Real-World Effectiveness of Portable Air Cleaners in Reducing Home Particulate Matter Concentrations.

IF 2.5 4区 环境科学与生态学 Q3 ENVIRONMENTAL SCIENCES
Aerosol and Air Quality Research Pub Date : 2024-01-01 Epub Date: 2023-11-22 DOI:10.4209/aaqr.230202
Frederic T Lu, Robert J Laumbach, Alicia Legard, Nirmala T Myers, Kathleen G Black, Pamela Ohman-Strickland, Shahnaz Alimokhtari, Adriana de Resende, Leonardo Calderón, Gediminas Mainelis, Howard M Kipen
{"title":"Real-World Effectiveness of Portable Air Cleaners in Reducing Home Particulate Matter Concentrations.","authors":"Frederic T Lu, Robert J Laumbach, Alicia Legard, Nirmala T Myers, Kathleen G Black, Pamela Ohman-Strickland, Shahnaz Alimokhtari, Adriana de Resende, Leonardo Calderón, Gediminas Mainelis, Howard M Kipen","doi":"10.4209/aaqr.230202","DOIUrl":null,"url":null,"abstract":"<p><p>Portable air cleaners (PACs) equipped with HEPA filters are gaining attention as cost-effective means of decreasing indoor particulate matter (PM) air pollutants and airborne viruses. However, the performance of PACs in naturalistic settings and spaces beyond the room containing the PAC is not well characterized. We conducted a single-blinded randomized cross-over interventional study between November 2020 and May 2021 in the homes of adults who tested positive for COVID-19. The intervention was air filtration with PAC operated with the HEPA filter set installed (\"filter\" condition) versus removed (\"sham\" condition, i.e., control). Sampling was performed in 29 homes for two consecutive 24-hour periods in the primary room (containing the PAC) and a secondary room. PAC effectiveness, calculated as reductions in overall mean PM<sub>2.5</sub> and PM<sub>10</sub> concentrations during the filter condition, were for the primary rooms 78.8% and 63.9% (n = 23), respectively, and for the secondary rooms 57.9% and 60.4% (n = 22), respectively. When a central air handler (CAH) was reported to be in use, filter-associated reductions of PM were statistically significant during the day (06:00-22:00) and night (22:01-05:59) in the primary rooms but only during the day in the secondary rooms. Our study adds to the literature evaluating the real-world effects of PACs on a secondary room and considering the impact of central air systems on PAC performance.</p>","PeriodicalId":7402,"journal":{"name":"Aerosol and Air Quality Research","volume":"24 1","pages":""},"PeriodicalIF":2.5000,"publicationDate":"2024-01-01","publicationTypes":"Journal Article","fieldsOfStudy":null,"isOpenAccess":false,"openAccessPdf":"https://www.ncbi.nlm.nih.gov/pmc/articles/PMC11014421/pdf/","citationCount":"0","resultStr":null,"platform":"Semanticscholar","paperid":null,"PeriodicalName":"Aerosol and Air Quality Research","FirstCategoryId":"93","ListUrlMain":"https://doi.org/10.4209/aaqr.230202","RegionNum":4,"RegionCategory":"环境科学与生态学","ArticlePicture":[],"TitleCN":null,"AbstractTextCN":null,"PMCID":null,"EPubDate":"2023/11/22 0:00:00","PubModel":"Epub","JCR":"Q3","JCRName":"ENVIRONMENTAL SCIENCES","Score":null,"Total":0}
引用次数: 0

