Incidence and Predicting Factors of Opportunistic Infections after Antiretroviral Therapy Initiation among Treatment-naïve Patients with HIV Infection: A Retrospective Cohort Study in A Tertiary Care Hospital.

IF 2.1 Q3 INFECTIOUS DISEASES
Prapon Wongkittipong, Sasisopin Kiertiburanakul
{"title":"Incidence and Predicting Factors of Opportunistic Infections after Antiretroviral Therapy Initiation among Treatment-naïve Patients with HIV Infection: A Retrospective Cohort Study in A Tertiary Care Hospital.","authors":"Prapon Wongkittipong, Sasisopin Kiertiburanakul","doi":"10.1177/23259582241241167","DOIUrl":null,"url":null,"abstract":"<p><strong>Objectives: </strong>To determine the incidence of opportunistic infections (OIs) and the predictive factors for the development of OIs after antiretroviral therapy (ART) initiation among treatment-naïve patients with HIV infection.</p><p><strong>Results: </strong>Of 401 HIV-infected patients, 38 (9.5%) HIV-infected patients developed OIs after initiating ART, with an incidence rate of 25.6/1000 person-years. The median time (IQR) from ART initiation to OI occurrence was 26.5 (14-73) days. In multivariate Cox proportional hazard regression, body mass index ≤18.5 kg/m<sup>2</sup> (adjusted hazard ratio [aHR] 2.28, 95% confidence interval [CI] 1.18-4.42, <i>P</i> = .015), symptoms at presentation (aHR 13.59, 95% CI 3.24-56.9, <i>P</i> < .001), serum glutamate-pyruvate transaminase >55 U/L (aHR 2.09, 95% CI 1.06-4.15, <i>P</i> = .035), and initiation of a dolutegravir-based regimen (aHR 4.39, 95% CI 1.54-12.48, <i>P</i> = .006) were significantly associated with OIs after ART initiation.</p><p><strong>Conclusion: </strong>OIs after ART initiation are common. Malnutrition, symptomatic presentation, abnormal liver enzymes, and DTG-based regimens are predictors of OI occurrence after ART initiation. Physicians must monitor and appropriately treat OIs after ART initiation.</p>","PeriodicalId":17328,"journal":{"name":"Journal of the International Association of Providers of AIDS Care","volume":"23 ","pages":"23259582241241167"},"PeriodicalIF":2.1000,"publicationDate":"2024-01-01","publicationTypes":"Journal Article","fieldsOfStudy":null,"isOpenAccess":false,"openAccessPdf":"https://www.ncbi.nlm.nih.gov/pmc/articles/PMC11005498/pdf/","citationCount":"0","resultStr":null,"platform":"Semanticscholar","paperid":null,"PeriodicalName":"Journal of the International Association of Providers of AIDS Care","FirstCategoryId":"1085","ListUrlMain":"https://doi.org/10.1177/23259582241241167","RegionNum":0,"RegionCategory":null,"ArticlePicture":[],"TitleCN":null,"AbstractTextCN":null,"PMCID":null,"EPubDate":"","PubModel":"","JCR":"Q3","JCRName":"INFECTIOUS DISEASES","Score":null,"Total":0}
引用次数: 0

Abstract

Objectives: To determine the incidence of opportunistic infections (OIs) and the predictive factors for the development of OIs after antiretroviral therapy (ART) initiation among treatment-naïve patients with HIV infection.

