Week-by-week changes in serum levels of bone-related circulating microRNAs and bone turnover markers.

IF 2.4 Q2 ENDOCRINOLOGY & METABOLISM
JBMR Plus Pub Date : 2024-03-22 eCollection Date: 2024-05-01 DOI:10.1093/jbmrpl/ziae035
Patryk Zarecki, Fatma Gossiel, Johannes Grillari, Miguel Debono, Matthias Hackl, Richard Eastell
{"title":"Week-by-week changes in serum levels of bone-related circulating microRNAs and bone turnover markers.","authors":"Patryk Zarecki, Fatma Gossiel, Johannes Grillari, Miguel Debono, Matthias Hackl, Richard Eastell","doi":"10.1093/jbmrpl/ziae035","DOIUrl":null,"url":null,"abstract":"<p><p>MicroRNAs are involved in post-transcriptional regulation of gene expression. Due to their regulatory role, microRNAs are differently expressed during specific conditions in healthy and diseased individuals, so microRNAs circulating in the blood could be used as diagnostic and prognostic biomarkers for various diseases and conditions. We want to investigate the variability of circulating microRNAs and bone turnover markers in weekly time intervals in older women. In a single-site longitudinal study, a panel of 19 bone-related miRNAs was measured using the osteomiR RT-qPCR assay in serum samples of 35 postmenopausal women divided into 3 groups: healthy controls (<i>n</i> = 12), low BMD (<i>n</i> = 14), and vertebral fractures (<i>n</i> = 9). Blood samples for measurement of CTX, PINP, OC, and bone ALP were collected once per week for 8 weeks at 9:00 AM after overnight fasting. Serum samples from all participants were analyzed for 19 microRNA bone biomarkers and 4 bone turnover markers over 8 weeks. We analyzed the data using a mixed model analysis of variance and found no significant changes between week-by-week time points in any of the groups. To estimate intraindividual variability between weekly time points, we have calculated the median coefficient of variation (CV). This was between 28.4% and 80.2% for microRNA, with an assay CV of 21.3%. It was between 8.5% and 15.6% for bone turnover markers, with an assay CV of 3.5% to 6.5%. The intraindividual variability was similar between groups. Circulating microRNAs measured in serum had a higher weekly intraindividual variability than bone turnover markers due in part to a higher assay CV.</p>","PeriodicalId":14611,"journal":{"name":"JBMR Plus","volume":"8 5","pages":"ziae035"},"PeriodicalIF":2.4000,"publicationDate":"2024-03-22","publicationTypes":"Journal Article","fieldsOfStudy":null,"isOpenAccess":false,"openAccessPdf":"https://www.ncbi.nlm.nih.gov/pmc/articles/PMC11008742/pdf/","citationCount":"0","resultStr":null,"platform":"Semanticscholar","paperid":null,"PeriodicalName":"JBMR Plus","FirstCategoryId":"1085","ListUrlMain":"https://doi.org/10.1093/jbmrpl/ziae035","RegionNum":0,"RegionCategory":null,"ArticlePicture":[],"TitleCN":null,"AbstractTextCN":null,"PMCID":null,"EPubDate":"2024/5/1 0:00:00","PubModel":"eCollection","JCR":"Q2","JCRName":"ENDOCRINOLOGY & METABOLISM","Score":null,"Total":0}
引用次数: 0

