Comparison of Analgesic Effects of Continuous Femoral Nerve Block, Femoral Triangle Block, and Adductor Block After Total Knee Arthroplasty: A Randomized Clinical Trial.

IF 3.1 3区 医学 Q2 ANESTHESIOLOGY
Minghe Tan, Bozhou Chen, Qingshu Li, Siqi Wang, Daiyu Chen, Maoji Zhao, Jun Cao
{"title":"Comparison of Analgesic Effects of Continuous Femoral Nerve Block, Femoral Triangle Block, and Adductor Block After Total Knee Arthroplasty: A Randomized Clinical Trial.","authors":"Minghe Tan, Bozhou Chen, Qingshu Li, Siqi Wang, Daiyu Chen, Maoji Zhao, Jun Cao","doi":"10.1097/AJP.0000000000001211","DOIUrl":null,"url":null,"abstract":"<p><strong>Objectives: </strong>This study aimed to compare the analgesic effects of continuous femoral nerve block (FNB), femoral triangle block (FTB), and adductor canal block (ACB) following total knee arthroplasty (TKA). The goal was to identify the most effective nerve block technique among these.</p><p><strong>Methods: </strong>Patients undergoing TKA were randomly assigned to 1 of 3 groups: FNB, FTB, or ACB. Nerve blocks were administered preoperatively, with catheters placed for patient-controlled nerve analgesia (PCNA). The primary end point was the Numeric Rating Scale (NRS) score at movement at 24 hours postsurgery. Secondary end points included NRS scores at rest and movement, quadriceps strength, Timed Up and Go (TUG) test performance, range of motion, effective PCNA utilization, and opioid consumption at various postsurgery time points.</p><p><strong>Results: </strong>Of the 94 valid data sets analyzed (FNB: 31, FTB: 31, ACB: 32), significant differences were observed in the primary end point (H=7.003, P =0.03). Post hoc analysis with Bonferroni correction showed that the FNB group had a significantly lower median pain score (3 [2 to 4]) compared with the ACB group (4 [3 to 5], Bonferroni-adjusted P =0.03). Regarding secondary end points, both the FNB and FTB groups had significantly lower NRS scores than the ACB group at various time points after surgery. Quadriceps strength and TUG completion were better in the FTB and ACB groups. There were no statistically significant differences among the groups for the other end points.</p><p><strong>Discussion: </strong>Continuous FTB provides postoperative analgesia comparable to FNB but with the advantage of significantly less impact on quadriceps muscle strength, a benefit not seen with FNB. Both FTB and ACB are effective in preserving quadriceps strength postoperatively.</p>","PeriodicalId":50678,"journal":{"name":"Clinical Journal of Pain","volume":" ","pages":"373-382"},"PeriodicalIF":3.1000,"publicationDate":"2024-06-01","publicationTypes":"Journal Article","fieldsOfStudy":null,"isOpenAccess":false,"openAccessPdf":"https://www.ncbi.nlm.nih.gov/pmc/articles/PMC11081475/pdf/","citationCount":"0","resultStr":null,"platform":"Semanticscholar","paperid":null,"PeriodicalName":"Clinical Journal of Pain","FirstCategoryId":"3","ListUrlMain":"https://doi.org/10.1097/AJP.0000000000001211","RegionNum":3,"RegionCategory":"医学","ArticlePicture":[],"TitleCN":null,"AbstractTextCN":null,"PMCID":null,"EPubDate":"","PubModel":"","JCR":"Q2","JCRName":"ANESTHESIOLOGY","Score":null,"Total":0}
引用次数: 0

Abstract

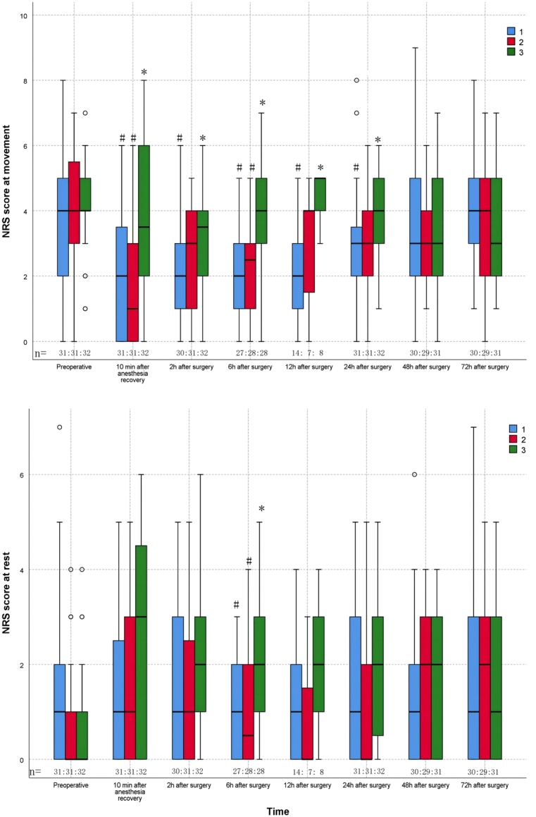
Objectives: This study aimed to compare the analgesic effects of continuous femoral nerve block (FNB), femoral triangle block (FTB), and adductor canal block (ACB) following total knee arthroplasty (TKA). The goal was to identify the most effective nerve block technique among these.