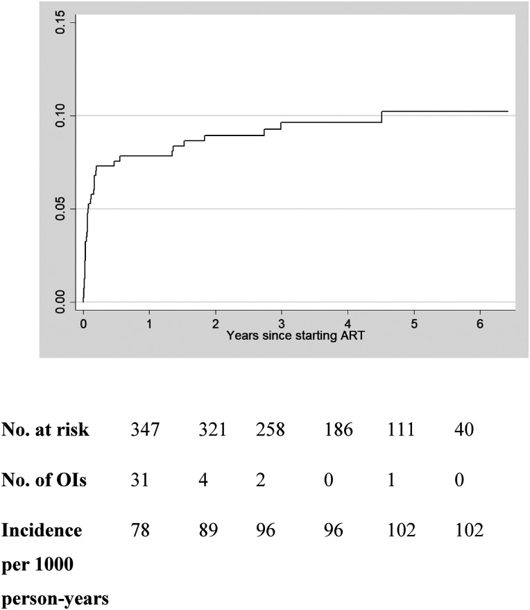
Results: Of 401 HIV-infected patients, 38 (9.5%) HIV-infected patients developed OIs after initiating ART, with an incidence rate of 25.6/1000 person-years. The median time (IQR) from ART initiation to OI occurrence was 26.5 (14-73) days. In multivariate Cox proportional hazard regression, body mass index ≤18.5 kg/m2 (adjusted hazard ratio [aHR] 2.28, 95% confidence interval [CI] 1.18-4.42, P = .015), symptoms at presentation (aHR 13.59, 95% CI 3.24-56.9, P < .001), serum glutamate-pyruvate transaminase >55 U/L (aHR 2.09, 95% CI 1.06-4.15, P = .035), and initiation of a dolutegravir-based regimen (aHR 4.39, 95% CI 1.54-12.48, P = .006) were significantly associated with OIs after ART initiation.

Conclusion: OIs after ART initiation are common. Malnutrition, symptomatic presentation, abnormal liver enzymes, and DTG-based regimens are predictors of OI occurrence after ART initiation. Physicians must monitor and appropriately treat OIs after ART initiation.

Abstract Image

Abstract Image

Abstract Image

在一家三级医院进行的一项回顾性队列研究:抗逆转录病毒疗法启动后,艾滋病病毒感染者中机会性感染的发生率和预测因素:一家三级医院的回顾性队列研究。
目的确定抗逆转录病毒疗法(ART)启动后,艾滋病病毒感染者中机会性感染(OIs)的发病率及预测因素:在 401 名艾滋病病毒感染者中,有 38 名(9.5%)艾滋病病毒感染者在开始接受抗逆转录病毒疗法后出现了 OIs,发病率为 25.6/1000 人年。从开始接受抗逆转录病毒疗法到发生 OI 的中位时间(IQR)为 26.5 (14-73) 天。9,P 55 U/L (aHR 2.09,95% CI 1.06-4.15,P = .035),以及开始使用基于多鲁曲韦的方案(aHR 4.39,95% CI 1.54-12.48,P = .006)与开始接受抗逆转录病毒疗法后的 OIs 显著相关:结论:开始接受抗逆转录病毒疗法后发生 OIs 很常见。营养不良、无症状表现、肝酶异常和以 DTG 为基础的治疗方案是抗逆转录病毒疗法启动后发生 OI 的预测因素。医生必须在开始抗逆转录病毒疗法后监测并适当治疗 OIs。
本文章由计算机程序翻译,如有差异,请以英文原文为准。
求助全文
约1分钟内获得全文 求助全文
来源期刊
CiteScore
3.50
自引率
0.00%
发文量
43
审稿时长
13 weeks
×
引用
GB/T 7714-2015
复制
MLA
复制
APA
复制
导出至
BibTeX EndNote RefMan NoteFirst NoteExpress
×
提示
您的信息不完整,为了账户安全,请先补充。
现在去补充
×
提示
您因"违规操作"
具体请查看互助需知
我知道了
×
提示
确定
请完成安全验证×
copy
已复制链接
快去分享给好友吧!
我知道了
右上角分享
点击右上角分享
0
联系我们:info@booksci.cn Book学术提供免费学术资源搜索服务,方便国内外学者检索中英文文献。致力于提供最便捷和优质的服务体验。 Copyright © 2023 布克学术 All rights reserved.
京ICP备2023020795号-1
ghs 京公网安备 11010802042870号
Book学术文献互助
Book学术文献互助群
群 号:604180095
Book学术官方微信