Abstract

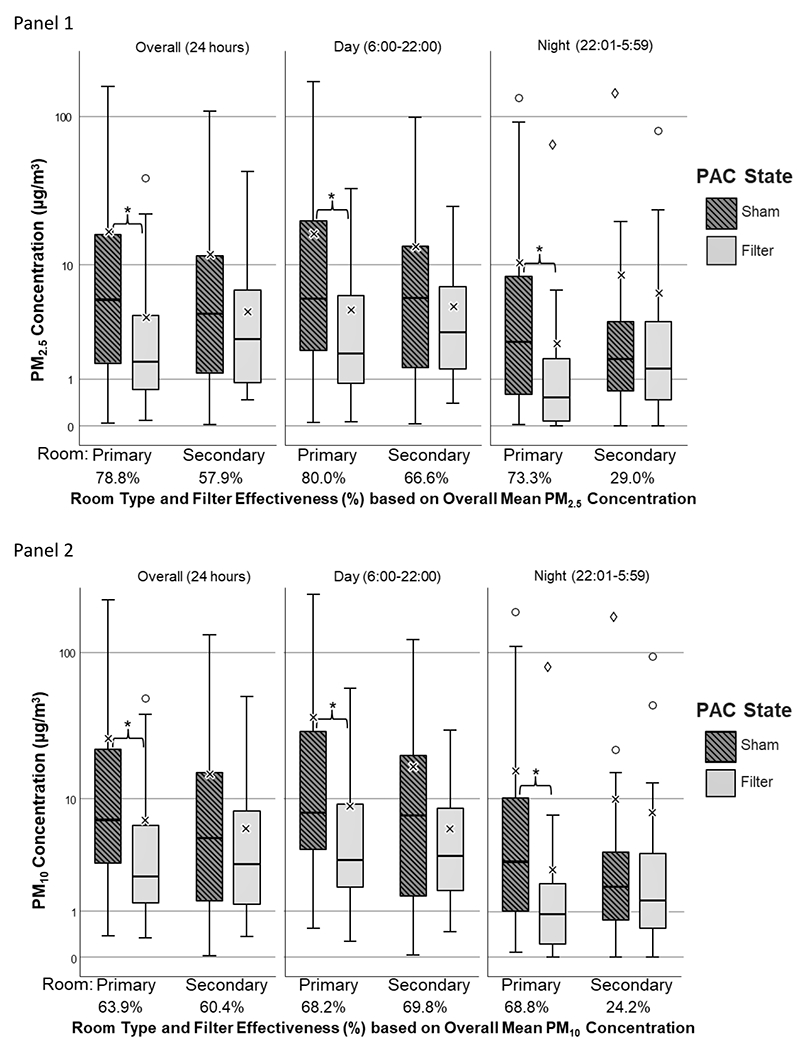
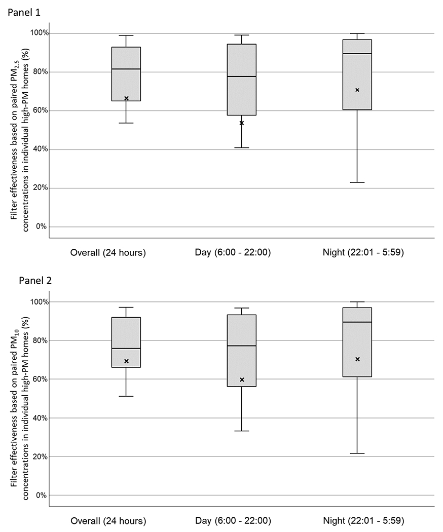
Portable air cleaners (PACs) equipped with HEPA filters are gaining attention as cost-effective means of decreasing indoor particulate matter (PM) air pollutants and airborne viruses. However, the performance of PACs in naturalistic settings and spaces beyond the room containing the PAC is not well characterized. We conducted a single-blinded randomized cross-over interventional study between November 2020 and May 2021 in the homes of adults who tested positive for COVID-19. The intervention was air filtration with PAC operated with the HEPA filter set installed ("filter" condition) versus removed ("sham" condition, i.e., control). Sampling was performed in 29 homes for two consecutive 24-hour periods in the primary room (containing the PAC) and a secondary room. PAC effectiveness, calculated as reductions in overall mean PM2.5 and PM10 concentrations during the filter condition, were for the primary rooms 78.8% and 63.9% (n = 23), respectively, and for the secondary rooms 57.9% and 60.4% (n = 22), respectively. When a central air handler (CAH) was reported to be in use, filter-associated reductions of PM were statistically significant during the day (06:00-22:00) and night (22:01-05:59) in the primary rooms but only during the day in the secondary rooms. Our study adds to the literature evaluating the real-world effects of PACs on a secondary room and considering the impact of central air systems on PAC performance.

