A cross-country comparison of user experience of public autonomous transport.

IF 4.2 3区 工程技术
European Transport Research Review Pub Date : 2021-01-01 Epub Date: 2021-03-08 DOI:10.1186/s12544-021-00477-3
Mauro Bellone, Azat Ismailogullari, Tommi Kantala, Sami Mäkinen, Ralf-Martin Soe, Milla Åman Kyyrö
{"title":"A cross-country comparison of user experience of public autonomous transport.","authors":"Mauro Bellone, Azat Ismailogullari, Tommi Kantala, Sami Mäkinen, Ralf-Martin Soe, Milla Åman Kyyrö","doi":"10.1186/s12544-021-00477-3","DOIUrl":null,"url":null,"abstract":"<p><p>Autonomous solutions for transportation are emerging worldwide, and one of the sectors that will benefit the most from these solutions is the public transport by shifting toward the new paradigm of Mobility as a Service (MaaS). Densely populated areas cannot afford an increase in individual transportation due to space limitation, congestion, and pollution. Working towards more effective and inclusive mobility in public areas, this paper compares user experiences of autonomous public transport across Baltic countries, with the final goal of gaining an increased insight into public needs. User experience was evaluated through questionnaires gathered along pilot projects implementing a public transportation line, using an automated electric minibus between 2018 and 2019. To have sufficient diversity in the data, the pilot projects were implemented in several cities in the Baltic Sea Area. The data analysed in this paper specifically refer to the cities of Helsinki (Finland), Tallinn (Estonia), Kongsberg (Norway), and Gdańsk (Poland). Across all cities, passengers provided remarkably positive feedback regarding personal security and safety onboard. The overall feedback, which was very positive in general, showed statistically significant differences across the groups of cities (Kongsberg, Helsinki, Tallinn and Gdansk), partially explicable by the differences in the route design. In addition, across all cities and feedback topics, males gave a lower score compared to females. The overall rating suggests that there is a demand for future last-mile automated services that could be integrated with the MaaS concept, although demand changes according to socio-economic and location-based conditions across different countries.</p><p><strong>Supplementary information: </strong>The online version contains supplementary material available at 10.1186/s12544-021-00477-3.</p>","PeriodicalId":48671,"journal":{"name":"European Transport Research Review","volume":"13 1","pages":"19"},"PeriodicalIF":4.2000,"publicationDate":"2021-01-01","publicationTypes":"Journal Article","fieldsOfStudy":null,"isOpenAccess":false,"openAccessPdf":"https://www.ncbi.nlm.nih.gov/pmc/articles/PMC7938373/pdf/","citationCount":"0","resultStr":null,"platform":"Semanticscholar","paperid":null,"PeriodicalName":"European Transport Research Review","FirstCategoryId":"5","ListUrlMain":"https://doi.org/10.1186/s12544-021-00477-3","RegionNum":3,"RegionCategory":"工程技术","ArticlePicture":[],"TitleCN":null,"AbstractTextCN":null,"PMCID":null,"EPubDate":"2021/3/8 0:00:00","PubModel":"Epub","JCR":"","JCRName":"","Score":null,"Total":0}
引用次数: 0

Abstract

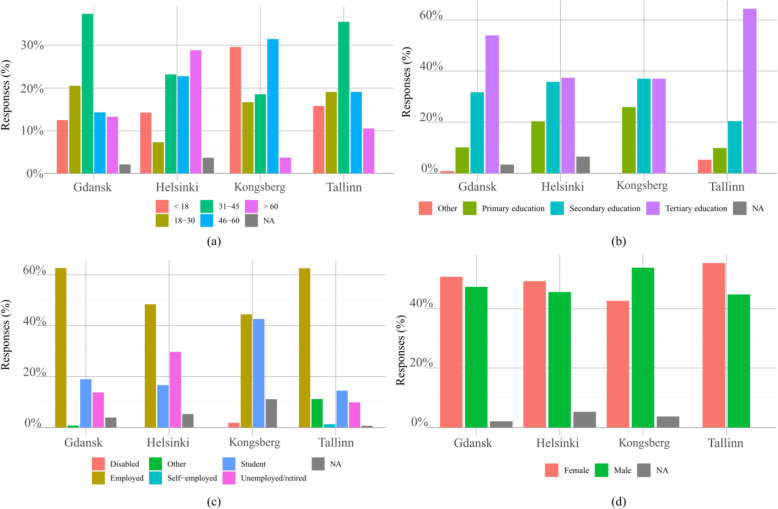
Autonomous solutions for transportation are emerging worldwide, and one of the sectors that will benefit the most from these solutions is the public transport by shifting toward the new paradigm of Mobility as a Service (MaaS). Densely populated areas cannot afford an increase in individual transportation due to space limitation, congestion, and pollution. Working towards more effective and inclusive mobility in public areas, this paper compares user experiences of autonomous public transport across Baltic countries, with the final goal of gaining an increased insight into public needs. User experience was evaluated through questionnaires gathered along pilot projects implementing a public transportation line, using an automated electric minibus between 2018 and 2019. To have sufficient diversity in the data, the pilot projects were implemented in several cities in the Baltic Sea Area. The data analysed in this paper specifically refer to the cities of Helsinki (Finland), Tallinn (Estonia), Kongsberg (Norway), and Gdańsk (Poland). Across all cities, passengers provided remarkably positive feedback regarding personal security and safety onboard. The overall feedback, which was very positive in general, showed statistically significant differences across the groups of cities (Kongsberg, Helsinki, Tallinn and Gdansk), partially explicable by the differences in the route design. In addition, across all cities and feedback topics, males gave a lower score compared to females. The overall rating suggests that there is a demand for future last-mile automated services that could be integrated with the MaaS concept, although demand changes according to socio-economic and location-based conditions across different countries.

