Outcomes and Functional Deterioration in Hospital Admissions with Acute Hypoxemia.

IF 2.3 Q3 RESPIRATORY SYSTEM
Susanne Simon, Jens Gottlieb, Ina Burchert, René Abu Isneineh, Thomas Fuehner
{"title":"Outcomes and Functional Deterioration in Hospital Admissions with Acute Hypoxemia.","authors":"Susanne Simon, Jens Gottlieb, Ina Burchert, René Abu Isneineh, Thomas Fuehner","doi":"10.3390/arm92020016","DOIUrl":null,"url":null,"abstract":"<p><strong>Background: </strong>Many hospitalized patients decline in functional status after discharge, but functional decline in emergency admissions with hypoxemia is unknown. The primary aim of this study was to study functional outcomes as a clinical endpoint in a cohort of patients with acute hypoxemia.</p><p><strong>Methods: </strong>A multicenter prospective observational study was conducted in patients with new-onset hypoxemia emergently admitted to two respiratory departments at a university hospital and an academic teaching hospital. Using the WHO scale, the patients' functional status 4 weeks before admission and at hospital discharge was assessed. The type and duration of oxygen therapy, hospital length of stay and survival and risk of hypercapnic failure were recorded.</p><p><strong>Results: </strong>A total of 151 patients with a median age of 74 were included. Two-thirds declined in functional status by at least one grade at discharge. A good functional status (OR 4.849 (95% CI 2.209-10.647)) and progressive cancer (OR 6.079 (1.197-30.881)) were more associated with functional decline. Most patients were treated with conventional oxygen therapy (n = 95, 62%). The rates of in-hospital mortality and need for intubation were both 8%.</p><p><strong>Conclusions: </strong>Patients with acute hypoxemia in the emergency room have a poorer functional status after hospital discharge. This decline may be of multifactorial origin.</p>","PeriodicalId":7391,"journal":{"name":"Advances in respiratory medicine","volume":"92 2","pages":"145-155"},"PeriodicalIF":2.3000,"publicationDate":"2024-03-06","publicationTypes":"Journal Article","fieldsOfStudy":null,"isOpenAccess":false,"openAccessPdf":"https://www.ncbi.nlm.nih.gov/pmc/articles/PMC10961684/pdf/","citationCount":"0","resultStr":null,"platform":"Semanticscholar","paperid":null,"PeriodicalName":"Advances in respiratory medicine","FirstCategoryId":"1085","ListUrlMain":"https://doi.org/10.3390/arm92020016","RegionNum":0,"RegionCategory":null,"ArticlePicture":[],"TitleCN":null,"AbstractTextCN":null,"PMCID":null,"EPubDate":"","PubModel":"","JCR":"Q3","JCRName":"RESPIRATORY SYSTEM","Score":null,"Total":0}
引用次数: 0

Abstract

Background: Many hospitalized patients decline in functional status after discharge, but functional decline in emergency admissions with hypoxemia is unknown. The primary aim of this study was to study functional outcomes as a clinical endpoint in a cohort of patients with acute hypoxemia.

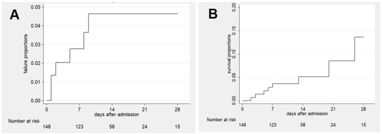
Methods: A multicenter prospective observational study was conducted in patients with new-onset hypoxemia emergently admitted to two respiratory departments at a university hospital and an academic teaching hospital. Using the WHO scale, the patients' functional status 4 weeks before admission and at hospital discharge was assessed. The type and duration of oxygen therapy, hospital length of stay and survival and risk of hypercapnic failure were recorded.

Results: A total of 151 patients with a median age of 74 were included. Two-thirds declined in functional status by at least one grade at discharge. A good functional status (OR 4.849 (95% CI 2.209-10.647)) and progressive cancer (OR 6.079 (1.197-30.881)) were more associated with functional decline. Most patients were treated with conventional oxygen therapy (n = 95, 62%). The rates of in-hospital mortality and need for intubation were both 8%.

Conclusions: Patients with acute hypoxemia in the emergency room have a poorer functional status after hospital discharge. This decline may be of multifactorial origin.

Abstract Image

Abstract Image

急性低氧血症入院患者的预后和功能恶化。
背景:许多住院病人出院后功能状态都会下降,但低氧血症急诊入院病人的功能下降情况尚不清楚。本研究的主要目的是研究急性低氧血症患者队列中作为临床终点的功能结果:一项多中心前瞻性观察研究针对一家大学医院和一家学术教学医院的两个呼吸科紧急收治的新发低氧血症患者。采用世界卫生组织的量表对患者入院前 4 周和出院时的功能状态进行了评估。记录了氧疗的类型和持续时间、住院时间、存活率以及高碳酸血症衰竭的风险:共纳入 151 名患者,中位年龄为 74 岁。三分之二的患者在出院时功能状态下降了至少一个等级。功能状态良好(OR 4.849(95% CI 2.209-10.647))和癌症进展(OR 6.079(1.197-30.881))与功能下降的关系更大。大多数患者接受了常规氧疗(95 人,62%)。院内死亡率和插管率均为8%:结论:急诊室急性低氧血症患者出院后功能状况较差。结论:急诊室急性低氧血症患者出院后功能状况较差,这种下降可能是多因素造成的。
本文章由计算机程序翻译,如有差异,请以英文原文为准。
求助全文
约1分钟内获得全文 求助全文
来源期刊
Advances in respiratory medicine
Advances in respiratory medicine RESPIRATORY SYSTEM-
CiteScore
2.60
自引率
0.00%
发文量
90
期刊介绍: "Advances in Respiratory Medicine" is a new international title for "Pneumonologia i Alergologia Polska", edited bimonthly and addressed to respiratory professionals. The Journal contains peer-reviewed original research papers, short communications, case-reports, recommendations of the Polish Respiratory Society concerning the diagnosis and treatment of lung diseases, editorials, postgraduate education articles, letters and book reviews in the field of pneumonology, allergology, oncology, immunology and infectious diseases. "Advances in Respiratory Medicine" is an open access, official journal of Polish Society of Lung Diseases, Polish Society of Allergology and National Research Institute of Tuberculosis and Lung Diseases.
×
引用
GB/T 7714-2015
复制
MLA
复制
APA
复制
导出至
BibTeX EndNote RefMan NoteFirst NoteExpress
×
提示
您的信息不完整,为了账户安全,请先补充。
现在去补充
×
提示
您因"违规操作"
具体请查看互助需知
我知道了
×
提示
确定
请完成安全验证×
copy
已复制链接
快去分享给好友吧!
我知道了
右上角分享
点击右上角分享
0
联系我们:info@booksci.cn Book学术提供免费学术资源搜索服务,方便国内外学者检索中英文文献。致力于提供最便捷和优质的服务体验。 Copyright © 2023 布克学术 All rights reserved.
京ICP备2023020795号-1
ghs 京公网安备 11010802042870号
Book学术文献互助
Book学术文献互助群
群 号:604180095
Book学术官方微信