Methods: Patients undergoing TKA were randomly assigned to 1 of 3 groups: FNB, FTB, or ACB. Nerve blocks were administered preoperatively, with catheters placed for patient-controlled nerve analgesia (PCNA). The primary end point was the Numeric Rating Scale (NRS) score at movement at 24 hours postsurgery. Secondary end points included NRS scores at rest and movement, quadriceps strength, Timed Up and Go (TUG) test performance, range of motion, effective PCNA utilization, and opioid consumption at various postsurgery time points.

Results: Of the 94 valid data sets analyzed (FNB: 31, FTB: 31, ACB: 32), significant differences were observed in the primary end point (H=7.003, P =0.03). Post hoc analysis with Bonferroni correction showed that the FNB group had a significantly lower median pain score (3 [2 to 4]) compared with the ACB group (4 [3 to 5], Bonferroni-adjusted P =0.03). Regarding secondary end points, both the FNB and FTB groups had significantly lower NRS scores than the ACB group at various time points after surgery. Quadriceps strength and TUG completion were better in the FTB and ACB groups. There were no statistically significant differences among the groups for the other end points.

Discussion: Continuous FTB provides postoperative analgesia comparable to FNB but with the advantage of significantly less impact on quadriceps muscle strength, a benefit not seen with FNB. Both FTB and ACB are effective in preserving quadriceps strength postoperatively.

Abstract Image

Abstract Image

Abstract Image

全膝关节置换术后连续股神经阻滞、股三角区阻滞和内收肌阻滞的镇痛效果比较:随机临床试验。
研究目的本研究旨在比较全膝关节置换术(TKA)后连续股神经阻滞(FNB)、股三角区阻滞(FTB)和内收管阻滞(ACB)的镇痛效果。目的是找出这三种神经阻滞技术中最有效的一种:方法:接受全膝关节置换术的患者被随机分配到三组中的一组:方法:接受 TKA 手术的患者被随机分配到三组中的一组:FNB、FTB 或 ACB。术前进行神经阻滞,并放置导管进行患者自控神经镇痛(PCNA)。主要终点是术后 24 小时运动时的数字评定量表 (NRS) 评分。次要终点包括静息和运动时的 NRS 评分、股四头肌力量、定时上下(TUG)测试成绩、运动范围(ROM)、PCNA 的有效利用率以及术后不同时间点的阿片类药物消耗量:在分析的 94 个有效数据集中(FNB:31 个;FTB:31 个;ACB:32 个),观察到主要终点存在显著差异(H=7.003,P=0.03)。经 Bonferroni 校正的事后分析表明,与 ACB 组(4 [3-5],Bonferroni 调整后 P=0.03)相比,FNB 组的中位疼痛评分(3 [2-4])明显较低。在次要终点方面,FNB 组和 FTB 组在术后不同时间点的 NRS 评分均低于 ACB 组。FTB 组和 ACB 组的股四头肌力量和 TUG 完成度更好。在其他终点方面,各组之间没有明显的统计学差异:讨论:连续 FTB 的术后镇痛效果与 FNB 相当,但其优点是对股四头肌肌力的影响明显较小,这是 FNB 所没有的。FTB 和 ACB 都能有效保留术后股四头肌的力量。
本文章由计算机程序翻译,如有差异,请以英文原文为准。
求助全文
约1分钟内获得全文 求助全文
来源期刊
Clinical Journal of Pain
Clinical Journal of Pain 医学-临床神经学
CiteScore
5.40
自引率
3.40%
发文量
118
审稿时长
4-8 weeks
期刊介绍: ​​​The Clinical Journal of Pain explores all aspects of pain and its effective treatment, bringing readers the insights of leading anesthesiologists, surgeons, internists, neurologists, orthopedists, psychiatrists and psychologists, clinical pharmacologists, and rehabilitation medicine specialists. This peer-reviewed journal presents timely and thought-provoking articles on clinical dilemmas in pain management; valuable diagnostic procedures; promising new pharmacological, surgical, and other therapeutic modalities; psychosocial dimensions of pain; and ethical issues of concern to all medical professionals. The journal also publishes Special Topic issues on subjects of particular relevance to the practice of pain medicine.
×
引用
GB/T 7714-2015
复制
MLA
复制
APA
复制
导出至
BibTeX EndNote RefMan NoteFirst NoteExpress
×
提示
您的信息不完整,为了账户安全,请先补充。
现在去补充
×
提示
您因"违规操作"
具体请查看互助需知
我知道了
×
提示
确定
请完成安全验证×
copy
已复制链接
快去分享给好友吧!
我知道了
右上角分享
点击右上角分享
0
联系我们:info@booksci.cn Book学术提供免费学术资源搜索服务,方便国内外学者检索中英文文献。致力于提供最便捷和优质的服务体验。 Copyright © 2023 布克学术 All rights reserved.
京ICP备2023020795号-1
ghs 京公网安备 11010802042870号
Book学术文献互助
Book学术文献互助群
群 号:604180095
Book学术官方微信