Supplementary information: The online version contains supplementary material available at 10.1186/s12544-021-00477-3.

Abstract Image

Abstract Image

Abstract Image

公共自主交通用户体验的跨国比较。
自动驾驶交通解决方案正在全球范围内兴起,其中受益最大的领域之一就是公共交通,它将转向移动即服务(MaaS)的新模式。由于空间有限、交通拥堵和污染等原因,人口稠密地区无法承受个人交通工具的增加。为了在公共区域实现更有效、更包容的交通,本文比较了波罗的海国家自主公共交通的用户体验,最终目标是深入了解公众需求。用户体验是通过在 2018 年至 2019 年期间使用自动驾驶电动小巴实施公共交通线路试点项目过程中收集的调查问卷进行评估的。为了使数据具有足够的多样性,试点项目在波罗的海地区的多个城市实施。本文分析的数据具体涉及赫尔辛基(芬兰)、塔林(爱沙尼亚)、康斯伯格(挪威)和格但斯克(波兰)等城市。在所有城市中,乘客对机上的人身安全和安保都给予了非常积极的反馈。总体反馈总体上非常积极,但不同城市组(康斯伯格、赫尔辛基、塔林和格但斯克)在统计上存在显著差异,部分原因在于线路设计的不同。此外,在所有城市和反馈主题中,男性的得分均低于女性。总体评分表明,尽管不同国家的需求会因社会经济和地理位置条件的不同而发生变化,但人们对未来可与 MaaS 概念相结合的 "最后一英里 "自动驾驶服务仍有需求:在线版本包含补充材料,可查阅 10.1186/s12544-021-00477-3。
本文章由计算机程序翻译,如有差异,请以英文原文为准。
求助全文
约1分钟内获得全文 求助全文
来源期刊
European Transport Research Review
European Transport Research Review Engineering-Mechanical Engineering
CiteScore
9.70
自引率
4.70%
发文量
49
期刊介绍: European Transport Research Review (ETRR) is a peer-reviewed open access journal publishing original high-quality scholarly research and developments in areas related to transportation science, technologies, policy and practice. Established in 2008 by the European Conference of Transport Research Institutes (ECTRI), the Journal provides researchers and practitioners around the world with an authoritative forum for the dissemination and critical discussion of new ideas and methodologies that originate in, or are of special interest to, the European transport research community. The journal is unique in its field, as it covers all modes of transport and addresses both the engineering and the social science perspective, offering a truly multidisciplinary platform for researchers, practitioners, engineers and policymakers. ETRR is aimed at a readership including researchers, practitioners in the design and operation of transportation systems, and policymakers at the international, national, regional and local levels.
×
引用
GB/T 7714-2015
复制
MLA
复制
APA
复制
导出至
BibTeX EndNote RefMan NoteFirst NoteExpress
×
提示
您的信息不完整,为了账户安全,请先补充。
现在去补充
×
提示
您因"违规操作"
具体请查看互助需知
我知道了
×
提示
确定
请完成安全验证×
copy
已复制链接
快去分享给好友吧!
我知道了
右上角分享
点击右上角分享
0
联系我们:info@booksci.cn Book学术提供免费学术资源搜索服务,方便国内外学者检索中英文文献。致力于提供最便捷和优质的服务体验。 Copyright © 2023 布克学术 All rights reserved.
京ICP备2023020795号-1
ghs 京公网安备 11010802042870号
Book学术文献互助
Book学术文献互助群
群 号:604180095
Book学术官方微信