The Politics of Covid-19 Vaccination Hesitancy in Southeastern Europe.

IF 1 Q3 AREA STUDIES
Comparative Southeast European Studies Pub Date : 2024-03-14 eCollection Date: 2024-03-01 DOI:10.1515/soeu-2023-0006
Josip Glaurdić, Christophe Lesschaeve
{"title":"The Politics of Covid-19 Vaccination Hesitancy in Southeastern Europe.","authors":"Josip Glaurdić, Christophe Lesschaeve","doi":"10.1515/soeu-2023-0006","DOIUrl":null,"url":null,"abstract":"<p><p>The execution of Covid-19 vaccination drives in former Yugoslavia's successor states has been disappointing. The rapidly evolving literature on the Covid-19 pandemic suggests the levels of support for vaccination are correlated with education, trust in public-health institutions, and exposure to the negative economic and health effects of the pandemic. The explanations of the political foundations of vaccination hesitancy, however, need better empirical grounding. We shed light on this subject by analyzing the results of a survey conducted on more than six thousand respondents from Bosnia-Herzegovina, Croatia, and Serbia, as well as a combination of public-health, economic, and sociodemographic data across more than five hundred municipalities in Croatia. Most notably, we find the political sources of vaccination hesitancy to be strongly related to people's support for the ideas of political parties committed to nationalist populism.</p>","PeriodicalId":29828,"journal":{"name":"Comparative Southeast European Studies","volume":"72 1","pages":"33-57"},"PeriodicalIF":1.0000,"publicationDate":"2024-03-14","publicationTypes":"Journal Article","fieldsOfStudy":null,"isOpenAccess":false,"openAccessPdf":"https://www.ncbi.nlm.nih.gov/pmc/articles/PMC10956124/pdf/","citationCount":"0","resultStr":null,"platform":"Semanticscholar","paperid":null,"PeriodicalName":"Comparative Southeast European Studies","FirstCategoryId":"1085","ListUrlMain":"https://doi.org/10.1515/soeu-2023-0006","RegionNum":0,"RegionCategory":null,"ArticlePicture":[],"TitleCN":null,"AbstractTextCN":null,"PMCID":null,"EPubDate":"2024/3/1 0:00:00","PubModel":"eCollection","JCR":"Q3","JCRName":"AREA STUDIES","Score":null,"Total":0}
引用次数: 0

Abstract

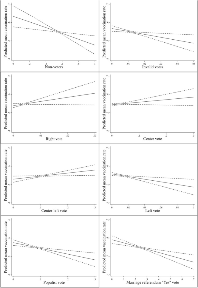
The execution of Covid-19 vaccination drives in former Yugoslavia's successor states has been disappointing. The rapidly evolving literature on the Covid-19 pandemic suggests the levels of support for vaccination are correlated with education, trust in public-health institutions, and exposure to the negative economic and health effects of the pandemic. The explanations of the political foundations of vaccination hesitancy, however, need better empirical grounding. We shed light on this subject by analyzing the results of a survey conducted on more than six thousand respondents from Bosnia-Herzegovina, Croatia, and Serbia, as well as a combination of public-health, economic, and sociodemographic data across more than five hundred municipalities in Croatia. Most notably, we find the political sources of vaccination hesitancy to be strongly related to people's support for the ideas of political parties committed to nationalist populism.

Abstract Image

Abstract Image

Abstract Image

东南欧犹豫接种 Covid-19 疫苗的政治因素。
在前南斯拉夫的继承国开展的 Covid-19 疫苗接种活动令人失望。有关 Covid-19 大流行病的文献迅速发展,这些文献表明,疫苗接种的支持程度与教育、对公共卫生机构的信任以及是否遭受过大流行病对经济和健康的负面影响有关。然而,对疫苗接种犹豫不决的政治基础的解释还需要更好的实证依据。我们对来自波黑、克罗地亚和塞尔维亚的六千多名受访者进行了调查,并结合克罗地亚五百多个城市的公共卫生、经济和社会人口数据进行了分析,从而揭示了这一问题。最值得注意的是,我们发现疫苗接种犹豫不决的政治根源与人们对民族主义民粹主义政党主张的支持密切相关。
本文章由计算机程序翻译,如有差异,请以英文原文为准。
求助全文
约1分钟内获得全文 求助全文
来源期刊
CiteScore
0.70
自引率
33.30%
发文量
40
×
引用
GB/T 7714-2015
复制
MLA
复制
APA
复制
导出至
BibTeX EndNote RefMan NoteFirst NoteExpress
×
提示
您的信息不完整,为了账户安全,请先补充。
现在去补充
×
提示
您因"违规操作"
具体请查看互助需知
我知道了
×
提示
确定
请完成安全验证×
copy
已复制链接
快去分享给好友吧!
我知道了
右上角分享
点击右上角分享
0
联系我们:info@booksci.cn Book学术提供免费学术资源搜索服务,方便国内外学者检索中英文文献。致力于提供最便捷和优质的服务体验。 Copyright © 2023 布克学术 All rights reserved.
京ICP备2023020795号-1
ghs 京公网安备 11010802042870号
Book学术文献互助
Book学术文献互助群
群 号:604180095
Book学术官方微信