Identifying sources of variation in added sugar intake for Alaska Native children using a hair biomarker.

IF 1.9 4区 医学 Q4 PUBLIC, ENVIRONMENTAL & OCCUPATIONAL HEALTH
Alice Ko, Diane O'Brien, Patricia Rivera, Lloyd Mancl, Scarlett Hopkins, Cameron Randall, Daisy Patiño Nguyen, Donald L Chi
{"title":"Identifying sources of variation in added sugar intake for Alaska Native children using a hair biomarker.","authors":"Alice Ko, Diane O'Brien, Patricia Rivera, Lloyd Mancl, Scarlett Hopkins, Cameron Randall, Daisy Patiño Nguyen, Donald L Chi","doi":"10.1080/22423982.2024.2336286","DOIUrl":null,"url":null,"abstract":"<p><p>Sugars from sugar-sweetened beverages (SSBs) are an important risk factor for tooth decay. The study goal was to determine if there was variation in added sugar intake across communities and between and within households. In this cross-sectional study, intakes of total sugar, added sugar, and sugar-sweetened beverages (SSBs) were estimated for 282 Alaska Native children ages 0-10 years from 131 households in three Yukon-Kuskokwim (YK) Delta communities using biomarker equations based on hair carbon and nitrogen isotope ratios previously developed for the Yup'ik population. ANOVA was used to assess associations between each predictor (community and household) and outcome (estimated total sugars, added sugars, and SSB intake). Between- and within-household variation was estimated using a linear mixed-effects model with a random intercept for households with three or more children. There was no significant difference in mean estimated total sugar (<i>p</i> = 0.29), added sugar (<i>p</i> = 0.24), or SSB intake (<i>p</i> = 0.40) across communities. Significant variations were observed between and within households, with within-household variation amounting to 59% of the between-household variation. Added sugar intake in Alaska Native children from the three study communities is higher than the recommended maximum, and the variation is greater within households than between households.</p>","PeriodicalId":13930,"journal":{"name":"International Journal of Circumpolar Health","volume":"83 1","pages":"2336286"},"PeriodicalIF":1.9000,"publicationDate":"2024-12-01","publicationTypes":"Journal Article","fieldsOfStudy":null,"isOpenAccess":false,"openAccessPdf":"https://www.ncbi.nlm.nih.gov/pmc/articles/PMC10986438/pdf/","citationCount":"0","resultStr":null,"platform":"Semanticscholar","paperid":null,"PeriodicalName":"International Journal of Circumpolar Health","FirstCategoryId":"3","ListUrlMain":"https://doi.org/10.1080/22423982.2024.2336286","RegionNum":4,"RegionCategory":"医学","ArticlePicture":[],"TitleCN":null,"AbstractTextCN":null,"PMCID":null,"EPubDate":"2024/4/1 0:00:00","PubModel":"Epub","JCR":"Q4","JCRName":"PUBLIC, ENVIRONMENTAL & OCCUPATIONAL HEALTH","Score":null,"Total":0}
引用次数: 0

Abstract

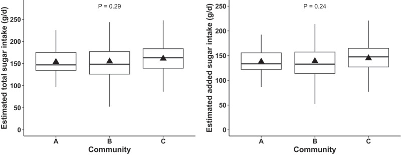
Sugars from sugar-sweetened beverages (SSBs) are an important risk factor for tooth decay. The study goal was to determine if there was variation in added sugar intake across communities and between and within households. In this cross-sectional study, intakes of total sugar, added sugar, and sugar-sweetened beverages (SSBs) were estimated for 282 Alaska Native children ages 0-10 years from 131 households in three Yukon-Kuskokwim (YK) Delta communities using biomarker equations based on hair carbon and nitrogen isotope ratios previously developed for the Yup'ik population. ANOVA was used to assess associations between each predictor (community and household) and outcome (estimated total sugars, added sugars, and SSB intake). Between- and within-household variation was estimated using a linear mixed-effects model with a random intercept for households with three or more children. There was no significant difference in mean estimated total sugar (p = 0.29), added sugar (p = 0.24), or SSB intake (p = 0.40) across communities. Significant variations were observed between and within households, with within-household variation amounting to 59% of the between-household variation. Added sugar intake in Alaska Native children from the three study communities is higher than the recommended maximum, and the variation is greater within households than between households.

Abstract Image

Abstract Image

Abstract Image

利用毛发生物标志物确定阿拉斯加原住民儿童添加糖摄入量变化的来源。
来自含糖饮料 (SSB) 的糖是导致蛀牙的一个重要风险因素。研究的目的是确定不同社区、不同家庭和家庭内部的添加糖摄入量是否存在差异。在这项横断面研究中,利用之前为尤皮克人开发的基于毛发碳和氮同位素比率的生物标记方程,估算了三个育空-库斯科克维姆(YK)三角洲社区 131 个家庭中 282 名 0-10 岁阿拉斯加原住民儿童的总糖、添加糖和含糖饮料 (SSB) 摄入量。方差分析用于评估各预测因子(社区和家庭)与结果(估计总糖、添加糖和 SSB 摄入量)之间的关联。采用线性混合效应模型估计了家庭之间和家庭内部的差异,并对有三个或三个以上孩子的家庭设置了随机截距。各社区的平均估计总糖摄入量(p = 0.29)、添加糖摄入量(p = 0.24)或固态糖摄入量(p = 0.40)均无明显差异。家庭之间和家庭内部均存在显著差异,家庭内部差异占家庭之间差异的 59%。三个研究社区的阿拉斯加原住民儿童的添加糖摄入量高于建议的最高摄入量,而且家庭内部的差异大于家庭之间的差异。
本文章由计算机程序翻译,如有差异,请以英文原文为准。
求助全文
约1分钟内获得全文 求助全文
来源期刊
International Journal of Circumpolar Health
International Journal of Circumpolar Health 医学-公共卫生、环境卫生与职业卫生
CiteScore
2.10
自引率
15.40%
发文量
51
审稿时长
6-12 weeks
期刊介绍: The International Journal of Circumpolar Health is published by Taylor & Francis on behalf of the Circumpolar Health Research Network [CircHNet]. The journal follows the tradition initiated by its predecessor, Arctic Medical Research. The journal specializes in circumpolar health. It provides a forum for many disciplines, including the biomedical sciences, social sciences, and humanities as they relate to human health in high latitude environments. The journal has a particular interest in the health of indigenous peoples. It is a vehicle for dissemination and exchange of knowledge among researchers, policy makers, practitioners, and those they serve. International Journal of Circumpolar Health welcomes Original Research Articles, Review Articles, Short Communications, Book Reviews, Dissertation Summaries, History and Biography, Clinical Case Reports, Public Health Practice, Conference and Workshop Reports, and Letters to the Editor.
×
引用
GB/T 7714-2015
复制
MLA
复制
APA
复制
导出至
BibTeX EndNote RefMan NoteFirst NoteExpress
×
提示
您的信息不完整,为了账户安全,请先补充。
现在去补充
×
提示
您因"违规操作"
具体请查看互助需知
我知道了
×
提示
确定
请完成安全验证×
copy
已复制链接
快去分享给好友吧!
我知道了
右上角分享
点击右上角分享
0
联系我们:info@booksci.cn Book学术提供免费学术资源搜索服务,方便国内外学者检索中英文文献。致力于提供最便捷和优质的服务体验。 Copyright © 2023 布克学术 All rights reserved.
京ICP备2023020795号-1
ghs 京公网安备 11010802042870号
Book学术文献互助
Book学术文献互助群
群 号:604180095
Book学术官方微信