationDate":"2024-03-01","publicationTypes":"Journal Article","fieldsOfStudy":null,"isOpenAccess":false,"openAccessPdf":"https://www.ncbi.nlm.nih.gov/pmc/articles/PMC10999307/pdf/","citationCount":"0","resultStr":null,"platform":"Semanticscholar","paperid":null,"PeriodicalName":"Journal of Preventive Medicine and Public Health","FirstCategoryId":"1085","ListUrlMain":"https://doi.org/10.3961/jpmph.23.514","RegionNum":0,"RegionCategory":null,"ArticlePicture":[],"TitleCN":null,"AbstractTextCN":null,"PMCID":null,"EPubDate":"2024/3/29 0:00:00","PubModel":"Epub","JCR":"Q2","JCRName":"PUBLIC, ENVIRONMENTAL & OCCUPATIONAL HEALTH","Score":null,"Total":0}
引用次数: 0

Abstract

Objectives: Excess mortality associated with long-term exposure to fine particulate matter (PM2.5) has been documented. However, research on the disease burden following short-term exposure is scarce. We investigated the cause-specific mortality burden of short-term exposure to PM2.5 by considering the potential non-linear concentration-response relationship in Korea.

Methods: Daily cause-specific mortality rates and PM2.5 exposure levels from 2010 to 2019 were collected for 8 Korean cities and 9 provinces. A generalized additive mixed model was employed to estimate the non-linear relationship between PM2.5 exposure and cause-specific mortality levels. We assumed no detrimental health effects of PM2.5 concentrations below 15 μg/m3. Overall deaths attributable to short-term PM2.5 exposure were estimated by summing the daily numbers of excess deaths associated with ambient PM2.5 exposure.

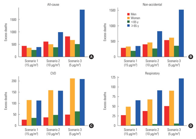
Results: Of the 2 749 704 recorded deaths, 2 453 686 (89.2%) were non-accidental, 591 267 (21.5%) were cardiovascular, and 141 066 (5.1%) were respiratory in nature. A non-linear relationship was observed between all-cause mortality and exposure to PM2.5 at lag0, whereas linear associations were evident for cause-specific mortalities. Overall, 10 814 all-cause, 7855 non-accidental, 1642 cardiovascular, and 708 respiratory deaths were attributed to short-term exposure to PM2.5. The estimated number of all-cause excess deaths due to short-term PM2.5 exposure in 2019 was 1039 (95% confidence interval, 604 to 1472).

Conclusions: Our findings indicate an association between short-term PM2.5 exposure and various mortality rates (all-cause, non-accidental, cardiovascular, and respiratory) in Korea over the period from 2010 to 2019. Consequently, action plans should be developed to reduce deaths attributable to short-term exposure to PM2.5.

Abstract Image

Abstract Image

Abstract Image

韩国因短期暴露于微粒物质而造成的死亡负担。
目标:长期暴露于细颗粒物(PM2.5)会导致过高的死亡率,这一点已有文献记载。然而,有关短期暴露后疾病负担的研究却很少。我们在韩国通过考虑潜在的非线性浓度-反应关系,调查了短期暴露于 PM2.5 的特定病因死亡率:方法:收集了 2010 年至 2019 年韩国 8 个城市和 9 个道的每日特定病因死亡率和 PM2.5 暴露水平。采用广义加性混合模型来估计 PM2.5 暴露与特定病因死亡率之间的非线性关系。我们假设 PM2.5 浓度低于 15 μg/m3 不会对健康产生不利影响。通过将与环境 PM2.5 暴露相关的每日超额死亡人数相加,估算出短期 PM2.5 暴露导致的总体死亡人数:在记录的 2 749 704 例死亡中,2 453 686 例(89.2%)为非意外死亡,591 267 例(21.5%)为心血管死亡,141 066 例(5.1%)为呼吸系统死亡。在滞后0时,观察到全因死亡率与暴露于PM2.5之间存在非线性关系,而特定原因的死亡率则明显存在线性关系。总体而言,有 10 814 例全因死亡、7855 例非意外死亡、1642 例心血管死亡和 708 例呼吸系统死亡归因于短期暴露于 PM2.5。据估计,2019年因短期暴露于PM2.5而导致的全因超额死亡人数为1039人(95%置信区间为604至1472):我们的研究结果表明,在 2010 年至 2019 年期间,韩国的 PM2.5 短期暴露与各种死亡率(全因、非意外、心血管和呼吸系统)之间存在关联。因此,应制定行动计划,减少因短期接触 PM2.5 而导致的死亡。
本文章由计算机程序翻译,如有差异,请以英文原文为准。
求助全文
约1分钟内获得全文 求助全文
来源期刊
Journal of Preventive Medicine and Public Health
Journal of Preventive Medicine and Public Health Medicine-Public Health, Environmental and Occupational Health
CiteScore
6.40
自引率
0.00%
发文量
60
审稿时长
8 weeks
×
引用
GB/T 7714-2015
复制
MLA
复制
APA
复制
导出至
BibTeX EndNote RefMan NoteFirst NoteExpress
×
提示
您的信息不完整,为了账户安全,请先补充。
现在去补充
×
提示
您因"违规操作"
具体请查看互助需知
我知道了
×
提示
确定
请完成安全验证×
copy
已复制链接
快去分享给好友吧!
我知道了
右上角分享
点击右上角分享
0
联系我们:info@booksci.cn Book学术提供免费学术资源搜索服务,方便国内外学者检索中英文文献。致力于提供最便捷和优质的服务体验。 Copyright © 2023 布克学术 All rights reserved.
京ICP备2023020795号-1
ghs 京公网安备 11010802042870号
Book学术文献互助
Book学术文献互助群
群 号:604180095
Book学术官方微信