Abstract

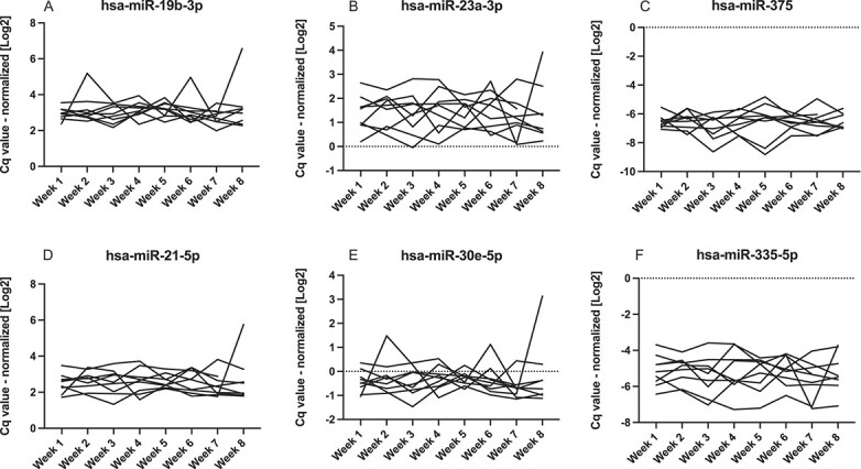
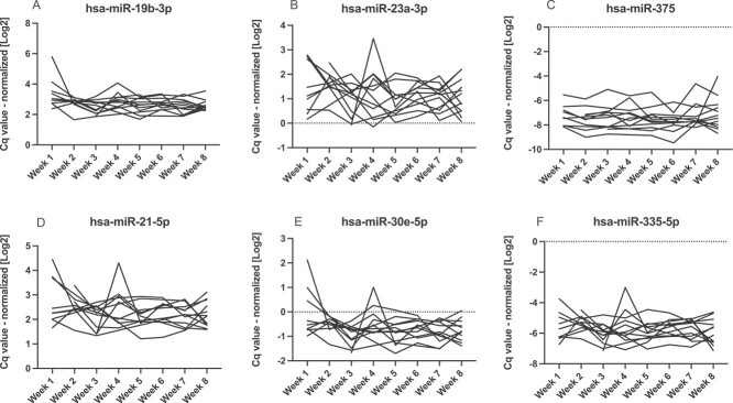
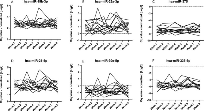
MicroRNAs are involved in post-transcriptional regulation of gene expression. Due to their regulatory role, microRNAs are differently expressed during specific conditions in healthy and diseased individuals, so microRNAs circulating in the blood could be used as diagnostic and prognostic biomarkers for various diseases and conditions. We want to investigate the variability of circulating microRNAs and bone turnover markers in weekly time intervals in older women. In a single-site longitudinal study, a panel of 19 bone-related miRNAs was measured using the osteomiR RT-qPCR assay in serum samples of 35 postmenopausal women divided into 3 groups: healthy controls (n = 12), low BMD (n = 14), and vertebral fractures (n = 9). Blood samples for measurement of CTX, PINP, OC, and bone ALP were collected once per week for 8 weeks at 9:00 AM after overnight fasting. Serum samples from all participants were analyzed for 19 microRNA bone biomarkers and 4 bone turnover markers over 8 weeks. We analyzed the data using a mixed model analysis of variance and found no significant changes between week-by-week time points in any of the groups. To estimate intraindividual variability between weekly time points, we have calculated the median coefficient of variation (CV). This was between 28.4% and 80.2% for microRNA, with an assay CV of 21.3%. It was between 8.5% and 15.6% for bone turnover markers, with an assay CV of 3.5% to 6.5%. The intraindividual variability was similar between groups. Circulating microRNAs measured in serum had a higher weekly intraindividual variability than bone turnover markers due in part to a higher assay CV.

Abstract Image

Abstract Image

Abstract Image

骨相关循环 microRNA 和骨转换标志物的血清水平逐周变化。
microRNA 参与基因表达的转录后调控。由于其调控作用,microRNA 在健康和患病个体的特定条件下会有不同的表达,因此血液中循环的 microRNA 可用作各种疾病和病症的诊断和预后生物标志物。我们希望研究老年妇女每周时间间隔内循环 microRNAs 和骨转换标志物的变化情况。在一项单点纵向研究中,我们使用 osteomiR RT-qPCR 分析法对 35 名绝经后妇女的血清样本中的 19 种骨相关 miRNA 进行了测定,这些妇女分为 3 组:健康对照组(12 人)、低 BMD 组(14 人)和椎体骨折组(9 人)。测量 CTX、PINP、OC 和骨 ALP 的血液样本每周采集一次,连续采集 8 周,采集时间为一夜禁食后的上午 9:00。我们对所有参与者的血清样本进行了为期 8 周的分析,以检测 19 种 microRNA 骨生物标记物和 4 种骨转换标记物。我们采用混合方差分析模型对数据进行了分析,结果发现各组在各周时间点之间均无明显变化。为了估计每周时间点之间的个体内部变异性,我们计算了中位变异系数(CV)。微 RNA 的变异系数介于 28.4% 和 80.2% 之间,化验变异系数为 21.3%。骨转换标记物的变异系数介于 8.5% 和 15.6% 之间,检测 CV 为 3.5% 至 6.5%。各组之间的个体内变异性相似。与骨转换标志物相比,血清中测定的循环微RNA每周的个体内变异性更高,部分原因是测定CV更高。
本文章由计算机程序翻译,如有差异,请以英文原文为准。
求助全文
约1分钟内获得全文 求助全文
来源期刊
JBMR Plus
JBMR Plus Medicine-Orthopedics and Sports Medicine
CiteScore
5.80
自引率
2.60%
发文量
103
审稿时长
8 weeks
×
引用
GB/T 7714-2015
复制
MLA
复制
APA
复制
导出至
BibTeX EndNote RefMan NoteFirst NoteExpress
×
提示
您的信息不完整,为了账户安全,请先补充。
现在去补充
×
提示
您因"违规操作"
具体请查看互助需知
我知道了
×
提示
确定
请完成安全验证×
copy
已复制链接
快去分享给好友吧!
我知道了
右上角分享
点击右上角分享
0
联系我们:info@booksci.cn Book学术提供免费学术资源搜索服务,方便国内外学者检索中英文文献。致力于提供最便捷和优质的服务体验。 Copyright © 2023 布克学术 All rights reserved.
京ICP备2023020795号-1
ghs 京公网安备 11010802042870号
Book学术文献互助
Book学术文献互助群
群 号:604180095
Book学术官方微信