Abstract Image

Abstract Image

Abstract Image

便携式空气净化器在降低家庭微粒物质浓度方面的实际效果。
配备高效空气过滤器(HEPA)的便携式空气净化器(PAC)作为减少室内微粒物质(PM)空气污染物和空气传播病毒的经济有效的方法,正受到越来越多的关注。然而,PAC 在自然环境和装有 PAC 的房间以外空间的性能还没有得到很好的描述。2020 年 11 月至 2021 年 5 月期间,我们在 COVID-19 检测呈阳性的成年人家中开展了一项单盲随机交叉干预研究。干预措施是在安装了高效空气过滤器("过滤 "条件)和拆除了高效空气过滤器("假 "条件,即对照组)的情况下使用 PAC 进行空气过滤。在 29 个家庭中,对主要房间(装有 PAC)和次要房间进行了连续两个 24 小时的采样。以过滤条件下PM2.5和PM10总平均浓度的减少量计算,PAC的有效性在主房间分别为78.8%和63.9%(n = 23),在次房间分别为57.9%和60.4%(n = 22)。据报告,当使用中央空气处理器(CAH)时,在白天(06:00-22:00)和夜间(22:01-05:59),主卧室中与过滤器相关的可吸入颗粒物减少量具有显著的统计学意义,但在次卧室中仅在白天有显著减少。我们的研究为评估空调对次要房间的实际影响以及考虑中央空调系统对空调性能的影响的文献提供了补充。
本文章由计算机程序翻译,如有差异,请以英文原文为准。
求助全文
约1分钟内获得全文 求助全文
来源期刊
Aerosol and Air Quality Research
Aerosol and Air Quality Research ENVIRONMENTAL SCIENCES-
CiteScore
8.30
自引率
10.00%
发文量
163
审稿时长
3 months
期刊介绍: The international journal of Aerosol and Air Quality Research (AAQR) covers all aspects of aerosol science and technology, atmospheric science and air quality related issues. It encompasses a multi-disciplinary field, including: - Aerosol, air quality, atmospheric chemistry and global change; - Air toxics (hazardous air pollutants (HAPs), persistent organic pollutants (POPs)) - Sources, control, transport and fate, human exposure; - Nanoparticle and nanotechnology; - Sources, combustion, thermal decomposition, emission, properties, behavior, formation, transport, deposition, measurement and analysis; - Effects on the environments; - Air quality and human health; - Bioaerosols; - Indoor air quality; - Energy and air pollution; - Pollution control technologies; - Invention and improvement of sampling instruments and technologies; - Optical/radiative properties and remote sensing; - Carbon dioxide emission, capture, storage and utilization; novel methods for the reduction of carbon dioxide emission; - Other topics related to aerosol and air quality.
×
引用
GB/T 7714-2015
复制
MLA
复制
APA
复制
导出至
BibTeX EndNote RefMan NoteFirst NoteExpress
×
提示
您的信息不完整,为了账户安全,请先补充。
现在去补充
×
提示
您因"违规操作"
具体请查看互助需知
我知道了
×
提示
确定
请完成安全验证×
copy
已复制链接
快去分享给好友吧!
我知道了
右上角分享
点击右上角分享
0
联系我们:info@booksci.cn Book学术提供免费学术资源搜索服务,方便国内外学者检索中英文文献。致力于提供最便捷和优质的服务体验。 Copyright © 2023 布克学术 All rights reserved.
京ICP备2023020795号-1
ghs 京公网安备 11010802042870号
Book学术文献互助
Book学术文献互助群
群 号:604180095
Book学术官方微信